在数学中,有很多重要的“未解之谜”,最知名的是7个千禧难题,它们是:NP完全问题、霍奇猜想、庞加莱猜想、黎曼假设、杨-米尔斯存在性和质量缺口、纳维-斯托克斯方程、BSD猜想,其中庞加莱猜想已被解决。
庞加莱猜想,拓扑学上的一颗明珠,揭开宇宙形状之谜
然而,还有其他一些问题也是“价值不菲的”,比如比尔猜想,该问题是本文的重点。比尔是一位著名的银行家,同时也是一位数学爱好者,他声称要为正确解决这个问题的人提供一百万美元的奖金。
互质
如果两个整数n和m的最大公约数是1,则它们就是互质的。很明显,所有一对(不相等的)质数都是互质整数,但例如(9,4)也是互质整数,因为没有质数能同时整除它们。
比尔猜想的内容如下:
设
其中A,B,C,x,y和z是自然数(正整数)。如果x、y和z都大于2,那么A、B和C肯定有一个共同的质因数。
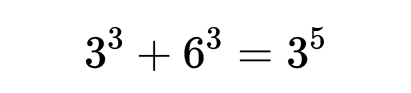
下面是这个方程的例子:
请注意,在这个方程中,所有三个项都有质数3作为因子,因为3能分别除3、6和3。
理解任何形式的 "如果P那么Q "命题的一个好方法是考虑与之等价的反命题。反命题的真值和原始命题的真值是一样的,所以反命题的证明会立即证明原始命题(反之亦然)。
比尔猜想的反命题陈述如下:
假设方程(1)成立,A,B,C,x,y和z是自然数(正整数)。如果A、B和C是互质的(即它们不共享一个素因子),那么x、y或z必须是1或2。我们可以用比尔猜想的反命题来构造一个方程,迫使该方程在A、B和C互质,以及x、y z大于2的情况下为真。然后,该猜想指出,这个方程没有自然数的解。
首先,我们需要贝祖恒等式:
设a和b是有最大公约数d的整数。那么存在整数x和y,使得ax + by = d。
贝祖定理的一个推论如下:
设a和b是互质的自然数。那么存在整数n和m,使得na+mb=1。
请注意,反之亦然,因为如果存在整数n和m,使得na+mb=1,并且a和b不是互质的,那么它们有一个共同的质因数p,根据质数的定义,这个质因数大于1。这意味着p能除1,这显然是一个矛盾。因此,a和b是互质的。
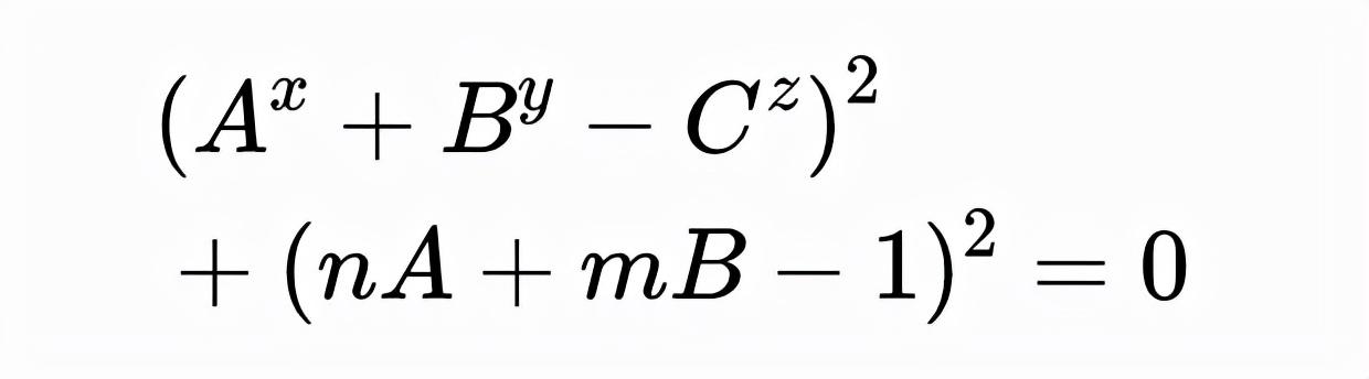
现在我们可以说明以下情况:
当且仅当存在整数n和m,使得na+mb=1时,a和b是互质的。
请注意,如果我们知道比尔方程(1)成立,那么 "A、B和C不共享一个共同的质因数 "的说法就等同于A和B是互质的说法。
这是因为如果A和B有一个共同的质因数p,那么我们可以从(1)的左手边提出这个质因数。这表明,C^z也有p作为质因数。所以如果A和B有一个共同的因子,那么它们都有这个因子。
这句话的反义是:
如果A、B和C没有公因数,且方程(1)成立,则A和B互质。
现在我们可以把两个方程结合起来,确保它们都通过平方而成立:
如果这个方程有自然数x, y, z, A, B, C和整数n, m的解,那么x, y或z中至少有一个是1或2。
如果你能证明这一点,那么你将得到一百万美元。
与费马最后定理的联系
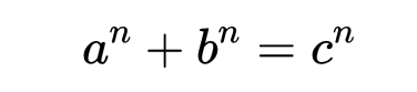
要得到一百万美元并不容易。首先,证明需要发表在AMS认可的同行评议的杂志上。事实证明,比尔猜想是费马大定理(FLT)的一个概括。费马大定理指出,对于n≥3的方程,没有自然数解:
n≥3。
费马大定理花了数学家350年的时间来证明,而证明过程漫长、复杂,依赖于现代专业数学。事实上,这个证明是如此复杂,以至于这个星球上只有少数人能理解它。
比尔猜想,从任何意义上来说,都比FLT更难。
因此,除非你找到一个完全不同的方法来证明,而这个方法350年来一直被世界上最好的数学家所忽视,否则至少可以说,比尔猜想的证明似乎遥不可及。
为了证明BC(比尔猜想)是FLT(费马大定理)的推广,我们需要证明BC => FLT。也就是说,如果比尔猜想是真的,那么费马大定理就是真的。
当然,我们知道费马大定理是正确的,因为上面提到的安德鲁·怀尔斯(Andrew Wiles)通过模量定理(Modularity Theorem)的证明。模量定理可以非正式地看作是椭圆曲线世界和模形式世界之间的一座桥梁。
这的确是一个令人震惊的成就。
然而,我们要证明的是,即使我们不知道安德鲁的证明,比尔猜想仍会暗示费马大定理成立。为了看到这一点,我们假设比尔猜想是真的,而且对于自然数a、b、c和一些自然数指数n(n≥3),像上面这样的费马方程是成立的。
然后通过比尔猜想,我们知道a、b和c有一个公因数p,现在我们可以通过p^n来获得费马大定理的另一个解。通过继续除以共质数的n次方,我们最终会得到一个a和b互质的解。
这与比尔猜想的假设相矛盾,因此对于n≥3的情况不可能有这样的解,即费马大定理成立。比尔猜想是一个迷人的数字之谜。就像费马大定理一样,它吸引我们的原因是其简单的定义,但正如我们现在所知,外表是具有欺骗性的。
版权声明:我们致力于保护作者版权,注重分享,被刊用文章【费马猜想的证明过程(比尔猜想)】因无法核实真实出处,未能及时与作者取得联系,或有版权异议的,请联系管理员,我们会立即处理! 部分文章是来自自研大数据AI进行生成,内容摘自(百度百科,百度知道,头条百科,中国民法典,刑法,牛津词典,新华词典,汉语词典,国家院校,科普平台)等数据,内容仅供学习参考,不准确地方联系删除处理!;
工作时间:8:00-18:00
客服电话
电子邮件
beimuxi@protonmail.com
扫码二维码
获取最新动态
