为了研究n阶行列式的性质,我们先来讨论对换以及它与排列的奇偶性的关系。
在排列中,将任意两个元素对调,其余的元素不动,这种作出新排列的手续叫做对换,将相邻两个元素对换,叫做相邻对换。
定理 1 一个排列中的任意两个元素对换,排列改变奇偶性。
证 先证相邻对换的情形。
设排列为,对换与,变为。显然,这些元素的逆序数经过对换并不改变,而两元素的逆序数改变为:当时,经对换后的逆序数增加而的逆序数不变;当时,经对换后的逆序数不变而的逆序数减少。所以排列与排列的奇偶性不同。
再证一般对换的情形。
设排列为,把它作次相邻对换,调成,再做次相邻对换,调成,总之,经过次相邻对换,排列调成排列,所以这两个排列的奇偶性相反。
列如12345,变成14325。2和3对换1次,变成13245;4和2对换1次,变成13425;4和3对换1次,变成14325。共对换3次,逆序数由0变为3,奇偶性对换。
推论 奇排列调成标准排列的对换次数为奇数,偶排列调成标准排列的对换次数为偶数
证 由定理知对换的次数就是排列奇偶性的变化次数,而标准排列是偶排列(逆序数为0),因此知推论成立。 证毕。
利用定理,我们来讨论行列式定义的另一种表示法。
对于行列式的任一项
,
其中为自然排列,为排列的逆序数,对换元素与成
,
这时,这一项的值不变,而行标排列与列标排列同时作了一次相应的对换。设新的行标排列的逆序数为,则为奇数(由定理1得知);设新的列标排列的逆序数为,则(奇偶性对换)。故有,于是
这就表明,对换乘积中两元素的次序,从而行标排列和列标排列同时作出了相应的对换,则行标排列和列标排列的逆序数之和并不改变奇偶性。经一次对换是如此,经多次对换当然还是如此。于是,经过若干次对换。使:
列标排列(逆序数为)变为自然排列(逆序数为0);
行标排列则相应地从自然排列变为某个新的排列,设此排列为,其逆序数为,则有
,
又,若,则(即),可见排列由排列所唯一确定。
定理 2 n阶行列式也可定义为,其中为行标排列的逆序数。
证 按行列式定义有,
记。
按上面讨论知:对于中任一项,总有且仅有中的某一项与之对应并相等;反之,对于中的任一项,也总有且仅有中的某一项与之对应并相等,于是与中的项可以一一对应相等,从而。
矩阵和转置矩阵的关系对应行列式与的关系。
行列式的性质
记
行列式称为行列式的转置行列式。
性质 1 行列式与它的转置行列式相等。
证 记的转置行列式
即,按定义
。
而由定理 2 ,有
,故。
由此性质可知,行列式中的行与列具有同等的地位,行列式的性质凡是对行成立的对列也同样成立,反之亦然。
性质 2 互换行列式的两行(列),行列式变号
证 设行列式
是由行列式交换两行得到的,即当时,;当时,于是
其中为自然排列,为排列的逆序数。设排列的逆序数为,则,故
。 证毕
以表示行列式的第行,以表示第列。交换两行记作,交换
两列记作。
推论 如果行列式有两行(列)完全相同,则此行列式为零。
证 把这两行互换,有,故。
性质 3 行列式的某一行(列)中所有元素都乘以同一数,等于用数乘此行列式。
第行(或列)乘以,记作(或)。
推论 行列式中某一行(列)的所有元素的公因子可以提到行列式符号的外面。
第行(或列)提出公因子,记作(或)。
性质 4 行列式中如果有两行(列)元素成比例,则此行列式为零。
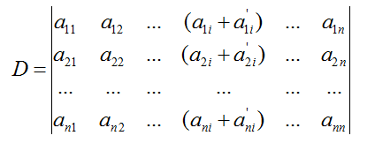
性质 5 行列式的某一列(行)的元素都是两数之和,例如第列的元素都是两数之和:
则等于下列两个行列式之和:
性质 6 把行列式的某一列(行)的各元素乘以同一数然后加到另一列(行)对应的元素上去,行列式不变。例如以数乘第列加第列上(记作),有
(以数乘第行加第行上(记作)。
版权声明:我们致力于保护作者版权,注重分享,被刊用文章【行列式性质证明(线性代数知识点摘抄)】因无法核实真实出处,未能及时与作者取得联系,或有版权异议的,请联系管理员,我们会立即处理! 部分文章是来自自研大数据AI进行生成,内容摘自(百度百科,百度知道,头条百科,中国民法典,刑法,牛津词典,新华词典,汉语词典,国家院校,科普平台)等数据,内容仅供学习参考,不准确地方联系删除处理!;
工作时间:8:00-18:00
客服电话
电子邮件
beimuxi@protonmail.com
扫码二维码
获取最新动态
