2020年高考本科一批次正在集中录取,截至19日,已有广东、河南、山西、黑龙江、陕西、北京、江苏、广西、内蒙古、宁夏等10省市一本/本科批投档分数线公布!整理相关信息,供考生及家长查看。
18日,本科院校普通文理类高分优先投档线上考生录取结束,共录取88487人,其中文科录取17082人,理科录取71405人,退档396人,退档人数较去年进一步减少,退档率为0.4%,比去年低0.1个百分点,退档原因主要是不服从专业调剂所致。
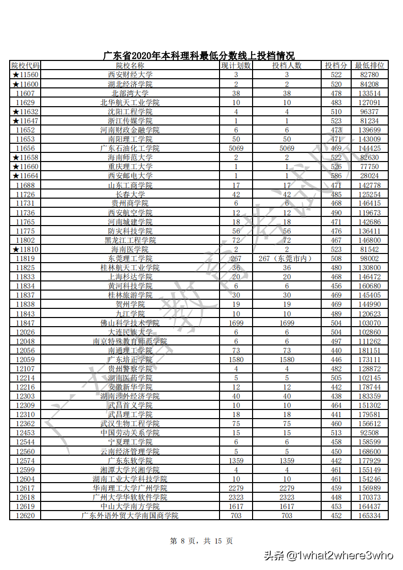
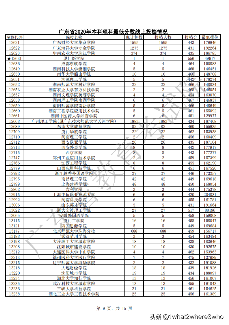
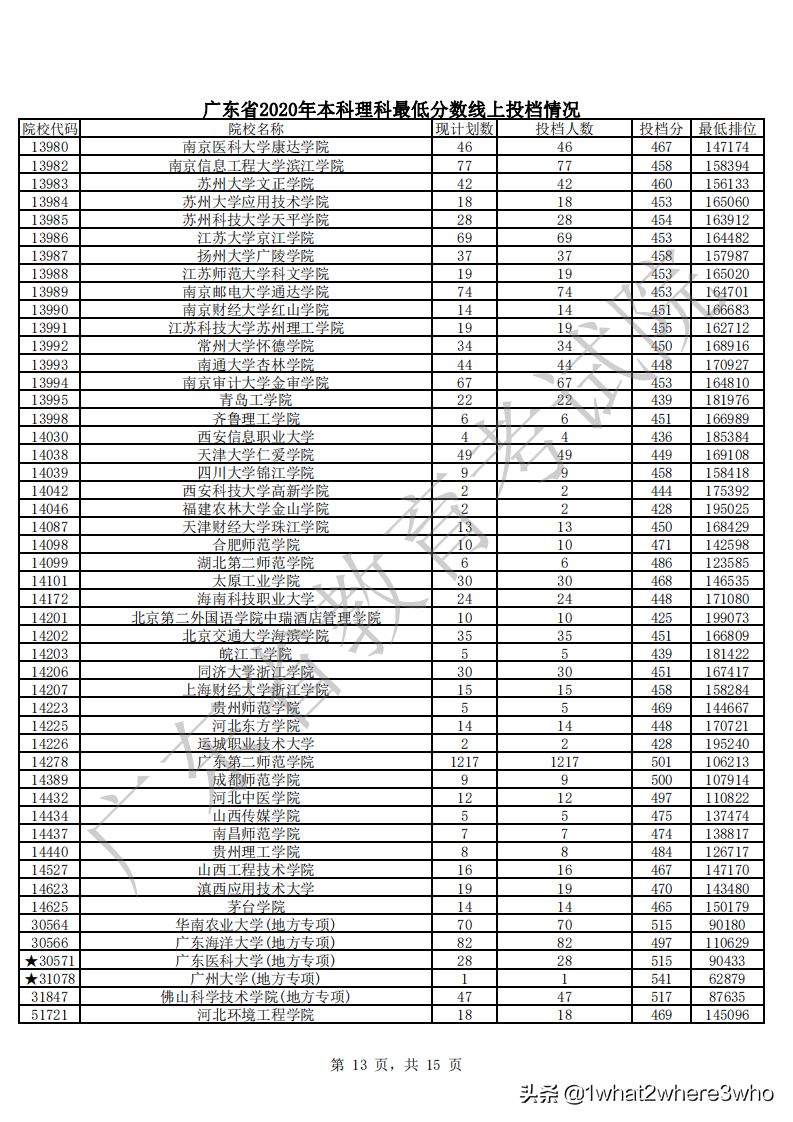
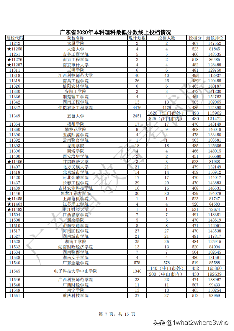
18日晚上,省招生办对本科院校普通文理类最低分数线上考生进行了投档,共投出169297人,其中文科投出63564人,理科投出105733人。
文科类
理科类
理科
文科
(文史类)
注:小数点后1-3位为语文成绩,4-6位为数学成绩,7-9位为综合成绩。小数点后1-3位为000者为上年录取后未报到考生,4-6位为语文成绩,7-9位为数学成绩。
(理工类)
注:小数点后1-3位为数学成绩,4-6位为语文成绩,7-9位为综合成绩。小数点后1-3位为000者为上年录取后未报到考生,4-6位为数学成绩,7-9位为语文成绩。
说明:理工类小数点后1-3位为数学成绩;4-6位为外语成绩;7-9位为理科综合成绩。
文史类小数点后1-3位为语文成绩;4-6位为外语成绩;7-9位为文科综合成绩。
(第一次模拟投档)
(理工类)
文史类
江苏省2020年高考本科一批投档线率先发布,江苏省2020年高考本科一批投档分数线(理科),供大家查询。
理科
江苏省2020年高考本科一批投档线率先发布,江苏省2020年高考本科一批投档分数线(文科),供大家查询。
文科
版权声明:我们致力于保护作者版权,注重分享,被刊用文章【2020年广东高考分数线(本科线)(重磅)】因无法核实真实出处,未能及时与作者取得联系,或有版权异议的,请联系管理员,我们会立即处理! 部分文章是来自自研大数据AI进行生成,内容摘自(百度百科,百度知道,头条百科,中国民法典,刑法,牛津词典,新华词典,汉语词典,国家院校,科普平台)等数据,内容仅供学习参考,不准确地方联系删除处理!;
工作时间:8:00-18:00
客服电话
电子邮件
beimuxi@protonmail.com
扫码二维码
获取最新动态
