最近我开启了“量子力学之路”系列,旨在从数理角度从零解释量子力学。正如我在系列的第一篇文章量子力学之路——坚实的数理基础至关重要,没有捷径可走中提到的那样,学习量子力学有一些先决条件,而一些先决条件并不简单,如很多数学主题,这些主题我在“量子力学之路”系列中一般都会讲到,但不会深入。因此我决定同步开启“微分方程”系列,这是本系列的第一篇文章。
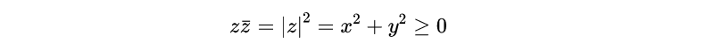
复数就是形如x+iy的数字,其中x和y是实数,i^2=-1。实数x和y分别称为z的实部和虚部,表示为:
如果z=x+iy,则z̅=x-iy称为z的复共轭。很容易得出:
定理(1)
对于复数z和w,有以下7个性质:
笛卡尔和指数形式
复数可以绘制在一个矩形网格上,类似于实数对(x,y)被绘制在一个直角坐标系统上。你可以简单地用一对实数(x,y)来确定复数z=x+iy,并绘制(x,y)。y轴称为虚轴,x轴称为实轴。
也可以用极坐标(θ, r)来表示:
定理(2)(很重要)
对于复数z=x+iy,
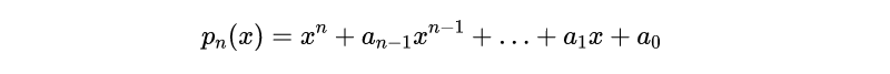
设p_n(x)和q_n(x)为n次多项式,可以假设p_n(x)的形式为:
系数a_i可能不是实数,但在本系列文章中它们总是实数。在任何情况下,代数基本定理表明,方程p_n(x)=0有n个解。
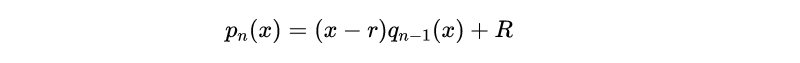
假设x=r是p_n(x)的根。那么:
如果p_n(x)除以x-r,就得到恒等式:
其中R为常数,q_(n-1)(x)为n-1次多项式。因此,
但上面的式子是关于x的恒等式,通过令x=r,我们可以得到r =0当且仅当p_n(r)=0,也就是说,当且仅当r是p_n(x)的根。
定理(3)
对于每一个多项式
存在n个复数r_1, r_2,…,r_n,称为多项式的根,使得
P_n (r_i)=0,对于所有i=1,2,…,np_n(x)=(x-r_1)(x-r_2)…(x-r_n)而且,对于一些i,如果p_n(r)=0,则r=r_i。
定理(4)
假设r=a+ib, b≠0,是下面多项式的根
那r的共轭( r̅=a-ib)也是多项式的一个根。
矩阵是一组数字的矩形数组。一般来说,矩阵用黑体字大写字母表示。我们用A来表示p×q矩阵,它的元素是a_ij。也就是
只有一列的矩阵称为向量。我们用黑体小写字母来表示向量,这与我们对矩阵的约定一致。A的列向量就是
对于联立方程组
系数矩阵为
右边常数用向量b表示:
增广矩阵B由A和b表示:
未知量用向量x表示:
行数和列数相同的矩阵称为方阵。方阵的非对角元素是a_ij,其中i≠j。非对角元素都为零的方阵称为对角阵。
I_n矩阵(其中n是正整数),是所有对角元素都是1的对角矩阵。这些矩阵称为单位矩阵。所以:
是单位矩阵。I_n的列被赋予特殊的符号e_1,e_2,…,e_n;也就是:
当上下文明确了I_n的大小时,就可以去掉下标n。那些位于对角线以下的非对角线项为零的方阵称为上三角矩阵(上三角矩阵同理可得)。
我们定义0矩阵O_n为nXn矩阵,它所有的元素都是0。所以O_n也是对角线。
我们可以用消元法来解方程组。注意消去过程很大程度上依赖于每个方程中未知变量的系数。
把方程组的系数和方程组右边的常数放在一起得到一个增广矩阵。化简这个增广矩阵可以得到方程组的解。注意,当系数矩阵简化为单位矩阵时,右边的系数列就是解向量。
从矩阵A到矩阵B的算术步骤叫做初等行运算。这些运算分为三种类型:
交换任意两行。将一行乘以一个非零标量。将一行的α倍添加到另一行的β倍。这里的关键点是初等行运算用另一个方程组替换了一个方程组,后者的解集与前者的解集相同。这种解法称为高斯消去法。
设m×n矩阵A和B为:
对于所有的i和j,如果a_ij=b_ij,则A=B。因此,两个矩阵相等,意味着矩阵相应项相等。
我们现在定义矩阵A+B和矩阵与任意标量k的乘法:
由上面的定义可以得到下列代数规则:
A+B=B+AA+(B+C)=(A+B)+CA+O=AA+(-1)A=O0A=Ok(hA)=(kh)Ak(A+B)=kA+kB(k+h)A=kA+hA用第一列替换第一行,用第二列替换第二行,以此类推,直到所有的列都变成行。由这个交换得到的矩阵称为原矩阵的转置,[a_ij]^T=[a_ji]。我们用A^T来表示A的转置。
一个向量的转置是一个只有一行的矩阵,有时称为行向量。为了避免混淆,我们用逗号分隔行向量的各个元素。
请注意,转置和加法的定义引出了这样的结论:C=A+B意味着C^T=A^T+B^T。
如果矩阵A等于它自己的转置,即A^T=A,那么它就是对称的;如果A^T=-A,那么它是反对称的。对称矩阵和反对称矩阵必须是方阵。
如果A是m×q矩阵,元素为a_ij ;B是q×n矩阵,元素为b_ij,那么乘积C=AB是m×n矩阵,c_ij为:
为了使上面的定义有意义,A的每一行必须有和B的每一列有一样多的元素。这意味着A的列数必须与B的行数相同。
因此,如果A是2×3矩阵, B是3×3矩阵,那么AB是有定义的,而BA没有定义。因此矩阵乘法是不满足交换律的。
以下事实适用于所有大小兼容的A、B和C:
A(BC)=(AB)CA(A+C)=AB+AC(B+C)A=BA+CA能说明矩阵乘法的特性的一个例子:
这表明即使A和B都不为0,AB也可以是0。
两个矩阵乘积的转置,是它们转置的逆序乘积:
这个结果扩展到三个或更多个矩阵的乘积。
矩阵乘法提供了一种将方程组写成紧凑形式的方法。
上面可以写成Ax=b。我们将反复使用这个表达。在不明确A的大小的情况下,我们假设A是m×n,因此x是一个有n个元素的向量,b是一个有m个元素的向量,尽管在大多数应用中m=n。
为了达到类似的目的,我们引入了矩阵逆的符号。如果存在一个方阵B,使AB=I=BA,那么方阵A就是非奇异的,或者说有一个逆,或者说是可逆的。很明显,不是所有的矩阵都有逆矩阵。
由于A的逆矩阵只有一个,所以如果AB=I=BA成立,我们称B为A的逆矩阵,并将B写成A^(-1)。用这种表示法,AB=I=BA可以写成AA^(-1)=(A^(-1))(A)=I。
一个不可逆的方阵就是一个A^(-1)不存在的方阵。这样的矩阵称为奇异或不可逆矩阵。
如果A是2x2矩阵
且ad-bc≠0,那么
定理(5)
假设A和B都是可逆的。那么
(A^(-1))^(-1)=A(AB)^(-1)=(B^(-1))(A^(-1))(A^T)^(-1)=(A^(-1))^T定理(6)
假设A是可逆的。那么Ax=b有且只有一个解,x=A^(-1)b。
结论(1)
当且仅当A是奇异阵时,方程组Ax=0有解x≠0。当且仅当A是可逆的,这个方程组只有解x=0。
定义与基本定理
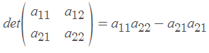
A的行列式是一个只在方阵中定义的标量,记作det(A)。它有n的阶乘项,每一项是A的元素的正负乘积:
其中第二个下标,由∗表示,是数字{1,2,…,n}之一,其中没有一个被使用两次。指数k是第二个下标的逆序数。因此,
由于数字{1,2,…,n}的每个排列都有一项,所以上面的和包含n的阶乘项。由于这个原因,实际上并不使用上面的求和来计算。如果n=2,定义是容易使用的,
有两种常用的det(A)的求值方法。在本节中,我们将探讨最高效的方法。该方法依赖于两个基本定理:
定理(7)
如果A是上或下三角矩阵,对角元素为a_11,a_22,…,a_nn,那么det(A)=(a_11)(a_22)…(a_nn)。
定理(8)
设A是一个方阵。
如果A的两行元素互换形成B,那么,det(A)=-det(B)如果A的一行乘以k得到B,那么kdet(A)=det(B)如果A的一行的倍数加到A的另一行形成B, 那么det(A)=det(B)这两个定理为计算行列式提供了一种有效的方法。注意,定理8描述了初等行运算对det(A)的影响。
我们可以快速准确地计算初等行变换的结果。所以对于含有已知常数项的矩阵,行化成三角矩阵是计算行列式的首选方法。对于有参数项的矩阵,通常使用其他方法。
由于矩阵乘法和行列式的定义复杂,乘积的行列式和行列式的乘积之间存在着一种简单的关系:
定理(9)
如果A和B是方阵,det(AB)=det(A)det(B)
如果det(A)=0,那么A一定是奇异的。反之亦然。
定理(10)
det(A)=0是A是奇异的一个充要条件。
定理(11)
对于每个方阵A,det(A)=det(A^T)
a_ij的余子式是,去掉A的第i行和第j列形成的矩阵的行列式。
a_ij的代数余子式写成A_ij,等于余子式乘以 (-1)^(i+j)。代数余子式的重要性是由于以下的重要定理:
定理(12)
对于每个i和j,
方程组Ax=0可以有无穷多个解。为了描述这种系统的所有解的集合,我们必须首先理解线性无关的概念。
假设已知k个向量a_1, a_2,…,a_k和k个标量c_1 ,c_2…,c_k。考虑到表达式
不是全部为零如果上面的方程对某些标量成立(不是全部为零),那么向量a_1,a_2,…,a_k就是线性相关的,标量c_1,c_2,…,c_k就叫作权值。由上式可知
其中 c_1≠0。上面的方程表明a_1是其他向量的“加权和”。
如果一个给定的向量组不是线性相关的,那么它称为线性无关的。由于线性无关的集合不可能存在依赖关系,
意味着所有的标量系数必须是零。
一般来说,我们不能轻易判定一个向量组是否是线性无关的,也不能轻易求出权值(如果向量组是线性相关的)。
但我们可以把上式重写为矩阵向量的形式,为此,定义一个矩阵A,它的列是向量a_1,a_2,…,a_k,它的项的权值是c_1,c_2,…,a_k。因此:
根据矩阵乘法的定义:
因此,当且仅当 Ac=0存在非零解时,矩阵A的列向量才是线性无关的。那么,c的元素就是权值。
如果矩阵A是方阵,那么基于线性相关的行列式的判据是可能和方便的。基本的思想是:如果A是可逆的,那么推论1,系统Ac+0只有平凡解,因为
证明了c一定是0。下面的定理将det(A)与A的行和列的线性无关联系起来。
定理(13)
当且仅当det(A)≠0时,n×n矩阵A的行(列)是线性无关的。
版权声明:我们致力于保护作者版权,注重分享,被刊用文章【证明矩阵a与矩阵b相似(微分方程第一步)】因无法核实真实出处,未能及时与作者取得联系,或有版权异议的,请联系管理员,我们会立即处理! 部分文章是来自自研大数据AI进行生成,内容摘自(百度百科,百度知道,头条百科,中国民法典,刑法,牛津词典,新华词典,汉语词典,国家院校,科普平台)等数据,内容仅供学习参考,不准确地方联系删除处理!;
工作时间:8:00-18:00
客服电话
电子邮件
beimuxi@protonmail.com
扫码二维码
获取最新动态
