解应用题时,用字母代表题中的未知数,使它和其他已知数同样参加列式、计算,从而求得未知数的解题方法,叫做代数法。代数法也就是列方程解应用题的方法。
学习用代数法解应用题,要以学过算术法解应用题为基础。我们知道用算术法解应用题时,未知数始终处于被追求的地位,除了要进行顺向思考,必要时还要进行逆向思考,所以有些应用题用算术法解答很困难,而用代数法解应用题,由于是用字母代表题中的未知数,因此只要把代表未知数的字母看作已知数来考虑问题,正确找出题中数量间的等量关系,就可以用代表未知数的字母和已知数共同组成一个等式(即方程),然后计算出未知数的值。这种解题思路直接、简单,可化难为易,特别是在解答比较复杂的应用题时用代数法就更容易。
小学生在开始学习用代数法解应用题时,可能不大习惯,会受到算术法解题思路的干扰,在解题过程中可能出现一些错误。为顺利地学好用代数法解应用题,应注意以下几个问题:
1.切实理解题意。通过读题,要明白题中讲的是什么意思,有哪些已知条件,未知条件是什么,已知条件与未知条件之间是什么关系。2.在切实理解题意的基础上,用字母代表题中(设)未知数。通常用字母x代表未知数,题目问什么就用x代表什么。小学数学教材中,求列方程解答的应用题绝大多数都是这样的。有些练习题在用代数法解答时,不能题中问什么都用x表示。x只表示题中另一个合适的未知数,这样才能顺利列出方程,求出所设的未知数。然后通过计算,求出题目要求的那个未知量。如果一道题要求两个或两个以上的未知数,这就要根据题目的具体情况,从思考容易、计算方便着眼,灵活选择一个用x表示,其他未知数用含有x的代数式表示。3.根据等量关系列方程。要根据应用题中数量之间的等量关系列出方程。列方程要同时符合三个条件:(1)等号两边的式子表示的意义相同;(2)等号两边数量的单位相同;(3)等号两边的数量相等。如果一道应用题的数量有几个相等的关系,并且每一个都可以作为列方程的依据,这时要选择最简便、最明确的等量关系列出方程。列方程时,如果未知数x只出现在等式的一端,要注意把含有未知数x的式子放在等式左边,这样解方程时比较方便。但不能在列方程时,只把表示未知数的一个字母x单独写在等号左端,因为这种列式的方法不是代数法,而仍然是算术法。4.解方程。解方程是根据四则运算中各部分数之间的关系进行推算。计算要有理有据,书写格式要正确。解出x的数值后,不必注单位名称。5.先检验,后写答案。求出x的值以后,不要忙于写出答案,而是要先把x的值代入原方程进行检验,检验方程左右两边的得数是不是相等。如果方程左右两边的得数相等,则未知数的值是原方程的解;如果方程左右两边的数值不相等,那么所求出的未知数的值就不是原方程的解。这时就要重新检查:未知数设得对不对?方程列得对不对?计算过程有没有问题?……一直到找出问题的根源。值得注意的是:即使求出的未知数的值是原方程的解,也应仔细考虑一下,得出的这个值是否符合题意,是否有道理。当证明最后得数确实正确后再写出答案。列方程解应用题的关键是找准等量关系,根据等量关系列出方程。找等量关系没有固定方法,考虑的角度不同,得出的等量关系式就不同。
(一)根据数量关系式找等量关系,列方程解题
例1:
一名工人每小时可以制作27个机器零件。要制作351个机器零件,要用多少小时?(适于五年级程度)
解:设制做351个机器零件,要用x小时。
根据“工作效率×时间=工作总量”这个数量关系,列方程得:
27x=351
x=351÷27
x=13
答:这名工人制作351个机器零件要用13个小时。
例2:
A、B两地相距510千米,甲、乙两车同时从A、B两地相向而行,6小时后相遇。已知甲车每小时行45千米,乙车每小时行多少千米?(适于五年级程度)
解:设乙车每小时行x千米。根据“部分数+部分数=总数”,列方程得:
45×6+6x=510
6x=510-45×6
6x=510-27O
6x=240
x=240÷6
x=40
答略。
(二)抓住关键词语找等量关系,列方程解题
例1:
长江的长度为6300千米,比京杭大运河(北京-杭州)全长的3倍还多918千米。求京杭大运河的全长是多少千米?(适于五年级程度)
解:
根据“长江的长度为6300千米,比京杭大运河全长的3倍还多918千米”,可找出长江的全长与京杭大运河全长的等量关系:京杭大运河全长×3+918=长江全长。
设京杭大运河全长为x千米,列方程得:
3x+918=6300
3x=6300-918
3x=5382
x=1794
答略。
例2:
9头蓝鲸的最长寿命之和比6只乌龟的最长寿命之和多114年。乌龟的最长寿命是116年。求蓝鲸的最长寿命是多少年?(适于五年级程度)
解:根据“9头蓝鲸的最长寿命之和比6只乌龟的最长寿命之和多114年”,可以看出9头蓝鲸寿命之和与6只乌龟寿命之和的等量关系是:
蓝鲸的最长寿命×9-114=116×6。
设蓝鲸的最长寿命是x年,列方程得:
9x-114=116×6
9x=116×6+114
9x=810
x=90
答略。
直接法
解应用题时,不用经过严密的逻辑推理,而是凭借已有的知识经验,迅速地解题,就是在运用直接法。
以直接法解题的思维过程是快速缩小问题所涉及的范围,接触事物的本质,打开解题的突破口。有些用一般方法解答要用四五步,甚至更多步计算才能求出结果的应用题,用直接法解答时,只用一两步计算就可以求出结果。
学习以直接法解题,可促进思维的灵活性、敏捷性和创造性。
(一)凭借数目的特点
数进行计算时,一般通过心算就能得出结果。
解应用题时,凭借这些数的这种特点,发现题目的本质,就可用简捷的方法解出复杂的问题。
一般解法:
6×3=18(天)
答略。
一般解法:
=1(千克)
所以瓶里原来有油:
例3:
某校买来一批图书,放在两个书橱中。放在第一个书橱中的书占这批书的60%。如果从第一个书橱中取出16本放入第二个书橱,则两个书橱中的书一样多。问学校买来的这批图书是多少本?(适于六年级程度)
一般解法:
16×2÷[60%-(1-60%)]
=32÷[60%-40%]
=32÷20%
=160(本)
直接法:16本的对应分率是60%-50%=10%。学校买来的这批图书是:
16÷10%=160(本)
答略。
(二)凭借量、率对应的关系
有些应用题,可凭借直接看出题中哪个数量与哪个分率(“分率”就是不带单位名称的分数,是表示它所对应的数量占单位1的几分之几。)是相对应的一对数,而用简捷的方法解答出来。
例1:
一项工程,由甲队单独做12天可以完成。甲队做3天后另有任务调走,余下的工程由乙队做15天才完成。乙队单独完成这项工程要用多少天?(适于六年级程度)
一般解法:
=20(天)
答略。
例2:
织布厂第一、二车间共同织了一批布。第一车间织的布比这批布的60%少400米,第二车间织了这批布的44%。求这批布的长度。(适于六年级程度)
一般解法:
400÷[60%-(1-44%)]
=400÷4%
=10000(米)
直接法:从“第一车间织的布比这批布的60%少400米,第二车间织了这批布的44%”可以看出,这批布的4%是400米。所以,这批布的长是:
400÷4%=10000(米)
答略。
例3:
某工厂一月份生产了一批零件。上旬生产了全部零件的30%,中
这个工厂一月份生产多少个零件?(适于六年级程度)
一般解法:
=8000(个)
%,下旬生产了50%。还可以看出下旬比中旬多生产30%,这30%正好是2400个。所以,一月份生产的零件个数是:
2400÷30%=8000(个)
答略。
(三)凭借份数的多少
有些应用题,可以凭借直接看出题中某个数量的一份或几份是多少,而用简捷的方法解答出来。
*例1:
某服装厂做同样大小的衣服,上午做了60件,下午做了90件,上午比下午少用布75米。一天用布多少米?(适于四年级程度)
一般解法:
75÷(90-60)×(90+60)
=75÷30×150
=375(米)
直接法:从上午比下午少做30件,“上午比下午少用布75米”可以看出,每做30件衣服要用布75米。因为上午做2个30件,下午做3个30件,所以一天用布米数是:
75×(2+3)=375(米)
答略。
一般解法:
=720(吨)
直接法:把总运输量平均分成3份,已运走2份,还剩下1份,剩下的吨数是:
1440÷2=720(吨)
答略。
一般解法:
综合算式:
所以公路的全长是:
答略。
(四)凭借倍数的多少
有些应用题,可凭借直接看出这一数量是另一数量的几倍或某个数量倍数的变化,而用简捷的方法解答。
例1:
同时开动3台功率相同的碾米机,4.5小时碾米4860千克。如果同时开动同样台数、同样规格的碾米机,9小时可以碾米多少千克?(适于四年级程度)
一般解法:
4860÷4.5÷3×9×3
=1080÷3×9×3
=360×9×3
=9720(千克)
直接法:因为碾米机是同时开动,并且效率相同、台数相同,9小时是4.5小时的2倍,所以9小时碾米的数量是4860千克的2倍。
4860×(9÷4.5)=9720(千克)
答略。
例2:
某车间原计划每天生产225个零件,24天完成任务。实际上只用了原计划时间的一半就完成了任务。实际比原计划每天多生产多少个零件?(适于四年级程度)
一般解法:
225×24÷(24÷2)-225
=5400÷12-225
=450-225
=225(个)
直接法:
零件总数未变,实际生产的天数缩小2倍,每天生产的零件个数是原计划每天生产个数的2倍,所以,实际每天比原计划多生产1倍,即225个。
答略。
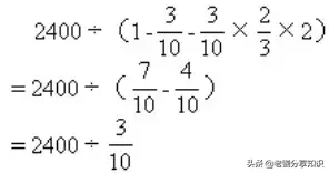
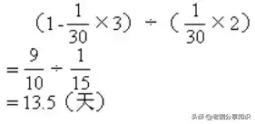
例3:
一项工程,原计划30天完成,做了3天后,效率提高到原计划的2倍。问还需要多少天才能完成这项工程?(适于六年级程度)
一般解法:设工作总量为1。
直接法:
因为做了3天后,剩下的工作量用原来的工作效率去做,还需30-3=27(天),现在工作效率提高到原来的2倍,时间就比原来少一半,所以,还需要的天数是:
(30-3)÷2=13.5(天)
答略。
版权声明:我们致力于保护作者版权,注重分享,被刊用文章【小学奥数网(小学奥数各年级经典题解题技巧大全)】因无法核实真实出处,未能及时与作者取得联系,或有版权异议的,请联系管理员,我们会立即处理! 部分文章是来自自研大数据AI进行生成,内容摘自(百度百科,百度知道,头条百科,中国民法典,刑法,牛津词典,新华词典,汉语词典,国家院校,科普平台)等数据,内容仅供学习参考,不准确地方联系删除处理!;
工作时间:8:00-18:00
客服电话
电子邮件
beimuxi@protonmail.com
扫码二维码
获取最新动态
