还记得质数吧?这是一个3000年前的问题:
2、3、5、7 、11、13 、17 、19 、23 、29、 p。p是什么?31。下一个p是什么?这是37。后面的p呢?41.。然后呢?43。但是,你怎么知道接下来会发生什么?给出一个预测下一个质数将是什么的公式(在任何给定的数字序列中),那么你的名字将永远和最伟大人联系在一起,类似于牛顿,爱因斯坦和哥德尔。
历史上许多数学巨人都研究过质数的性质。从欧几里得第一次证明素数有无限多个,到将素数与 ζ函数联系起来的欧拉乘积公式。从高斯和勒让德的素数定理公式到哈达玛德和德拉瓦莱普桑。伯恩哈德·黎曼仍然是在质数理论中取得最大突破的数学家。他的全部工作都包含在1859年发表的一篇8页的论文中,这篇论文对素数的分布做出了新的、前所未有的阐述,至今被认为是数论中最重要的论文之一。
自发表以来,黎曼的论文一直是质数理论的主要焦点,也是1896年质数定理证明的主要原因。此后又发现了一些新的证明,包括塞尔伯格的基本证明。然而,黎曼关于 ζ函数根的假说仍然是一个谜。
让我们从简单的开始。我们都知道一个数要么是质数,要么是合数。所有合数都是由质数组成的,并且可以分解为质数乘积。公元前300年,欧几里得(就证明了它们的数量是无限的。证明过程非常经典,本篇文章就不再赘述。
即使对素数的算术性质进行了大量的研究,人们仍然对其知之甚少。科学界对我们缺乏理解质数行为的能力非常自信,以至于大数的因式分解是加密理论的基础之一。以下是一种看待它的方式。
我们很了解合数,它们是由素数组成的,很容易地写出一个公式来预测合数。最著名的例子是公元前200年的“埃拉托斯尼筛子”。它所做的,就是简单地标记每个质数的倍数直到一个限定。取质数2,标记4、6、8、10,以此类推。接着,取3,标记6、9、12、15,以此类推。剩下的只有质数。虽然很容易理解,但埃拉托斯提尼的筛子不是很有效。
有一个函数极大地简化了工作,那就是6n +/- 1。这个简单的函数取出除2和3之外的所有素数。代入n = 1、2、3、4、5、6、7,结果是,5、7、11、13、17、19 、23 25、29、31、35、37、41、43。函数生成的唯一非素数是25和35,它们分别可以被因式分解成5 x 5和5 x 7。下一个非素数是,49 = 7 x 7, 55 = 5 x 11等等。
为了直观地说明这一点,我使用了一种我称之为“组合阶梯”的东西,这是一种简单的方法,可以看到函数生成的合数是如何为每个质数布局和组合的。在下图的前三列中,你可以清楚地看到质数5、7和11,它们各自的组合阶梯达到并包括91。第四列的混乱显示了筛子是如何除去除了质数之外的所有数的,这很好地说明了为什么质数如此难以理解。
那么这些和黎曼假说有什么关系呢?简单地说,为了更多地了解质数,19世纪的数学家们不再试图绝对肯定地预测质数的位置,而是开始把质数作为一个整体来研究。这种分析方法是黎曼的拿手之处,也是他著名的假说产生的地方。然而,在我解释它之前,有必要熟悉一些基本的概念。
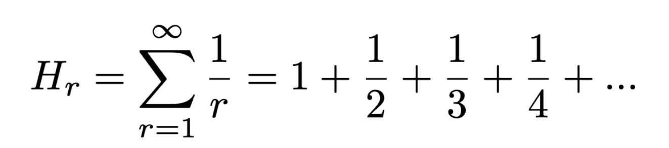
调和级数是一个无穷数列,最早由尼古拉斯·奥雷斯姆在14世纪进行研究的。它的名字与音乐中的和声的概念有关。该系列的内容如下:
这个和被奥瑞斯姆证明是发散的。
调和级数是ζ函数的特例。对于r和n两个实数,给出了如下函数:
代入n = 1,得到一个发散的调和级数。然而,对于所有n > 1,级数是收敛的。
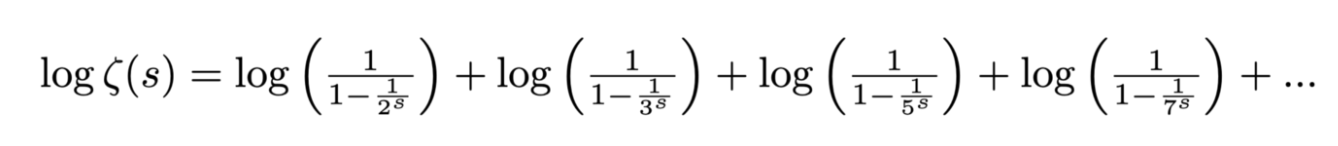
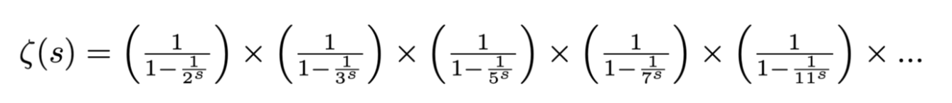
欧拉证明了ζ函数与质数之间的第一个联系,对于n和p两个自然数,其中p是质数:
这个表达最早出现在1737年的一篇题为《关于无穷级数的观察》的论文中。这个表达式表明,ζ函数的和等于:
这种惊人的联系奠定了现代质数理论的基础,从这一点开始,用ζ函数ζ(s)作为研究质数的一种方法。
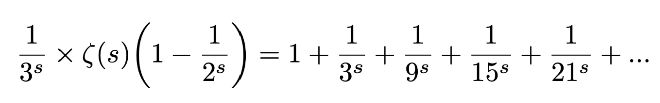
欧拉从一般的ζ函数开始
首先,两边同时乘以第二项:
然后从ζ函数中减去结果表达式:
重复这个过程,然后两边乘以第三项:
然后用函数减去结果的表达式:
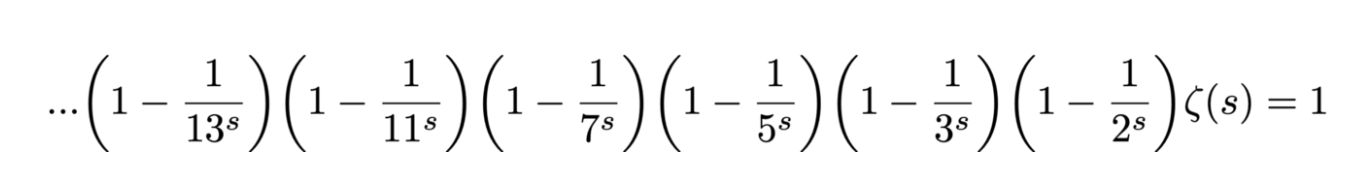
重复这个过程直到无穷大,最后只剩下表达式:
欧拉构造的是一个筛子,很像埃拉托色尼的筛子。他把非质数从函数中过滤掉了。
然后将表达式除以所有素数倒数项,得到:
简化后得到:
代入s = 1,求无穷次调和级数,再一次证明素数有无穷多个。
奥古斯特·费迪南德·莫比乌斯后来重写了欧拉积公式,创造了一个新的和。除了包含素数的倒数,莫比乌斯函数还包含所有素数因子的奇数和偶数乘积的自然数。他的级数中剩下的数是那些除以某个质数平方的数。其和,用μ(n)表示为:
和包含以下的倒数:
每一个质数;每一个自然数,它是由奇数个不同素数的乘积,前面加一个减号;以加每一个自然数,它是偶数和不同素数的乘积,前面加一个加号。以下是第一项:
这个和不包含可以除以某个素数平方的数的倒数,例如4、8、9等等。
莫比乌斯函数μ(n)只接受三个可能的值:
虽然最初由莫比乌斯正式定义,早在莫比乌斯定义的30多年前,高斯就在一篇旁注中对这个古怪的总和进行了深入的研究,他写道:
素数p的所有原始根的和是≡0,或≡±1,如果数是偶数,符号是正的,如果数是奇数,符号是负的。
回到质数。为了理解质数在数轴上的分布情况。由高斯引入的质数计数函数π(x)就是这样做的,它给出了小于或等于给定实数的质数的数量。由于没有找到质数公式,我们只知道质数计数公式是一个图。下图显示了x = 200时的函数。
质数定理也由高斯和勒让德独立发表:
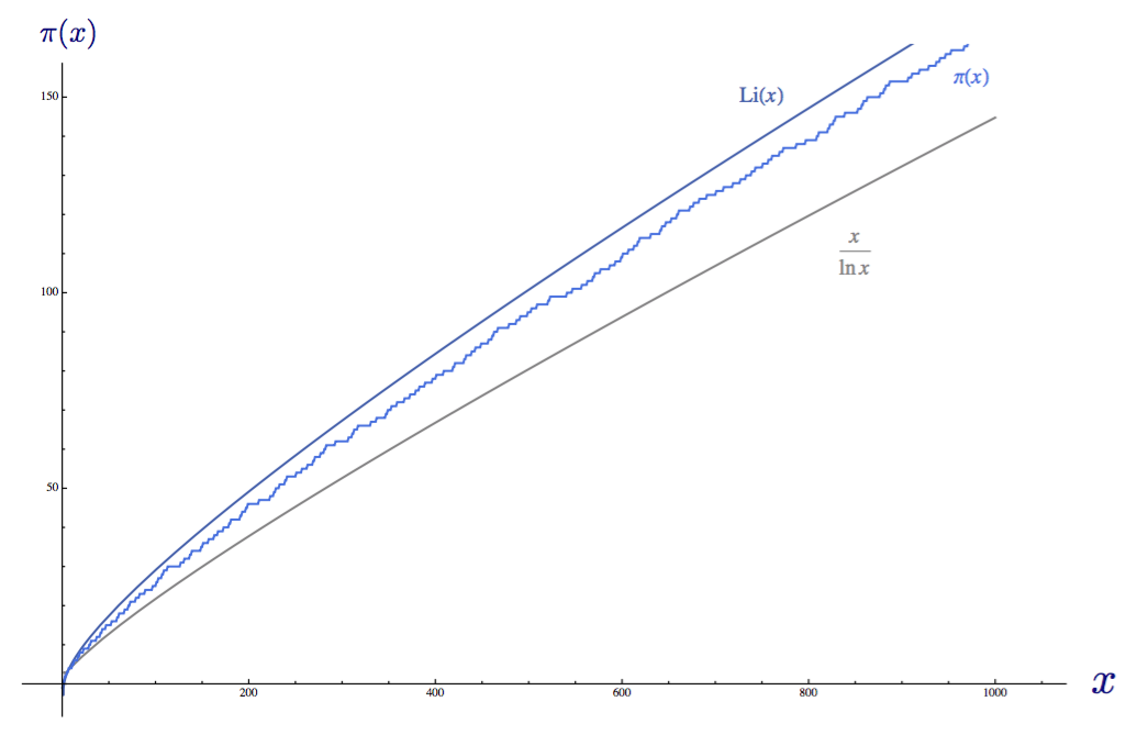
用当x趋于无穷时,质数计数函数π(x)将逼近函数x/ln(x),两者之间的比率将接近1。当x = 1000时,两个函数如下图所示:
在概率方面,质数定理指出,如果你随机选择一个自然数x,这个数成为质数的概率P(x)大约是1 / ln(x)。这意味着前x个整数中连续素数之间的平均差约为ln(x)。
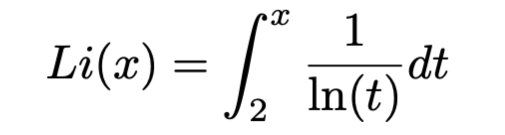
函数Li(x)定义为除x = 1外的所有正实数。它由2到x的积分定义:
将这个函数与质数计数函数和质数定理的公式画在一起,我们可以看到Li(x)实际上是一个比x/ln(x)更好的近似:
这是一个多么好的近似值,如果我们做一个x值的表,可以看出:
从这里可以很容易地看出,对数积分函数的近似值远远优于质数定理中的函数,仅在x = 10的14次方时“超调”了314,890个质数。然而,这两个函数都收敛于质数计数函数π(x)。Li(x)要快得多,但当x趋于无穷时,质数计数函数与Li(x)和x/ln(x)之间的比值趋于1。可视化为:
自从丹尼尔·伯努利和克里斯蒂安·哥德巴赫在1720年代研究了将阶乘函数扩展到非整数参数的问题以来,γ函数 Γ(z)一直是一个重要的研究对象。它是阶乘函数n!向下移动1:
它的图形很奇怪:
γ函数Γ(z)被定义为z大于零的所有复值。复数使数学家和工程师能够计算和解决普通实数无法解决的问题。从视觉上看,复数将传统的一维“数轴”扩展为二维的“数平面”,称为复数平面,复数的实部绘制在x轴上,虚部绘制在y轴上。
为了能够使用γ函数Γ(z),它通常被重写为这种形式:
利用这个等式,我们可以得到z < 0的值。然而,它没有给出负整数的值,因为它们没有定义(从技术上讲,它们是奇点)。
ζ函数和γ函数之间的联系由以下积分给出:
我们已经掌握了必要的基础知识,我们终于可以开始把质数和黎曼假设联系起来了。
德国数学家伯恩哈德·黎曼于1826年出生于布雷斯伦茨。作为高斯的学生,黎曼发表了很多分析和几何领域的著作。他最大的贡献可能是在微分几何领域,在那里他奠定了几何语言的基础,后来用于爱因斯坦的广义相对论。
他在数论方面唯一的成就是1859年发表的论文《论小于给定数量级的质数》被认为是该领域最重要的论文。在短短的四页里,他概述了:
复值ζ函数ζ(s)的定义;zeta函数对所有复数s≠1的解析延拓;黎曼函数ξ(s)的定义,是通过γ函数与黎曼ζ函数关联的一个完整函数;黎曼ζ函数的泛函方程的两个证明;利用素数计数函数和莫比乌斯函数定义黎曼素数计数函数J(x)利用黎曼素数计数函数求素数数目小于给定数的显式公式。这是一项令人难以置信的壮举,这种壮举可能在那之后就再也没有见过了。
我们已经在欧拉的乘积公式中看到了质数和函数之间的密切关系。然而,除了这种联系之外,人们对它们之间的关系知之甚少,只有发明复数才能明确地表明它们之间的联系。
黎曼首先考虑了复变量s的ζ函数ζ(s),其中s = σ +it。
黎曼ζ函数ζ(s)是一个对所有实部大于1(Re(s) > 1)的复数都是解析的(有定值)的无穷级数。在这个区域,它是绝对收敛的。
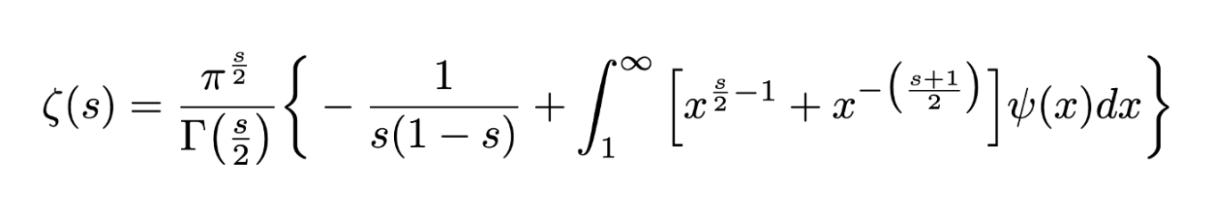
为了在正则收敛区以外的区域分析函数(当复变量s的实部大于1时),需要重新定义函数。黎曼通过解析延拓半平面上Re(s) > 0上的绝对收敛函数成功地做到了这一点。
这个函数的新定义在半平面Re(s) > 0中处处是解析的;0,除了在s = 1处存在奇点。这在这个定义域内称为亚纯函数,因为它是全纯的(在其定义域内每个点的邻域内复可微),除了在奇点s = 1处。它也是狄利克雷l函数的一个很好的例子。
在他的论文中,黎曼并没有止步于此。他继续用γ函数 Γ(z)来分析他的ζ函数ζ(s)到整个复平面。为了保持本文的简单性,我不会在这里展示这个计算,但我强烈建议你自己阅读它,因为它非常好地展示了黎曼非凡的直觉和技术。
他的方法利用了“Γ(z)对于复数变量的积分表示”和“一个叫做雅克比ϑ函数ϑ(x)”的东西:
在这种形式下,我们可以看到ψ(s)项比x的任何次幂下降得更快,因此积分对s的所有值都收敛。
更进一步,黎曼注意到,如果用1 - s替换s,大括号中的第一项(-1 / s(1 - s) )是不变的。
当ζ(s)=0时,ζ函数的根可以分为两种类型,它们被称为黎曼ζ函数的“平凡”零点和“非平凡”零点。
实部Re(s) < 0的零的存在性
平凡零点是很容易找到并解释的。它们在以下 ζ函数的函数形式中最容易被注意到:
当sin项变为0时,这个乘积变为0。例如,对于一个负偶数s = -2n,函数变为0。然而,对于正偶数s = 2n, 0被γ函数Γ(z)的极点抵消了。这在原始的函数形式中更容易看出来,如果你代入s = 2n,这一项的第一部分就没有定义。
黎曼函数在每一个负偶数s = -2n处都是0。这些是平凡零,它们可以在下面的函数图中看到:
实部为Re(s) >的零点的存在性
由欧拉积公式可以看出,在s的实部大于1的区域,ζ(s)不可能为零,因为一个收敛的无穷积只有当其中一个因子为零时才可能为零。质数无限大的证明否定了这一点。
实部0≤Re(s)≤1的零点的存在性
我们已经找到了Re(s) < 0时,在负半平面上的零点,并且说明了说明在区域Re(s) >1中不可能有任何零点。
然而,在这两个区域之间的区域,被称为临界地带,是解析数理论在过去几百年里主要关注的地方。
在上面的图中,我用红色标出了ζ(s)的实部,用蓝色标出了虚部。当s的实部为-2和-4时我们可以看到左下角的前两个零点。在0和1之间,我已经标出了临界地带,并标出了ζ的实部和虚部相交的地方。这些是非平凡零点的黎曼函数。在更高的值中,我们看到更多的0,以及两个看似随机的函数,随着s的虚部变大,它们的密度也越来越大。
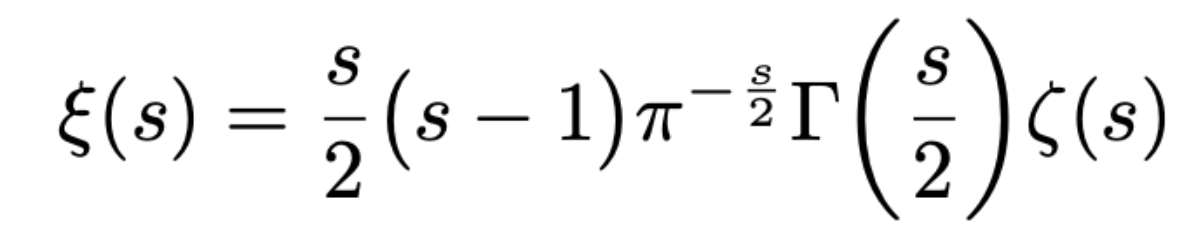
我们定义了黎曼Xi函数ξ(s)为:
这个函数满足这个关系:
即函数是关于垂直线Re(s) = 1/2对称的,ξ(1) = ξ(0), ξ(2) = ξ(-1),依此类推。这个函数关系结合欧拉积公式表明,黎曼xi函数ξ(s)在0≤Re(s)≤1范围内只能有0点。黎曼函数的零点就是黎曼函数的非平凡零点。从某种意义上说,黎曼ζ函数ζ(s)的临界线R(s) = 1/2对应于黎曼函数ξ(s)的实线Im(s) = 0。
看看上面的两个图,你应该马上注意到这样一个事实,黎曼ζ函数ζ(s)的所有非平凡零的实部Re(s)等于1/2。黎曼在他的论文中简要地点出了这一现象,这一短暂的评论最终成为他最伟大的遗产之一。
黎曼ζ函数ζ(s)的非平凡零点有实部Re(s) = 1/2。
这是黎曼在他的著名论文中提出的未经证实的猜想的现代表述。也就是说,在0≤Re(s)≤1的临界带中,ζ为0,ζ(s) = 0的点都有实部Re(s) = 1/2。若为真,所有的非平凡零点均为ζ(1/2 +it)的形式。
一个等价的表述(黎曼的实际表述)是:黎xi 曼函数ξ(s)的所有根都是实的。
在下图中,Re(s) = 1/2是横轴。ζ(s)的实部Re(s)为红色图,虚部Im(s)为蓝色图。非平凡零点是水平线上红蓝图的交点。
如果黎曼假设成立,函数的所有非平凡零点将出现在这条线上,作为两个图之间的交点。
相信黎曼假设的理由
有很多理由相信关于ζ函数零点的黎曼假说的真实性。也许对数学家来说最令人信服的原因是它对质数分布的影响。假设的数值验证非常高,表明它是正确的。事实上,这个假设的数字证据足够强大,可以被认为是在其他领域如物理和化学的实验验证。
以黎曼假设的真理为出发点,黎曼开始研究其结果。他在论文中写道,
……很可能所有的根都是实数。当然,这里需要一个严格的证明,经过几次短暂而徒劳的尝试后,我暂时把对它的寻找放在一边,因为它对于我的下一个目标似乎是无关紧要的。
他的下一个目标是把 ζ函数的零点和质数联系起来。
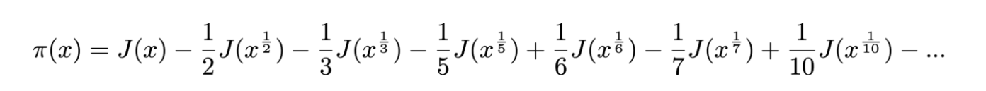
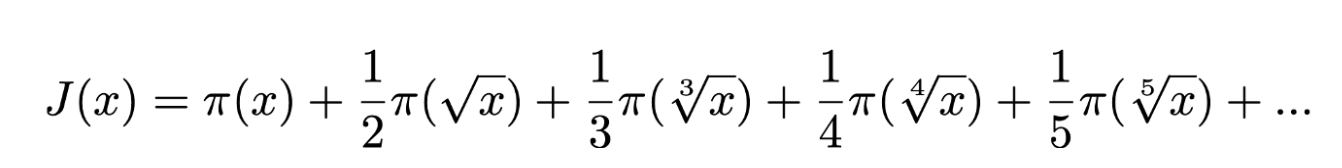
回想一下素数计数函数π(x),它表示在实数x以下的素数的个数。黎曼用π(x)定义了自己的素数计数函数,黎曼素数计数函数J(x),定义为:
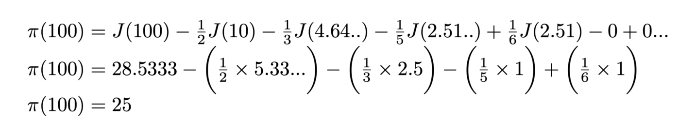
关于这个函数首先要注意的是它不是无限的。在某一项,计数函数将为零,因为x < 2没有质数。因此,以J(100)为例,函数将由7个项组成,因为8项将包含100的8个根,大约等于1.778279。所以这个质数计数项变成0,和变为J(100) = 28.5333....
与素数计数函数一样,黎曼素数计数函数J(x)是一个阶梯函数,当:
为了将J(x)的值与在x之前(包括x)有多少素数联系起来,我们通过一个称为莫比乌斯反演的过程恢复素数计数函数π(x)。结果表达式为:
请记住莫比乌斯函数的可能值是:
这意味着我们现在可以把质数计数函数写成黎曼质数计数函数的函数,得到:
这个新表达式仍然是一个有限和,因为当x < 2时J(x)是零,因为没有小于2的素数。
如果我们现在看一下J(100)的例子,我们得到了和:
也就是小于100的质数的个数。
翻译欧拉积公式
接着,黎曼以欧拉积公式为起点,用微积分推导出一种解析求质数的方法。从欧拉开始:
他先对两边取对数,然后把分母改写在括号里,得出关系式:
接下来,他使用著名的麦克劳林泰勒级数,展开右边的每一个对数项,创建一个无限和的无限和,每个质数级数的一项。
下面的表达:
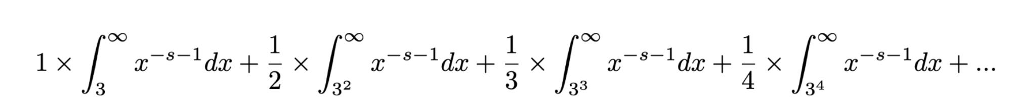
这一项和计算中的其他每一项都代表了J(x)函数下的部分面积。写成积分形式:
换句话说,利用欧拉积公式,黎曼证明了离散素数计数阶梯函数可以表示为积分的连续和。下面我们的例子项显示为黎曼素数计数函数图下的部分区域。
对于质数3,积分的无穷积是:
将所有这些无穷和集合成一个积分,黎曼素数计数函数J(x)下的积分可以简单地写成:
或者是更流行的形式:
黎曼将ζ函数ζ(s)与黎曼素数计数函数J(x)用微积分的语言写成等价于欧拉积公式的恒等式。
在得到欧拉积公式的解析版本后,黎曼接着阐述了他自己的素数定理。他给出的明确形式是:
这是黎曼的显式公式。它是质数定理的改进,更准确地估计在x以下有多少素数存在。
第一项,是对数积分Li(x),它是素数定理中素数计数函数π(x)的较好估计。它是迄今为止最大的一项,就像我们之前看到的,它高估了在给定值x之前有多少个质数。第二项,或“周期项”是对x的ρ次方的对数积分的和,对ρ求和,这是黎曼ζ函数的非平凡零点。第三个是常数-log(2) = -0.6993147…第四项,也就是最后一项是x < 2时的积分为0,因为没有小于2的质数。其最大值为2,其积分约等于0.1400101....当x变大时,后两项对函数值的贡献是无穷小的。大数的主要“贡献者”是对数积分函数和周期和。请看下面的图表:
在上面的图表中,我已经用黎曼素数计数函数J(x)的显式公式来近似质数计数函数π(x),并对黎曼ζ(s)的前35个非平凡零求和。我们看到周期项使函数“共振”,并开始接近素数计数函数π(x)的形状。
下面你可以看到相同的图表,使用了更多的非平凡零点。
使用黎曼的显式函数,我们可以非常精确地近似出素数的数目,直到并包括给定的数字x。事实上,冯·科赫在1901年证明,利用黎曼zeta函数的非平凡零点对对数积分函数进行误差修正,等同于素数定理中误差项的“最佳可能”界。
后记
1866年,黎曼(39岁)去世,自那以后,他的开创性论文一直是素数和解析数论领域的里程碑。直到今天,黎曼关于黎曼 ζ函数非平凡零点的假设仍然没有得到解决,尽管许多伟大的数学家进行了数百年的广泛研究。每年都有大量与该假说相关的新结果和猜想被发表,人们希望有一天能找到确凿的证据。
版权声明:我们致力于保护作者版权,注重分享,被刊用文章【证明数列发散(一文搞懂黎曼假设)】因无法核实真实出处,未能及时与作者取得联系,或有版权异议的,请联系管理员,我们会立即处理! 部分文章是来自自研大数据AI进行生成,内容摘自(百度百科,百度知道,头条百科,中国民法典,刑法,牛津词典,新华词典,汉语词典,国家院校,科普平台)等数据,内容仅供学习参考,不准确地方联系删除处理!;
工作时间:8:00-18:00
客服电话
电子邮件
beimuxi@protonmail.com
扫码二维码
获取最新动态
