矩阵向量的乘积可以理解为将一个特定的线性变换作用在向量上, 本次我们先看几个特殊的矩阵下的变换以及矩阵矩阵的乘积.
即所有元素都是 0 的矩阵, 记为 O . 可以用下标来表示矩阵的大小:
零矩阵表示的变换是将空间压缩到原点, 可以观察在 2 阶零矩阵的作用下, 空间被压缩到原点的变化过程, 注意行列式的值最后为 0:
是对角元素为 1, 其余都是 0 , 记为 I.
单位矩阵对空间什么都不改变, 保持基向量不变, 也被称为"恒等变换", 可以看下面对应的空间变化过程(尽管没有改变):
除了对角元之外所有元素均为 0 的矩阵称之为对角矩阵.
对角矩阵表示的沿着坐标轴伸缩变换, 其中对角元素就是各轴伸缩的倍率, 并且下例矩阵 A 的对角元素中含有 2 个负数, 可以看做经过了 2 次镜像翻转, x,y 两个方向先是压缩, 然后再被拉伸, 面积扩大为原来的 6 倍, 这样行列式的值为 6.
上面都是进行一次变换的操作, 如果想要再进行一次(甚至更多)变换, 就要矩阵和矩阵相乘了. 譬如下面矩阵 A 相当于将空间旋转, 矩阵 B 是横向拉伸.
如果是 BA 两个矩阵相乘的运算, 就相当于先旋转再拉伸, 这样的复合变换运算顺序是从右往左进行, 可以观察下面的动画:
如果是 AB 两个矩阵相乘的运算, 就相当于先拉伸后旋转, 运算顺序是从右往左, 可以观察下面的动画:
从上面两个变换动画, 可以得出结论矩阵的乘积不满足交换律(可以想象满足结合律):
可以计算出 BA 和 AB 的值:
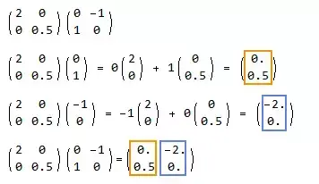
如何计算矩阵的乘积, 除了课本上给出的方法, 还可以按照列的线性表出来进行, 以 BA 为例:
另外, 如果两个矩阵都不是零矩阵, 但是矩阵的乘积可能会是零矩阵, 比如在下面两个矩阵:
空间中, A 做横向压缩, B 做垂直压缩, 经过 A 然后 B 的变换后, 也会映射到原点.
上面就是本次图解线性代数所回顾的知识点. 好了, 现在让我们在下一篇的中再见!
因为本人水平有限, 疏忽错误在所难免, 还请各位老师和朋友多提宝贵意见, 帮助我改进这个系列, 您的关注和转发就是鼓励我继续前行的最大动力, 感谢感谢!
版权声明:我们致力于保护作者版权,注重分享,被刊用文章【行列式乘法规则(矩阵的乘积)】因无法核实真实出处,未能及时与作者取得联系,或有版权异议的,请联系管理员,我们会立即处理! 部分文章是来自自研大数据AI进行生成,内容摘自(百度百科,百度知道,头条百科,中国民法典,刑法,牛津词典,新华词典,汉语词典,国家院校,科普平台)等数据,内容仅供学习参考,不准确地方联系删除处理!;
工作时间:8:00-18:00
客服电话
电子邮件
beimuxi@protonmail.com
扫码二维码
获取最新动态
