很多小伙伴都问过我
为什么我认真学了
认真练了
成绩就是上不去
为什么“我觉得”我方法都会
但是一到做题就不会用
问题出现在哪里?
距离1月学考仅剩17天了
我好焦虑...
我该如何
利用有限的时间冲刺提分?
拯救你的#专业导航#来啦
助你最后阶段备考提分
该拿的分全拿下
该避的坑一个不踩
高考人,冲!
每张试卷中,都会有我们稍微多看一眼就能拿分的试题,简称“最易得分的题”。对这类试题,很多考生往往因记忆不牢固/粗心大意而导致失分。
如果这些题目都做错,想和别人拉开差距就难了。同学们在最后17天里,务必要对易得分的题型进行一次复盘和归纳总结。
ps:虽然2022年学业水平合格考考纲尚未公布,但从近几年的情况来看,学考考纲总体上是稳定的,仅在个别题型上有过变化。同学可以按照2021年的考试大纲进行复习!
在学考中,古诗文默写的分值为6分,且题型是简单的背诵性默写。对于这道题,你不用深入理解每句话的意思、情感、所运用的手法,只要你勤快地背诵考纲要求的14篇古诗文,而且解决容易写错的字,那么你就可以轻松地拿下6分啦。
学考的语言文字运用版块有11道小题,每题3分,题量多,总分值仅次于作文,但全部均为选择题,难度不大,主要考察字形/字音/标点、成语熟词、病句辨析、选词填空等内容,都是比较基础的语文知识。
考生只要熟悉题型,并整理记忆做过的相关错题,基本能拿21分以上!
现代文阅读分为选择题和主观题,一直是让同学们颇为头痛的版块,特别是两道主观题,简直让人无从下笔。如果你也有这样的苦恼,说明你还未掌握答题“套路”。
其实主观题都是有答题模板的,只要灵活套用,6-7分妥妥收入囊中!
比如题目问使用第X人称的作用,你只需要记住第一人称亲切自然,给读者真实生动之感;第二人称便于面对面直接进行感情交流;第三人称客观真实,不受时间空间限制,反映现实比较灵活自由。然后根据文章使用的人称进行套入即可。
学考数学最易得分题型,毫无疑问是选择题。因为选择题给出了题面信息和选项信息。
这就意味着!基础较弱的同学在正向不好做题时,可以考虑从选项入手,通过选项反向带入或者特殊值带入,从而选出正确答案,拿到每个6分。
尤其是以下这6个知识点,往往考查的都是最基础的内容,基本上通过公式和简单的运算就能得出答案!同学们务必快准狠地拿下每一题。
①集合:主要考查集合及其基本运算,以选择题为主。
②函数的定义域:转化为基本函数的定义域,以选择题为主。
③平面向量坐标运算:掌握坐标运算方法,选择题、填空题是常考题型。
④三角函数概念:确定角的象限或求值,选择、填空是常考题型。
⑤直线方程:考查斜率的概念和求直线方程,选择、填空是常考题型。
⑥等差等比数列:已知数列两项,求第三项:考查数列通项公式的应用。
我们就拿考纲中【数学】题型示例中的第一题【集合】来讲。
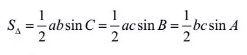
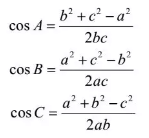
乍一看,A和B的交集无法直接找出。因此先去求集合A内不等式x²<9的解集,解得集合A={x|-3 ps:基础很弱、甚至连不等式都不会解怎么办?前面高中菌也提到正向不好解题,我们可以从反向入手。求A和B的交集就是找既属于A又属于B集合的元素,题目中已给出B集合元素的具体数字,我们就可以把B内的数字代入A内的不等式,若不等式成立,那么这个数字就是A和B的交集元素。4个数字代下来,只有0、1、2符合,答案就出来了! 情景交际是整张英语试卷中最易得分的题。共5小题,每题3分,总分15分。我们要保证一分不失。 该题主要考查我们是否懂得用英语进行日常交流,题干所涉及的单词和句型都很基础,大多数同学都能读懂题干和选项大意并做出正确答案。情景交际题拿不了分就有点对不起自己了哈! 学考题型示例—情景交际 —I ll go to Hangzhou for a holiday next month. —Great!______. A.Have a good time B.Best wishes C.Clad to see you again D.You are lucky 【答案】A 近几年该题考查的交际场景有:问候、介绍、告别、打电话、祝福、感谢、求助、道歉、安慰、看病、劝告、建议、邀请、约会、就餐…… 同学们在最后17天里可以做这两件事:一是整理以往这类试题/习题中的错题,二是收集并记忆这些交际场景中的高频英语表达。 据老夫分析:学考英语阅读四年出现频率最高的是细节理解题。2021年学考真题英语阅读15道题中有6道都是细节理解题。因此只要我们掌握了这类题目的解题技巧,阅读理解就不难提分啦! 该题常以who,which,why,how,when,where等提问,我们解答这类试题最常用的方法是根据题干或选项中的关键词从原文中找到相关的句子,仔细进行核对。这类试题的答案往往就隐藏在原文中。 此外,我们做阅读理解时还会遇到少数“猜测短语隐含意义”的题,这类题在题干中会有这些标志性单词: 做这类题,往往不能在原文中找到答案。因此与原文一致的选项很可能就是错误答案哦~ 英语完型填空题共15题,每题3分,总分45分,其也有解题“套路”,掌握“套路”稳拿36分。 完型填空的解题思路往往就藏在上下文相联系的语境中。我们做题时要遵循“填一空,看三句,扫全篇”原则。不能只靠简单的语感判断解题,做每道题都要给自己找到依据,告诉自己这为什么是正确答案。 完型填空和阅读理解一样,它需要我们保持平和的心态去略读和精读。心态稳了,分数也就稳了哦~ 进入学考冲刺阶段,留给我们复习的时间非常紧。我们除要抓住最易得分的题型,还要警惕易失分的知识点。 【字形】常见的4大设题陷阱: 1.字形相近 例如:如火如荼√-如火如茶×、√蛰居-蜇居× 2.字音相同/相近 例如:法制-法治、废话-费话、富有-赋有、供品-贡品 3.字音相近/相同且字形相近★★★★★ 例如:国籍√-国藉×、提纲√-题纲×、一张一弛√-心驰神往× 4.因语境不同致误 例如:化妆与化装,这两个词分别适合两种不同的语境。 【字音】考查重点是易读错字、多音字、形近字、形声字。注意:多音字在具体语境中口语和书面语的不同读音,如“嚼”-与其他字组词并用于书面语时读jué,如咀嚼、过屠门而大嚼;单用时读jiáo。 【成语熟语】该考点的命题重点在望文生义、用错对象、轻重失当、褒贬失当、重复或矛盾、不明典故等6个方面。要选出正确的成语熟语,前提还是要靠我们平日积累。 英语选择题分值占比也比较大,但绝不是从四个选项中选出一个答案那么简单。这些“地雷”你们要小心 【选择题】 ★情景交际:常见4大陷阱 1.中式思维(即按汉语的表达方式去套英语,这是不对的) 2.答非所问(这种陷阱的特点是:不同选项有相同的单词,看似意思相近,实则有很大不同) 3.上词下用(这种陷阱的特点是:答句部分沿用了问句的重点词) 4.直接回绝(英语表达拒绝时,正确用语是礼貌拒绝并说明理由,切忌直接拒绝邀请或约会) ★阅读理解:常见5大陷阱 1.张冠李戴:把A的观点说成是B的观点,这种设置比较隐秘。 2.无中生有:即选项中出现原文没有提到的信息或选项对内容进行过度引申。 3.文章原句干扰:选项中的内容是阅读材料的简单重复。做题时遇到与原文一致的选项时,它不会是推论也不会是正确答案哦! 4.常识、经验误导:选项所表达的内容,根据已有的常识、经验判断其是正确的,但文中却没有涉及,属于主观臆断的结论。 5.以偏概全:选项内容虽在文章中提到,但很片面或不完整,甚至与原文不符,我们要注意将其与原文对比。 【主观题】 ★英语作文:要注意审题立意,单词书写(单复数)、固定搭配、词性变换、时态、从句引导词。 数学考查的内容偏理科,因此几乎不会像英语和语文那样设置文字陷阱。 但数学学科拿不下高分,主要有两大原因:一是基础知识没跟上来,二是做题粗心大意,选择题特别容易因为不够细心导致失分。其中有考生解答的方法和思路都正确,但就是中间步骤的计算出错,导致失分严重。 数学的解答题、语文/英语的作文常常会让考生产生“畏惧感”,很多考生会因答题时间分配不均,导致题目来不及做,有不少考生甚至直接放弃。 但如果前期做好了基础的巩固、积累,是可以通过某些解题规律或者解题技巧攻克“压轴题”,拉高试卷分数。 作文题可以说是语文考试中的大boss,让许多同学闻风丧胆。但是高中菌要告诉大家,其实语文作文在学考中,也是最容易得分的版块之一。 在新学考里面,作文的分值为60分,占卷面分的五分之三。纵观近几年的学考作文题,主要是新材料作文,它往往由材料和要求两部分构成。其特色是只给材料,不给题目或话题。 材料提供的往往是现实生活中鲜活的时事新闻,热点事件或者能引起不同见解的事情,让考生从材料中获得不同的思考和感想,选择一个角度去分析表达自已的看法。 而同学们在作文中失分,主要原因离不开这些: 所以作文这一块,只要符合以下原则,大部分同学最起码是能拿到40分的。 ①审题要准确,不能偏题; ②不带外伤——缺题、字数不够、错别字、语言不通顺; ③不带内伤——观点不可偏激和错误;内容重心把握不当;观点过于晦涩和情感混乱等。 ④骨架要稳——结构必须要完整,清晰。 1.要有时间观念,要留出充裕的时间进行作文题的思考。 2.题目拟立要费些心力,力争新颖恰当。 3.开头、结尾要尽量打草稿。开头要做到先声夺人,结尾要做到感人肺腑。开头结尾忌讳冗长、拖沓,废话太多。 4.段落设置合理,全篇以6-8段为宜。每段尽量不超过12行,尤其是开头要迅速入题。 5.字迹清晰,卷面整洁,尽量不涂改。 6.字数一定要超过700字。 2021年数学学考解答题题量比去年增加一道,分值占比增加。加上不少考生由于答题时间分配不均,导致后面留给大题的解答时间不够,甚至直接放弃。小编告诉大家不要对大题产生畏惧心理,更不要因为时间不够而空着不答。 解答题一般按步骤给分,答一步就有一步的分。而且解答题往往第一小问都比较基础,同学们尽量把这些基础的分数拿下噢! 从历年解答题的考点分布来看, 立体几何和解三角可以说是高频考点了!下面,老夫教大学如何攻破和捞分! 1.正弦定理 具体使用:边化角或者角化边,边化角考的最多。 举例如下:题干给出asinB-bcosA=0,其他不用多想,直接把边化为角,就是将a换为sinA,b换为sinB,就变为sinA·sinB-sinB·cosA=0,然后sinB都有,可以同除去sinB,就剩下sinA-cosA=0,即为tanA=1,则A=45° 2.余弦定理 余弦定理公式记忆,强烈推荐这一种形式,左边全为角,右边全为边的形式,好记好用。 余弦定理大题里一定会用到,假设第一问求出A角,第二问,必用到A角的余弦定理公式,不管三七二十一,先把cosA=(b^2+c^2-a^2)/2bc列出来,然后把数据带进去,就能计算出一些都用的信息。 3.面积考查 一个题里面不可能三个面积公式都能使用上,所以不要多写,具体使用哪一个,就看题干里已经知道哪个角的信息,假设你现在掌握了A角信息,果断套用S=1/2b*c*sinA,代入数据,就能得到有用信息! 1. 证明平行:只看线面平行,面面平行考查的可能性不大。证明线面平行,只需证明一组线线平行。 2. 证明垂直:垂直分3种考查,一种是线面垂直直接考查,另一种就是线线垂直(这种题,也必须经过先证明线面垂直,得线线垂直),这两种考查都相对简单;最后一种是面面垂直(这种题难度偏高)。 3. 体积考查:核心和难点在于高的查找,这个高必须经过能够严格说明和底垂直,才能确认为高,否则不要轻易做为高! 希望同学们在最后这17天备考中,多研究常考题型,总结归纳其中的答题规律和技巧。掌握重要的公式。按步骤答题,将难题分解为一系列的步骤,先解决问题的一部分,能解决多少就多少,能演算几步就写几步,虽然没有答到最后,但也能拿大部分的分。 学考只剩17天,英语作文为什么还能提分?首先,我们要明晰平常英语作文失分的原因有哪些: 表格列举的5大原因,偏题、离题、卷面不整洁等失分原因,我们都可以在短时间内避免。 学考作文只需要写90词左右,2017-2021年考查的体裁是书信体应用文,因此我们可以将该类体裁作为冲刺阶段2022学考英语作文的备考重点。书信体应用文按写信目的可分为邀请信、申请信、道歉信、通知、投诉信、建议信、祝贺信这7种。 在最后的备考阶段,老夫建议同学们自觉回顾以往的作文试题/习题或查找课外资料,对英语作文按主题分类整理,为自己归纳出以上7种书信体应用文的作文模板并反复背诵记忆。英语写作高分不是难事。 不到最后一刻,决不放弃 不到最后一刻,你我皆是黑马 同学们利用好最后的十几天 一定能金榜题名! 加油!!! 转发给身边在高考的孩子和朋友们喔 CUSN大学专业导航网 致力于分享高中、大学最新资讯! 别忘了给我的文章点赞哦~ 「收藏」广东2022年高考报考时间一览表 广东省新高三注意了!重视小高考,可以多一次选择院校的机会 「高中家长必看」新高考实施至今,有哪些经验可以借鉴呢? 2022年高考各项考试安排重磅出炉!高三学子速看 ①情景交际
②阅读理解
③完型填空
二、90%的考生都会踩的“陷阱”
语文
英语
数学
三、“压轴”大题也能得分
温馨提示
2.数学-解答题
解三角
立体几何
3.英语-作文
版权声明:我们致力于保护作者版权,注重分享,被刊用文章【面面垂直的证明方法(学考倒计时16天)】因无法核实真实出处,未能及时与作者取得联系,或有版权异议的,请联系管理员,我们会立即处理! 部分文章是来自自研大数据AI进行生成,内容摘自(百度百科,百度知道,头条百科,中国民法典,刑法,牛津词典,新华词典,汉语词典,国家院校,科普平台)等数据,内容仅供学习参考,不准确地方联系删除处理!;
工作时间:8:00-18:00
客服电话
电子邮件
beimuxi@protonmail.com
扫码二维码
获取最新动态
