函数极限基本上是每一年专升本高数考试必学的內容,这类试题在单选题.填空.简答题上都有出现,这期我们就来汇总一下极限的几种求解方法。
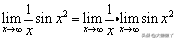
函数极限的四则运算规律的主要内容大伙儿回忆一下,相匹配的公式计算也不一一写出来。这儿必须说一下,往往可用四则运算,函数f(x),g(x)的极限务必存有,且四则运算只适用有限次的测算。你们看一下这一算式
这个是错误的,原因是正弦函数sinx2当x趋于∞时,极限是不会有的。
当x趋于0时,与x等价无穷小的关系式有多个,在应用等价无穷小求极限时常常与洛必达法则融合在一起,在应用时要留意(1)关系式中分子结构或真分数是比较有限项乘积或相除时,某一部分的极限存在不以零,能够先测算明确提出来,而且测算时能够应用等价无穷小替代;(2)关系式中分子结构或真分数是加减法方式,仅有做到精准度,才还可以应用等价无穷小。
这类方式是大伙儿热衷于应用的方式,但并不是说这类方式适用一切函数的极限。必须检测标准,三个标准缺一不可。与等价无穷小融合一起,测算更简易。
第一个关键的极限可以用等价无穷小推算出来,但需把握证实环节中使用到的不等式。第二个关键的终极应用的情况下不必太呆板,通常采取的考试内容是幂指函数求极限,这时先看一下能否转换成对数函数的结构:uv=evlnu,测算极限时与等价无穷小融合一起简约。
这种情况下才会使用左右极限,普遍种类有分段函数.|x|.反正切函数.对数函数。试题:当x→0+,1/x→+∞,e1/x→+∞;x→0-,1/x→-∞,e1/x→0;
这一函数中带有平方根.对数函数,求左右极限得到极限为1.
求数列{bn}的极限时,最先找到两个数列{an}{cn},促使an≤bn≤cn,次之务必规定数列{an}{cn}存有且相同,才可以算出数列{bn}的极限。这一在考研试题中,必须 对其先缩放,以后应用夹逼准则求出极限。
求极限必须 对un先缩放,运用夹逼定理测算出un的极限为0.
泰勒公式的一个主要运用便是提升数值积分的精准度。在上述方式求出不来极限时,何不应用泰勒公式,有时候测算起來很便捷,自然这时必须 你们记牢常见的9个麦克劳林展开式。不必由于公式计算记不稳固,错过了一道求极限的题型。
最后海南奥赛小贴士告诉大家,极限这类试题在专升本高数中多见中等水平难度系数,考察时以上几类方式融合在一起,这就规定在平常训练多汇总。主要还是要靠大家平时对解题方法的掌握,一旦掌握了,那就没什么问题了。
版权声明:我们致力于保护作者版权,注重分享,被刊用文章【高数极限证明(海南专升本)】因无法核实真实出处,未能及时与作者取得联系,或有版权异议的,请联系管理员,我们会立即处理! 部分文章是来自自研大数据AI进行生成,内容摘自(百度百科,百度知道,头条百科,中国民法典,刑法,牛津词典,新华词典,汉语词典,国家院校,科普平台)等数据,内容仅供学习参考,不准确地方联系删除处理!;
工作时间:8:00-18:00
客服电话
电子邮件
beimuxi@protonmail.com
扫码二维码
获取最新动态
