做8个全等的直角三角形,设它们的两条直角边长分别为a、b,斜边长为c,再做三个边长分别为a、b、c的正方形,把它们像上图那样拼成两个正方形.
从图上可以看到,这两个正方形的边长都是a + b,所以面积相等. 即a的平方加b的平方,加4乘以二分之一ab等于c的平方,加4乘以二分之一ab,整理得a的平方加b的平方等于c的平方。
以a、b为直角边,以c为斜边做四个全等的直角三角形,则每个直角三角形的面积等于二分之一ab.把这四个直角三角形拼成如图所示形状,使A、E、B三点在一条直线上,B、F、C三点在一条直线上,C、G、D三点在一条直线上.
∵ RtΔHAE ≌ RtΔEBF,
∴ ∠AHE = ∠BEF.
∵ ∠AEH + ∠AHE = 90º,
∴ ∠AEH + ∠BEF = 90º.
∴ ∠HEF = 180º―90º= 90º.
∴四边形EFGH是一个边长为c的
正方形. 它的面积等于c2.
∵ RtΔGDH ≌ RtΔHAE,
∴ ∠HGD = ∠EHA.
∵ ∠HGD + ∠GHD = 90º,
∴ ∠EHA + ∠GHD = 90º.
又∵ ∠GHE = 90º,
∴ ∠DHA = 90º+ 90º= 180º.
∴ ABCD是一个边长为a + b的正方形,它的面积等于a+b的平方。
∴a加b的平方等于4乘二分之一ab,加上c的平方。 .
∴a的平方加b的平方等于c的平方。
以a、b为直角边(b>a),以c为斜边作四个全等的直角三角形,则每个直角三角形的面积等于二分之一ab。把这四个直角三角形拼成如图所示形状。
∵ RtΔDAH ≌ RtΔABE,
∴ ∠HDA = ∠EAB.
∵ ∠HAD + ∠HAD = 90º,
∴ ∠EAB + ∠HAD = 90º,
∴ ABCD是一个边长为c的正方形,它的面积等于c2.
∵ EF = FG =GH =HE = b―a ,
∠HEF = 90º.
∴ EFGH是一个边长为b―a的正方形,它的面积等于b减a的平方。
∴ 4乘二分之一ab加上,b减a的平方等于c的平方。
∴ a^2+b^2=c^2(说明a^2为a的平方)。
以a、b为直角边,以c为斜边作两个全等的直角三角形,则每个直角三角形的面积等于二分之一ab。把这两个直角三角形拼成如图所示形状,使A、E、B三点在一条直线上.
∵ RtΔEAD ≌ RtΔCBE,
∴ ∠ADE = ∠BEC.
∵ ∠AED + ∠ADE = 90º,
∴ ∠AED + ∠BEC = 90º.
∴ ∠DEC = 180º―90º= 90º.
∴ ΔDEC是一个等腰直角三角形,
它的面积等于二分之一c^2.
又∵ ∠DAE = 90º, ∠EBC = 90º,
∴ AD∥BC.
∴ ABCD是一个直角梯形,它的面积等于1/2(a+b)^2.
∴1/2(a+b)^2=2x1/2ab+1/2c^2. .
∴a^2+b^2=c^2.
做四个全等的直角三角形,设它们的两条直角边长分别为a、b ,斜边长为c. 把它们拼成如图那样的一个多边形,使D、E、F在一条直线上. 过C作AC的延长线交DF于点P.
∵ D、E、F在一条直线上,且RtΔGEF ≌ RtΔEBD,
∴ ∠EGF = ∠BED,
∵ ∠EGF + ∠GEF = 90°,
∴ ∠BED + ∠GEF = 90°,
∴ ∠BEG =180º―90º= 90º.
又∵ AB = BE = EG = GA = c,
∴ ABEG是一个边长为c的正方形.
∴ ∠ABC + ∠CBE = 90º.
∵ RtΔABC ≌ RtΔEBD,
∴ ∠ABC = ∠EBD.
∴ ∠EBD + ∠CBE = 90º.
即 ∠CBD= 90º.
又∵ ∠BDE = 90º,∠BCP = 90º,
BC = BD = a.
∴ BDPC是一个边长为a的正方形.
同理,HPFG是一个边长为b的正方形.
设多边形GHCBE的面积为S,则
a^2+b^2=S+2 x 1/2xab
c^2=S+2x1/2 x ab
∴ a^2+b^2=c^2.
做两个全等的直角三角形,设它们的两条直角边长分别为a、b(b>a) ,斜边长为c. 再做一个边长为c的正方形. 把它们拼成如图所示的多边形,使E、A、C三点在一条直线上.
过点Q作QP∥BC,交AC于点P.
过点B作BM⊥PQ,垂足为M;再过点
F作FN⊥PQ,垂足为N.
∵ ∠BCA = 90º,QP∥BC,
∴ ∠MPC = 90º,
∵ BM⊥PQ,
∴ ∠BMP = 90º,
∴ BCPM是一个矩形,即∠MBC = 90º.
∵ ∠QBM + ∠MBA = ∠QBA = 90º,
∠ABC + ∠MBA = ∠MBC = 90º,
∴ ∠QBM = ∠ABC,
又∵ ∠BMP = 90º,∠BCA = 90º,BQ = BA = c,
∴ RtΔBMQ ≌ RtΔBCA.
同理可证RtΔQNF ≌ RtΔAEF.
从而将问题转化为【证法4】
做三个边长分别为a、b、c的正方形,把它们拼成如图所示形状,使H、C、B三点在一条直线上,连结BF、CD.过C作CL⊥DE,交AB于点M,交DE于点L.
∵ AF = AC,AB = AD,
∠FAB = ∠GAD,
∴ ΔFAB ≌ ΔGAD,
∵ ΔFAB的面积等于1/2乘a^2,
ΔGAD的面积等于矩形ADLM
的面积的一半,
∴矩形ADLM的面积 =a^2.
同理可证,矩形MLEB的面积 =b^2.
∵正方形ADEB的面积
= 矩形ADLM的面积 +矩形MLEB的面积
∴c^2=a^2+b^2,即a^2+b^2=c^2.
如图,在RtΔABC中,设直角边AC、BC的长度分别为a、b,斜边AB的长为c,过点C作CD⊥AB,垂足是D.
在ΔADC和ΔACB中,
∵ ∠ADC = ∠ACB = 90º,
∠CAD = ∠BAC,
∴ ΔADC ∽ ΔACB.
AD∶AC = AC ∶AB,
即 AC^2=AD·AB.
同理可证,ΔCDB ∽ ΔACB,从而有BC^2=BD·AB .
∴AC^2+BC^2=(AD+DB)·AB=AB^2 ,即a^2+b^2=c^2.
做两个全等的直角三角形,设它们的两条直角边长分别为a、b(b>a),斜边长为c. 再做一个边长为c的正方形. 把它们拼成如图所示的多边形. 过A作AF⊥AC,AF交GT于F,AF交DT于R. 过B作BP⊥AF,垂足为P. 过D作DE与CB的延长线垂直,垂足为E,DE交AF于H.
∵ ∠BAD = 90º,∠PAC = 90º,
∴ ∠DAH = ∠BAC.
又∵ ∠DHA = 90º,∠BCA = 90º,
AD = AB = c,
∴ RtΔDHA ≌ RtΔBCA.
∴ DH = BC = a,AH = AC = b.
由作法可知, PBCA是一个矩形,
所以 RtΔAPB ≌ RtΔBCA. 即PB =
CA = b,AP= a,从而PH = b―a.
∵ RtΔDGT ≌ RtΔBCA ,
RtΔDHA ≌ RtΔBCA.
∴ RtΔDGT ≌ RtΔDHA .
∴ DH = DG = a,∠GDT = ∠HDA .
又∵ ∠DGT = 90º,∠DHF = 90º,
∠GDH = ∠GDT + ∠TDH = ∠HDA+ ∠TDH = 90º,
∴ DGFH是一个边长为a的正方形.
∴ GF = FH = a . TF⊥AF,TF = GT―GF = b―a .
∴ TFPB是一个直角梯形,上底TF=b―a,下底BP= b,高FP=a +(b―a).
用数字表示面积的编号(如图),则以c为边长的正方形的面积为
设直角三角形两直角边的长分别为a、b(b>a),斜边的长为c. 做三个边长分别为a、b、c的正方形,把它们拼成如图所示形状,使A、E、G三点在一条直线上. 用数字表示面积的编号(如图).
∵ ∠TBE = ∠ABH = 90º,
∴ ∠TBH = ∠ABE.
又∵ ∠BTH = ∠BEA = 90º,
BT = BE = b,
∴ RtΔHBT ≌ RtΔABE.
∴ HT = AE = a.
∴ GH = GT―HT = b―a.
又∵ ∠GHF + ∠BHT = 90º,
∠DBC + ∠BHT = ∠TBH + ∠BHT = 90º,
∴ ∠GHF = ∠DBC.
∵ DB = EB―ED = b―a,
∠HGF = ∠BDC = 90º,
在RtΔABC中,设直角边BC = a,AC = b,斜边AB = c. 如图,以B为圆心a为半径作圆,交AB及AB的延长线分别于D、E,则BD = BE = BC = a. 因为∠BCA = 90º,点C在⊙B上,所以AC是⊙B的切线. 由切割线定理,得
AC^2=AE·AD
=(AB+BE)(AB-BD)
=(c+a)(c-a)
=c^2-a^2,
即b^2=c^2-a^2,
∴ a^2+b^2=c^2
在RtΔABC中,设直角边BC = a,AC = b,斜边AB = c(如图).过点A作AD∥CB,过点B作BD∥CA,则ACBD为矩形,矩形ACBD内接于一个圆. 根据多列米定理,圆内接四边形对角线的乘积等于两对边乘积之和,有
AB·DC=AD·BC+AC·BD,
∵ AB = DC = c,AD = BC = a,
AC = BD = b,
∴AB^2=BC^2+AC^2,即c^2=a^2+b^2,
∴a^2+b^2=c^2.
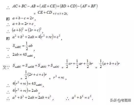
在RtΔABC中,设直角边BC = a,AC = b,斜边AB = c. 作RtΔABC的内切圆⊙O,切点分别为D、E、F(如图),设⊙O的半径为r.
∵ AE = AF,BF = BD,CD = CE,
|
版权声明:我们致力于保护作者版权,注重分享,被刊用文章【勾股定理证明题(八年级丨勾股定理的多种证明)】因无法核实真实出处,未能及时与作者取得联系,或有版权异议的,请联系管理员,我们会立即处理! 部分文章是来自自研大数据AI进行生成,内容摘自(百度百科,百度知道,头条百科,中国民法典,刑法,牛津词典,新华词典,汉语词典,国家院校,科普平台)等数据,内容仅供学习参考,不准确地方联系删除处理!;
工作时间:8:00-18:00
客服电话
电子邮件
beimuxi@protonmail.com
扫码二维码
获取最新动态
