卡尔·弗里德里希·高斯(1777~1855)是一个神童。19岁差一个月的他作出了一项非凡的发现。2000多年以来,人们知道如何用直尺和圆规作等边三角形和正五边形(还有其他的正多边形,其边数是2、3、5的倍数),但不知道如何作出边数为素数的正多边形。高斯证明,正七边形也能用直尺和圆规作出。
高斯通过写日记来纪念他的发现,在接下来的18年里,他在这本日记中记下了他的很多发现。他还是一个学生的时候就获得了很多成功。其中有一些是对欧拉、拉格朗日及其他18世纪数学家们已经证明的定理的重新发现;有很多是新发现。在他学生时代的更重要的发现中,我们可以挑出最小平方法、数论中二次互反律的证明,以及他对代数基本定理的研究。他获得了博士学位,学位论文的标题是《关于所有含一个变量的有理代数整函数都能分解为一次或二次实因子的定理的新证明》。这是他一生中所发表的代数基本定理的4个证明当中的第一个,在这篇论文中,高斯强调了在证明这个定理的过程中证实至少有一个根的重要性。下面的说明可以显示他的思路。
我们可用图示的方法解方程
证明存在一个复数值z=a+bi满足这个方程。用a+bi取代z,并分开方程中的实数部分和虚数部分,我们就得到a^2-b^2=0和ab-2=0。把a和b解释为变量,并在同一坐标系中画出这些函数,一个坐标轴代表实数部分a,另一个坐标轴代表虚数部分b,我们就有了两条曲线;一条由直线a+b=0和a-b=0构成,另一条由等轴双曲线ab=+2构成。
很显然,这两条曲线有一个交点P在第一象限。我们应该特别注意,第一条曲线的一条分支沿着θ=1π/4和θ=3π/4的方向离开原点;第二条曲线的一条分支渐近地向着θ=0π/4和θ=2π/4的方向移动;交点在最后两个方向θ=0和θ=π/2之间。这个交点的a和b的坐标是方程z^2-4i=0的一个解的实数部分和虚数部分。假如我们最初的多项式方程是三次而不是二次,则一条曲线的一根分支就会趋近于θ=1π/6和θ=3π/6的方向,另一条曲线就会趋近于θ=0π/6和θ=2π/6的方向。在每一种情况下这些分支都是连续的,因此,它们一定要相交于θ=0至θ=π/3之间的某个地方。
对于一个n次方程来说,一条曲线的一根分支有渐近方向θ=1π/2n和θ=3π/2n,而另一条曲线的分支有渐近方向θ=0π/2n和θ=2π/2n。这些分支必定相交于从θ=0至θ=π/n之间,这个交点的a和b的坐标,就是满足这个方程的复数的实数部分和虚数部分。因此我们看到,不管一个多项式方程的次数是几,它必定至少有一个复数根。我们会注意到,高斯依靠这些曲线的图示来证明它们相交。承认这个结果,多项式方程可以分解为一次或二次实因子也就得到了证明。
高斯在他还是哥廷根大学的一名学生的时候,就开始撰写一部重要的数论著作——《算术研究》,是数学文献中的伟大经典之一,在他的博士论文通过两年之后出版。此书由7个部分组成。前4个部分本质上是对18世纪数论的浓缩重构。讨论的基本原则是同余和剩余类的概念。第5部分致力于二元二次型理论,特别是形如
的方程的解的问题;这一部分所发展出来的技术,成了后来一代代数论学家所做的大量工作的基础。第6部分由各种不同的应用所组成。最后一部分起初吸引了最多的关注,处理的是次数为素数的割圆方程的解。
高斯把勒让德在两年前发表的二次互反律称作黄金定律。在后来的作品中,高斯试图得出同余式x^n=p(modq)对于n=3和4的类似定理;但对这两种情况,他发现有必要把“整数”这个词的意义扩大到包括所谓的高斯整数,亦即形如a+bi的整数,式中,a和b都是整数。高斯整数构成了一个整环,像实整数整环一样,但更一般。可整除性的问题变得更复杂,因为5不再是一个素数,可分解为两个“素数”1+2i和1-2i的乘积。事实上,任何形如4n+1的实素数都不是“高斯素数”,而形如4n-1的实素数依然是一般化意义上的素数。在高斯的《算术研究》中,包括了算术基本定理,它是在高斯整数的整环中继续有效的基本原理之一。事实上,任何一个因子分解是唯一的整环今天都被称作高斯整环。《算术研究》的贡献之一是下面这个定理的证明,这个定理自欧几里得时代以来就被人所知:
任何一个正整数都可以用一种、且只能用一种方式表示为素数的乘积。
高斯关于素数的发现,并没有全都包含在《算术研究》中。在他还是一个14岁的孩子时,高斯就在一张对数表的背面,用德文写下了这样一行隐晦的文字:
这行文字说的是一个著名的素数定理:小于给定整数a的素数的个数在a无穷递增时趋近于a/lna。
正如我们已经看到的那样,勒让德曾经接近于预先发现这个定理;但奇怪的是,正如我们所推测的那样,高斯写下了这个定理,但他一直对这个巧妙的结论保守秘密。我们不知道他是否证明了这个定理,甚至也不知道他何时写下了这个定理的陈述。素数的分布对数学家有着强烈的吸引力。
1845年,当高斯已经是个老人的时候,巴黎的一位教授约瑟夫·L.F.贝特朗提出了这样一个猜想:如果n>3,那么,在n与2n(或者更准确地说是2n-2)之间至少包括一个素数。这个猜想被称作贝特朗公设,在1850年被圣彼得堡大学的帕夫努蒂·切比雪夫所证明。切比雪夫作为他那个时代首屈一指的俄国数学家,是罗巴切夫斯基的竞争对手,他后来成了法兰西科学院和英国皇家学会的外籍院士。切比雪夫明显不知道高斯论述素数的作品,他能够证明,如果π(n)(lnn)/n在n无穷递增时趋近于一个极限,那么,这个极限必定是1;但他不能证明一个极限的存在。直到切比雪夫去世两年之后,一个证明才广为人知。
关于素数的个数和分布的问题,从欧几里得时代迄至今日,让很多数学家神魂颠倒。有一个定理,高斯本人在《算术研究》中给出了一个惊人的实例,说明了这样一个事实:素数的属性甚至以最出人意料的方式侵入了几何学的领域。
高斯在《算术研究》的结尾部分,收入了他在数学领域作出的最早的重要发现:正七边形的作法。他通过证明无穷多种可能的正多边形中哪些能作出、哪些不能作出,从而把这一课题带向了其逻辑结果。一般性的定理,比如高斯眼下所证明的,远比一个特例更有价值,不管这个特例多么壮观。我们应该还记得,费马曾经相信,形如
费马数
的数是素数,欧拉后来证明这个假说是错误的。高斯已经证明了,正17边形是可以作出的,问题自然出现了:正257边形和正65537边形是否可以用欧几里得的工具作出。在《算术研究》中,高斯对这个问题的回答是肯定的,他证明了,只要N是
的形式(式中,m是任一正整数,pn是不同的费马素数),那么,正N边形就可以做出。这个问题还剩下一个方面高斯没有回答,而且迄今为止没有人作出回答,这就是:
费马素数的个数是有限还是无限?
我们已经知道,对于n=5、6、7、8和9来说,费马数不是素数,但看来很有可能,有且只有5种可以用直尺和圆规作出的边数为素数的正多边形,其中两种在古代已经知道,另外三种是高斯发现的。有一个高斯很赞赏的人,就是柏林的数学教师费迪南德·戈特霍尔德·爱森斯坦,他补充了一个关于素数的新猜想,当时,他大胆提出了一个迄今为止尚未得到证明的想法:形如
等等的数是素数。据说,高斯曾发表这样的评论:“只有三个划时代的数学家:阿基米德、牛顿和爱森斯坦。”可惜爱森斯坦在不到30岁的时候便去世了。
高斯的《算术研究》一直处于沉睡状态,直至1820年代,C.G.J.雅可比和狄利克雷第一次揭示出,一些更深刻的结果正是源自于这部著作。
高斯对天文学的贡献
1801年1月1日,巴勒莫天文台台长乔赛普·皮亚齐发现了新的小行星谷神星;但几个星期之后,这颗小行星便看不见了。高斯相信,自己有非同寻常的计算能力,还有最小平方法的额外优势,于是他接受了挑战,要从这颗行星少量记录在案的观测数据中,计算出其运行轨道。为了完成从有限观测数据中计算运行轨道的任务,他设计出了一种方法,被称作高斯法,至今依然被用来追踪卫星。结果是一次引人瞩目的成功,这颗行星在这年年底被重新发现,跟他计算出的位置非常接近。高斯的轨道计算吸引了世界各国天文学家的关注,很快就使他在德国数学科学家中赢得了突出声望,当时,他们当中大多数人都从事天文学和测地学活动。1807年,他被任命为哥廷根天文台台长,他保有这个职位将近半个世纪。两年后,他论述理论天文学的经典著作《天体运动论》出版。这本书为轨道计算提供了一份清晰的指导,到他去世的时候,已经被翻译成英文、法文和德文。
然而,轨道计算并不是高斯为自己赢得名声并为后代铺平道路的唯一的天文学领域。19世纪的头十年里,他的很多时间花在了研究摄动问题上。在高斯的好友、希·威尔海姆·奥伯斯于1802年重新发现了小行星智神星之后,摄动问题成为天文学家关注的焦点。智神星的偏心率相对较大,尤其受到其他行星(像木星和土星)的引力的影响。确定这些引力的影响,是n体问题(欧拉和拉格朗日曾对n=2或3的情况进行过研究)的一个特例。
高斯从早年起就有意识地追踪这两位天才的足迹,对他来说,找出最近似解法这个难题尤其引人入胜。尽管他认为,他的成果当中只有一部分达到了公开发表的质量,但他对这个问题的研究,不仅导致了一些天文学论文,而且还有两篇经典论文,一篇是无穷级数,另一篇是数值分析的一种新方法。前一篇论文在1812年提交给了哥廷根协会,致力于研究超几何级数。因为这篇论文中所提出的收敛准则,常常被认为是开辟了数学分析严谨性的新时代。然而,应该指出的是,对收敛性的更深刻的理解,并没有阻止高斯和当时其他伟大的数学家在解决物理问题时使用发散级数,只要他们认为自己能够“有把握地”这样做就行。
微分几何的肇始
高斯在1827年开始的几何学分支被称作微分几何,它大概更多地属于分析学,而不是属于传统的几何学领域。自牛顿和莱布尼茨时代以来,人们一直把微积分应用于二维空间的曲线研究,在某种意义上,这项工作构成了微分几何的雏形。欧拉和蒙日把这一应用扩大到了对曲面的解析研究;因此,他们有时候被认为是微分几何之父。然而,直到高斯的经典论著《曲面的一般研究》出版,才有了一部完全专注于这一课题的综合性著作。粗略说来,正统几何学感兴趣的是一个给定几何图形的整体,而微分几何关注的是一条曲线或一个曲面在其上的一点的邻近区域的属性。在这个方向上,高斯通过定义一个曲面在一点上的曲率———“高斯曲率”或“总曲率”———从而扩展了惠更斯和克莱罗在一条平面曲线或非对称曲线的曲率上所做的工作。
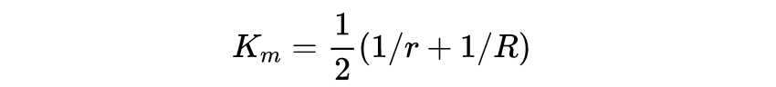
如果通过一个良态曲面S上的一点P作S的法线N,则通过N的平面束将会跟曲面S相交于一簇平面曲线,其中每一条曲线都有一个曲率半径。有着最大曲率半径和最小曲率半径(R和r)的曲线的方向,被称作S在点P上的主方向,它们始终互相垂直。R和r的量值被称作S在点P上的主曲率半径,S在点P上的高斯曲率被定义为K=1/rR。量值为
被称作S在点P上的平均曲率。高斯给出了根据曲面对于不同坐标系(曲线坐标系和笛卡尔坐标系)的偏导数的条件求高斯曲率K的公式;他还发现了一些关于在曲面上画出的曲线簇(比如测地线)的属性的定理,就连他也认为是“引人注目的定理”。
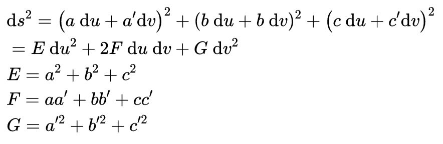
高斯通过使用欧拉提出的一个曲面的参数方程,开始对曲面的处理。高斯证明了,一个曲面的属性仅依赖于E、F和G。
这导致了很多的结果。特别是,它使得我们很容易说,曲面的属性是恒定的。正是在高斯的这一工作的基础上,黎曼及后来的几何学家转变了微分几何的主题。
高斯的晚期工作
高斯晚期研究贡献了两篇重要的短文:一篇是“代数中哈里奥特定理”的证明,另一篇包含了高斯的最小约束原理。历史学家常常引用第一篇论文(发表于1832年),因为它包含了高斯的复数的几何表示。这篇论文作为整体的重要性在于下面这个事实:它指出了一条道路,可以把数论从实数扩大到复数领域,甚至更远。正如上文已经指出的那样,这在数论领域后来研究者的工作当中是至关重要的。
高斯在他生命的最后20年里,只发表了两篇有数学意义的重要论文。一篇是他对代数基本定理的第四个证明,这个证明是他在1849年自己的博士周年纪念的时候发布的,距离他发表第一个证明已经时隔50年。另外是一篇关于位势理论的很有影响论文,发表于1840年。地磁学问题在19世纪30年代和40年代早期占了他的很多时间;在30年代晚期,他还投入了不少时间研究跟重量和度量有关的问题。他生命中最后十年的大部分出版物跟天文台的工作有关;涉及到课题有:新发现的小行星、对海王星的观测。
1855年2月23日,高斯死于心脏病发作。
版权声明:我们致力于保护作者版权,注重分享,被刊用文章【高斯定理的证明(天才高斯)】因无法核实真实出处,未能及时与作者取得联系,或有版权异议的,请联系管理员,我们会立即处理! 部分文章是来自自研大数据AI进行生成,内容摘自(百度百科,百度知道,头条百科,中国民法典,刑法,牛津词典,新华词典,汉语词典,国家院校,科普平台)等数据,内容仅供学习参考,不准确地方联系删除处理!;
工作时间:8:00-18:00
客服电话
电子邮件
beimuxi@protonmail.com
扫码二维码
获取最新动态
