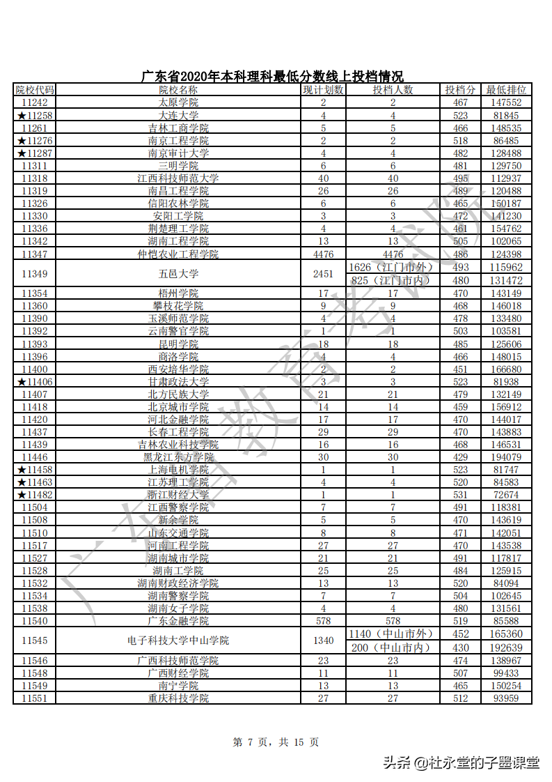
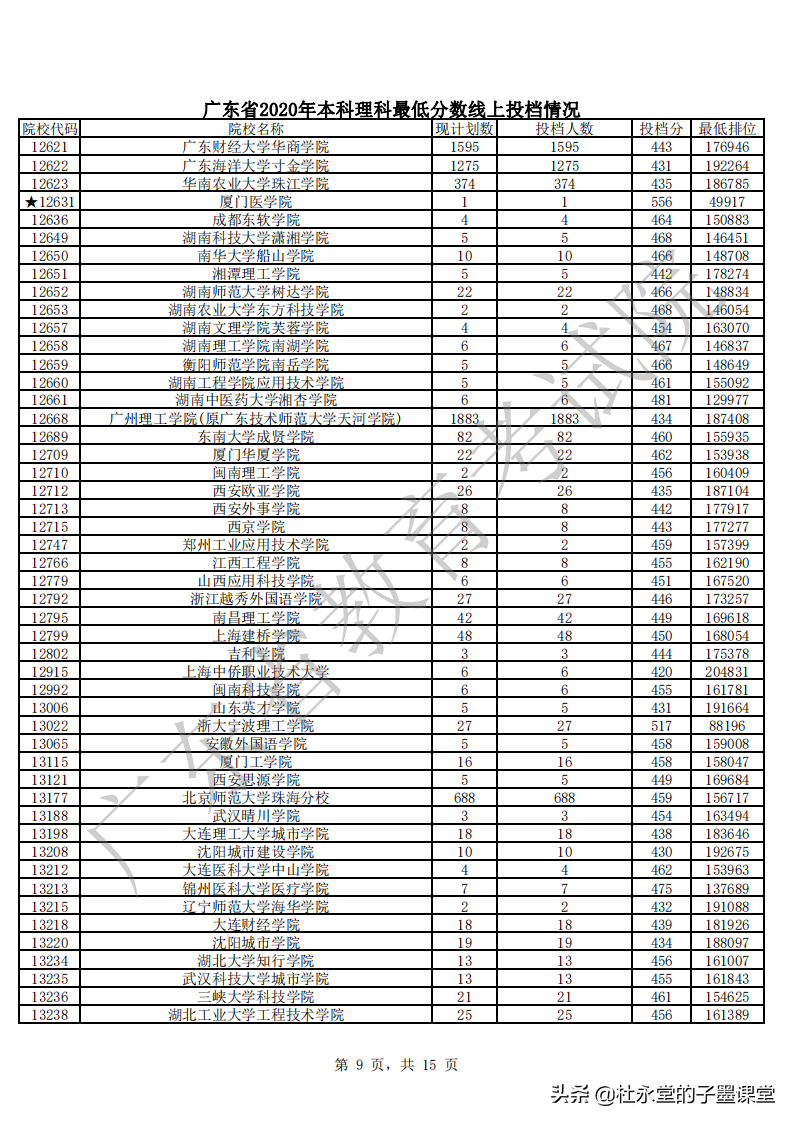
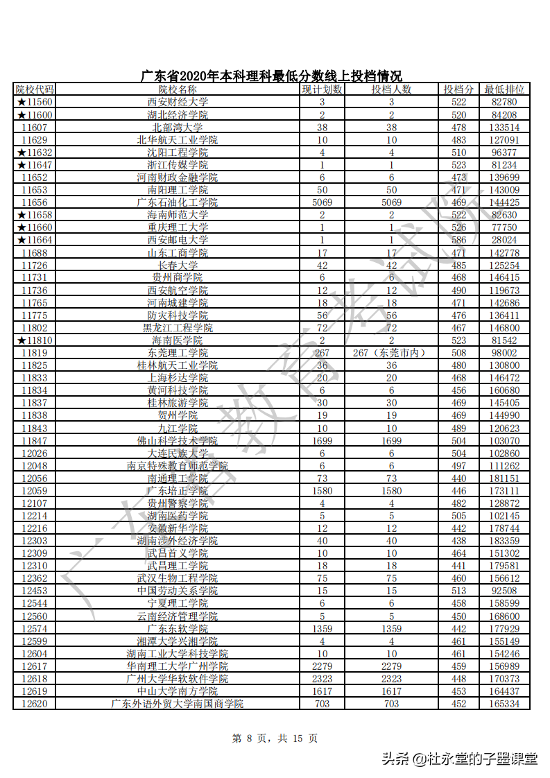
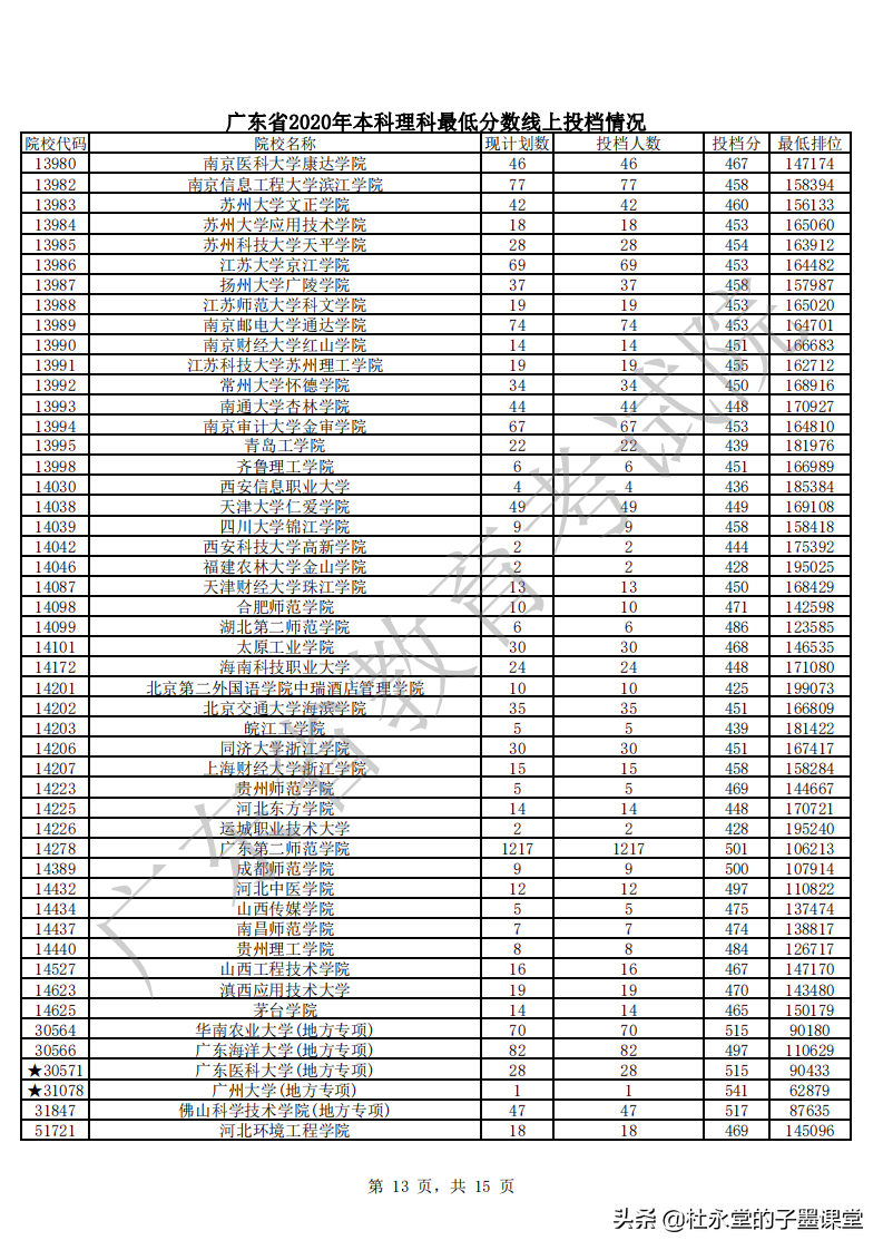
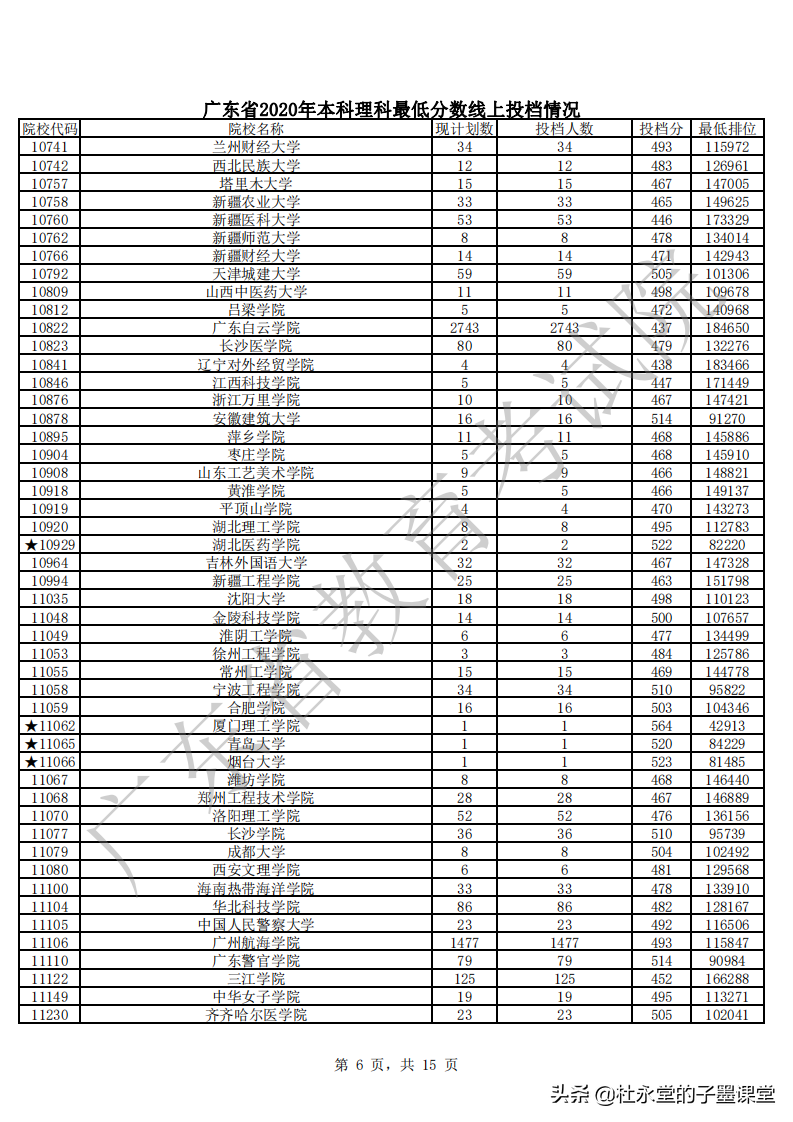
2020年8月18日,本科院校普通文理类高分优先投档线上考生录取结束,共录取88487人,其中文科录取17082人,理科录取71405人,退档396人,退档人数较去年进一步减少,退档率为0.4%,比去年低0.1个百分点,退档原因主要是不服从专业调剂所致。18日晚上,省招生办对本科院校普通文理类最低分数线上考生进行了投档,共投出169297人,其中文科投出63564人,理科投出105733人。从投档情况看,主要呈现以下三个特点:
一是绝大部分院校生源充足、满档率高。从投档情况看,除个别学校中外合作办学专业以及预科班、少数民族班等存在少量缺额外,其他都一次性满档。本科批次整体投档率(含高分优先投档线)理科为99.98%、文科为99.97%,均远高于去年。缺档院校和缺额计划也大幅减少,文科仅4所高校缺档,缺额计划9个;理科仅8所高校缺档,缺额计划34个。
二是公办高校继续受到考生“追捧”,投档线居高不下。今年公办高校几乎全部满档,并且投档线普遍较高。省内往年的“热门”院校,今年热度不减,投档线基本接近或超过高分优先投档线。如广东财经大学文科投档线为535分,广州中医药大学文、理科投档线分别为535分、539分,广东警官学院文、理科投档线分别为534分、514分,广州医科大学文、理科投档线分别为533分、539分,深圳技术大学文科投档线为532分。省外理工类、财经类、医学类、师范类等院校受考生欢迎,投档分普遍较高。
三是民办院校、独立学院进一步得到社会认可,生源质量不断提升。近年来,民办院校和独立学院的办学水平和教学质量不断提升,吸引了越来越多的考生填报,大部分院校投档线都比较高,特别是一些办学基础较好的独立学院远超本科最低投档线。
根据招生录取日程安排,本科批次院校录取将于21日结束,随后省招生办将对尚未完成招生计划的高校进行征集志愿录取。
广东省教育考试院
2020年8月18日
子墨高考1
子墨高考2
子墨高考3
子墨高考4
子墨高考5
子墨高考6
子墨高考7
子墨高考8
子墨高考9
子墨高考11
子墨高考12
子墨高考13
子墨高考14
子墨高考15
子墨高考16
子墨高考17
子墨高考18
子墨高考19
子墨高考20
子墨高考21
子墨高考22
子墨高考23
子墨高考24
子墨高考25
子墨高考26
子墨高考27
子墨高考28
@杜永堂的子墨课堂子墨老师带你遨游大学海洋!关注子墨老师,了解更多信息……
子墨老师
需要了解更多,请持续关注子墨老师……
文章素材来自网络,如有侵权请联系子墨老师立刻删除。
关注子墨老师,关注高考!
(需要详细了解,大学和专业。请私信子墨老师,带你遨游大学的知识海洋)
各位孩子,做好志愿填报工作哦!
七分考,三分报!务必在今天下午六点前确定高考志愿填报……
到了大学,继续加油努力学习!NB属于你自己……
需要详细了解,请私信子墨老师。带你遨游国内各所大学……
版权声明:我们致力于保护作者版权,注重分享,被刊用文章【2020年广东高考分数线(本科线)(2021广东高考本科线如何)】因无法核实真实出处,未能及时与作者取得联系,或有版权异议的,请联系管理员,我们会立即处理! 部分文章是来自自研大数据AI进行生成,内容摘自(百度百科,百度知道,头条百科,中国民法典,刑法,牛津词典,新华词典,汉语词典,国家院校,科普平台)等数据,内容仅供学习参考,不准确地方联系删除处理!;
工作时间:8:00-18:00
客服电话
电子邮件
beimuxi@protonmail.com
扫码二维码
获取最新动态
