下面是拉格朗日定理的具体定义:
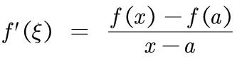
以下是其等价形式:
对其进行扩展,可得以下式子(端点变为变量):
我们进行拆解,定理成立需要两个条件:
f(x)在[a,b]上连续f(x)在(a,b)内可导有以上两个条件,即可使用拉格朗日定理进行求解数学问题。
证明此定理需要找一个辅助函数,怎么找呢?
首先,假设有曲线y=f(x)满足上述两个条件。
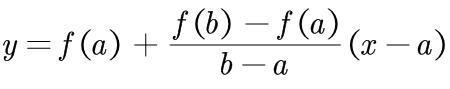
然后,另设一条直线经过(a,f(a)),(b,f(b))两点,那么其表达式为如下所示:
好了,那么我们的辅助函数呼之欲出:h(x)=曲线-直线,证明如图所示:
这里我们可以发现,当f(b)=f(a)时,拉格朗日定理变为罗尔定理。
版权声明:我们致力于保护作者版权,注重分享,被刊用文章【中值定理证明题(高等数学)】因无法核实真实出处,未能及时与作者取得联系,或有版权异议的,请联系管理员,我们会立即处理! 部分文章是来自自研大数据AI进行生成,内容摘自(百度百科,百度知道,头条百科,中国民法典,刑法,牛津词典,新华词典,汉语词典,国家院校,科普平台)等数据,内容仅供学习参考,不准确地方联系删除处理!;
工作时间:8:00-18:00
客服电话
电子邮件
beimuxi@protonmail.com
扫码二维码
获取最新动态
