从阶乘的定义开始,我们可以在数学上证明:0!=1。在排列组合领域,通常给出的解释通常是,只有一种方法可以排列0个物体,或者数学家们发现了0!= 1而不是0!= 0更方便,更有用。
让我们先来看看什么是阶乘的定义。
一个非负整数n的阶乘,用n! 表示,是所有小于或等于n的正整数的积。
n!=(n)(n-1)(n-2)(n-3)…(3)(2)(1)这就得到了一个递归关系。
n!=n (n-1)!排列是一个集合中元素的唯一和特定的顺序。例如,包含三个元素的集合{a, b, c}有六种排列方式:
{a, b, c}, {a, c, b}, {b, c, a}, {b, a, c}, {c, b, a} 和 {c, a, b}。从上面我们可以看出,3!=6。事实上,一个有四个元素的集合有4!=24个排列方式,一个有五个元素{a,b,c,d,e}的集合有5!=120个排列方式。因此,思考阶乘的另一种方式是设n是一个自然数,n!就是一个有n个元素的集合的排列数量。
以类似的方式,一个有两个元素的集合{a,b},有2!=2个排列组合,即{a,b}和{b,a}。有一个元素{a}的集合,有1!=1种排列组合,因为它只能以一种方式排序。
一个不包含任何元素的集合被称为空集。对于一个零元素的集合,可以有多少种排序方式?
我们已经知道,1!=1,2!=2,3!=6,4!=24,5!=120,……。现在让我们从后向前看,如何从5!=120中得到4!=24,以此类推。可以清楚地看到:
5!/5=244!/4=63!/3=2!2!/2=1!因此,0!=1!/1。从理论上讲,当n为有理数时,应该能够算出n阶乘的值。例如,什(3/2)!是多少?
定义。设z是一个复数。伽马函数Γ(z)在ℜ(z)>0(半个复平面)中的定义为
这个积分在ℜ(z)>0时收敛。伽马函数的一个基本属性由以下命题给出:
上述命题的证明非常简单,可以用分部积分法完成。
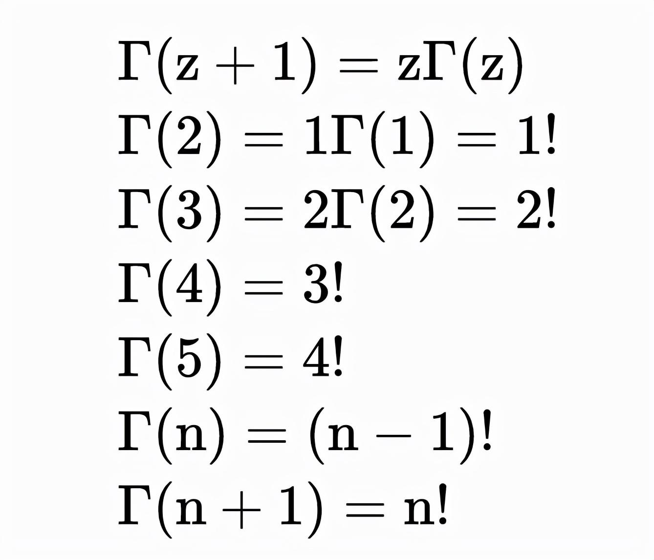
在1处对伽马函数进行求值,我们发现:
并使用上述命题,我们得到:
由此可见,对于所有正整数n:
伽马函数推广阶乘乘积的能力在数学的许多领域都有应用,例如,在组合学、概率论和幂级数的计算。
版权声明:我们致力于保护作者版权,注重分享,被刊用文章【证明函数收敛(数学揭秘)】因无法核实真实出处,未能及时与作者取得联系,或有版权异议的,请联系管理员,我们会立即处理! 部分文章是来自自研大数据AI进行生成,内容摘自(百度百科,百度知道,头条百科,中国民法典,刑法,牛津词典,新华词典,汉语词典,国家院校,科普平台)等数据,内容仅供学习参考,不准确地方联系删除处理!;
工作时间:8:00-18:00
客服电话
电子邮件
beimuxi@protonmail.com
扫码二维码
获取最新动态
