线性代数在机器学习(ML)和深度学习(DL)中是必不可少的。即使我们努力为许多理论创建精确的机器学习模型,线性代数仍然是这些研究中的重要工具。本文会跳过一些基本知识,比如什么是向量,什么是矩阵,以及如何相加和相乘。我将快速更新基本概念,并更深入地介绍一些重要主题。
基本矩阵行为:
如最后一个等式所示,矩阵不可交换。
按照惯例,矢量x被写为列矢量。这是矢量和矩阵的转置。
属性
如果A =Aᵀ,则矩阵是对称的。如果A =-Aᵀ,则称为反对称。
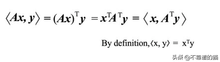
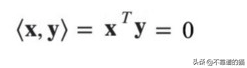
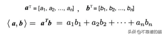
内积 ⟨a,b⟩(或A·B)是一个标量函数。两个向量的内积定义为:
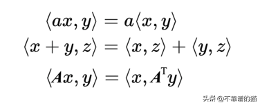
任何标量值的转置等于它自己。您可以在许多机器学习论文中看到以下操作。
单位向量是具有单位长度的向量。
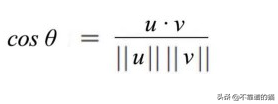
两个向量u和v之间的角度是
向量遵循以下不等式
属性
最后一个等式很重要。下面是它的证明:
不要将xᵀy与xyᵀ混肴。内积xᵀy产生标量,但外积 xyᵀ产生矩阵。
两个矩阵的乘法是A的第i列和B的第i行之和。
例
这个矩阵乘法的观点看起来很奇怪,但是当我们研究矩阵分解时就变得非常重要。
矩阵A的逆矩阵定义为:
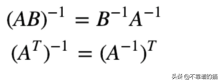
属性:
注意:仅当A和B可逆时,上述才为真。即使A是非方形矩阵也不是这样。(逆矩阵假设A是n × n方阵。)为了求解线性方程组Ax = b,我们可以将A的逆矩阵与b相乘以求解x。
如果A不可逆,则此方法失败。我们需要一些其他方法,如高斯消元法来解它。我们在左侧引入上面的逆 - 左逆。如果它在右侧引入,则称为右逆。
对于方形矩阵,两者都是相同的,我们只称它为逆。
然而,即使逆矩阵在文献中似乎无处不在,但在实践中我们要避免对任意矩阵求逆。在机器学习(ML)中,我们处理许多稀疏矩阵——一个主要由零值元素组成的矩阵。由于空间和计算复杂性,稀疏矩阵的逆是密集的并且不太理想。此外,逆矩阵在数值上可能是不稳定的——输入中的一个小的不精确或误差可能触发一个大的误差。
那么什么矩阵不是可逆的呢?奇异(退化)矩阵是不具有逆的方形矩阵。下列方程计算一个3×3的逆矩阵。
对于存在的逆,行列式不能为0。例如,下面的矩阵是奇异矩阵。
它的行列式等于0.因此,它没有逆。
可以将向量分组以形成向量空间。Rⁿ是包含所有n维实数向量的向量空间。空间可以划分为子空间以供进一步研究。例如,R³是3-D空间,平面是R³的子空间。
根据定义,如果u和v在一个空间中,u + v和cu(其中c是常数)必须在同一个空间中。这个定义也适用于子空间。这是一个非常抽象的定义。它不局限于向量。事实上,包括多项式函数在内的许多对象可以形成一个空间。例如,任意阶的多项式函数构成一个空间。两个x的多项式函数相加仍然是一个多项式。
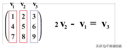
列向量的所有线性组合的集合构成一个子空间,称为矩阵A的列空间(column space)或列张成(column span),用符号CoI(A)表示。
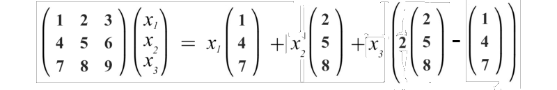
如果上面的所有列向量都是线性无关的,那么列空间张成整个三维空间。但是,上面的列向量是线性相关的。第三列向量是前两列的线性组合。
我们可以在表示A的列空间时删除第三列向量。因此,该矩阵的列空间仅张成平面。
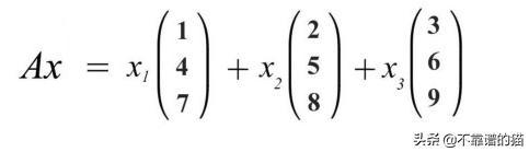
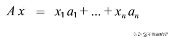
Ax是A列向量的线性组合的概念非常基础。所以,花几秒钟来习惯这个概念。
这个方程也以一种更熟悉的形式给出
其中a1到an张成A的列空间。类似地,行在创建行空间时形成行向量。
如果我们用C(A)表示A的列空间,我们可以转置A和C(Aᵀ)代表A的行空间。
一个n维空间不能有超过n个线性无关的向量。在下面的左图中,绿色的向量可以用蓝色和红色的向量表示。两个向量在三维空间中形成一个平面。平面上的任何向量,像下面的黄色向量,都是红色向量的线性组合。
在数学上,一组线性无关的向量,它满足
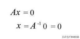
只有当所有线性因子cᵢ都为0。简而言之,任何向量都不能表示为其他向量的线性组合。此外,A的列是线性无关的,如果Ax=0的唯一的解是
要获得0以外的解,A必须是奇异的。即
否则,我们可以计算逆,v只有一个解等于0。
对于 Ax = 0 以具有非零解, A 是奇异的 且 det(A)= 0。
秩度量a的列/行之间的线性无关性,它是这些列/行的维张成的空间,决定了线性系统Ax=b中解空间的维数。矩阵的秩等于
对于任何矩阵,列空间和行空间具有相同的维数(秩)。因此,矩阵的秩可以通过行或列来计算。下面是不同矩阵的秩。
如果一个矩阵是可逆的,它的逆是唯一的。将会有一个解x = A⁻¹b。然而,在方形矩阵中,如果列/行是线性相关的,则矩阵是奇异的且不可逆的。矩阵A的秩(通常对于任何矩阵)可以帮助我们确定线性依赖关系以及是否有唯一解。下图展示了如何用矩阵形式表示线性方程组及其解的个数。
如果b不在A的列空间中,则解为零,即A中的列的线性组合不能达到b。
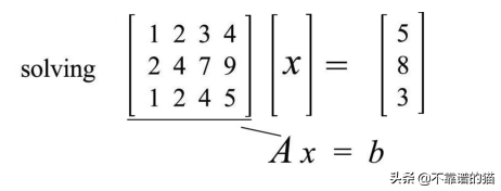
如前所述,我们很少计算A的逆来解出Ax=b。 一种最常见的方法是高斯消元和回代。 许多人已经知道如何通过这种方法求解线性方程。 所以我会快速介绍一下并介绍一些关键术语。 要解
我们应用消去来为x 1列中的第2行和第3行创建前导零。一旦我们消去了x 1 列,我们重复x 2和x 3的过程。
该矩阵A可以被消去为具有非零前导值的两行。 这两个非零值称为pivots。
矩阵的秩等于pivots的个数。(在消去之后,我们只留下两个有意义的方程。)如果n×n矩阵具有小于n个pivots,则矩阵是奇异的。最下面一行的所为零,不包括b列。
列中一个pivot对应的变量称为主元。其他的变量叫做自由变量,它可以取无穷多个值。在上面的例子中,我们有两个主元(x₁,x₂)和一个自由变量x₃。在消去步骤之后,与变量x相关联的矩阵形成上三角矩阵。
为了解Ax = b,我们执行回代。从最下面一行开始,每次解析一个变量。
如果我们将自由变量x 3设置为0 ,那么将有一个特解
让我们用pivots解另一个例子。在行消去之后,我们使用b列中的非零值来设置这些主元,然后将所有自由变量设置为0。这就变成了x的解。
考虑Ax = b,其中A是m×n矩阵,其中秩为r,x具有n个分量。行消去后,排除列b,矩阵将具有m - r全零行。
如果任何所有零行有b≠0,则它没有解,我们不能在上图中得出0=2的结论,线性方程彼此冲突。如果秩r小于n, x张成n - r维。换句话说,如果我们有r个线性无关方程来解x中的n个变量,只要方程中没有冲突x就有n - r个自由度。
我们使用的方法称为Gauss-Jordan消元。这是一个非奇异矩阵的例子。
为了找到A的逆,我们可以用n×n单位矩阵I代替b。
在处理线性代数时,计算的精度是有限的,这一点尤为重要。此外,我们希望计算速度快。幸运的是,我们有库为我们处理这些工作。因此,我们将只简要介绍一下。
行交换。通过一些巧妙的行交换,行消去和回代将不易受舍入误差的影响。在一行消去之前,如果系数的比例存在巨大差异,我们就用前导值最大的那一行来交换第一行。如果不重新排序,解决方案可能会有很大的偏差。我们已经介绍了行空间和列空间。还有两个更重要的子空间。下面x张成的空间叫做A的零空间,记作N(A)
它包含Ax=0的所有解。它至少包含x=0。A的行向量乘以x(内积)等于0。
因此,行空间中的任何向量都垂直于零空间。即A的行空间与A的零空间正交。
例,
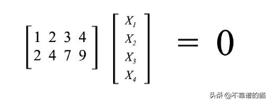
这个矩阵的秩是2。有主元的列叫做主列,有自由变量的列叫做自由列。自由列数等于列数减去秩。如下所示,相应的自由变量是x₂和x₄。
一次一个,我们把每个自由变量设为1,其他自由变量设为0。有了两个自由变量,我们可以推导出两个特解。
通解将是特解的任何线性组合,其形成零空间,秩为2。如前所示,如果A中的列是线性无关的,那么零空间只包含向量0。类似地,存在与列空间正交的左零空间 N(Aᵀ),即Aᵀx= 0。行空间,列空间,零空间和左零空间形成矩阵A的四个基本子空间。
以前,我们只为Ax = b找到一个特解。如果A是奇异的,它可以有很多或没有。让我们现在找到一个通解。
首先,首先找到特解。
接下来,求Ax=0的解。A的秩是2,因此我们可以找到2(4 - 2=2)个独立解。
通解是特解加上Ax=0解的任何线性组合。
图形上,这是二维示例的上面的虚线。下面的等式是我们的例子的通解,其中cᵢ是常数。
如果两个向量的内积⟨x , y⟩等于零,则它们是正交的。
如果它们是二维或三维向量,则它们可以被视觉化为彼此垂直。
如果正交向量有单位长度,它们叫做标准正交。如果来自每个子空间的任何向量总是彼此正交,则两个子空间彼此正交。在3-D空间中,x轴和y轴是彼此正交的两个子空间。然而,并非所有垂直于x轴的向量都属于y轴。它可以是yz平面上的任何向量。如果垂直于一个子空间的任何向量必须属于另一个子空间,则一个子空间与另一个子空间正交。组合来自每个子空间的一个向量重建Rⁿ空间。如果一个子空间正交补的维数是k,那么另一个子空间的维数一定是n - k。
列空间,行空间,零空间和左零空间从m×n矩阵A形成四个基本子空间。
列空间:C(A)行空间:C(Aᵀ)零空间:N(A)左零空间:N(Aᵀ)这些子空间的关系是:
列空间和行空间具有相同的维度和秩。A的秩(r)等于列空间和行空间的秩。行空间是零空间的正交补(⊥)。列空间是左零空间的正交补(⊥)。行空间有r维,零空间有n - r维。列空间有r维,左零空间有m - r维。在求解Ax=b的x时,如果b不在A的列空间中,它是不可解的,Ax=b的特解在行空间中。Ax=0的解在零空间中。通解是通过在零空间中加入特解和任何解的线性组合而得到的。
机器学习与线性代数简明教程(下)
版权声明:我们致力于保护作者版权,注重分享,被刊用文章【证明向量组线性无关(机器学习与线性代数简明教程)】因无法核实真实出处,未能及时与作者取得联系,或有版权异议的,请联系管理员,我们会立即处理! 部分文章是来自自研大数据AI进行生成,内容摘自(百度百科,百度知道,头条百科,中国民法典,刑法,牛津词典,新华词典,汉语词典,国家院校,科普平台)等数据,内容仅供学习参考,不准确地方联系删除处理!;
工作时间:8:00-18:00
客服电话
电子邮件
beimuxi@protonmail.com
扫码二维码
获取最新动态
