从8月开始,四川省2021年高考各类别的专科批已陆续开始录取。普通高等学校艺术体育类专科批已于8月5日晚投档录取。分数线已经公布。(各院校详细调档分数见下文)
各位考生生一定要注意高考录取以及征集志愿的时间,千万不要错过。


根据四川省教育考试院公布整理。红色部分为艺体类。蓝色部分为对口本、专科以及专科批的录取及征集。
当出现退档的情况的时候,要这样做:
①去四川省教育考试院查询缺额院校名单,分数,批次,专业等信息;
②记牢四川省教育考试院统一公布的填写征集志愿的网址和时间;
③官方网站填报。
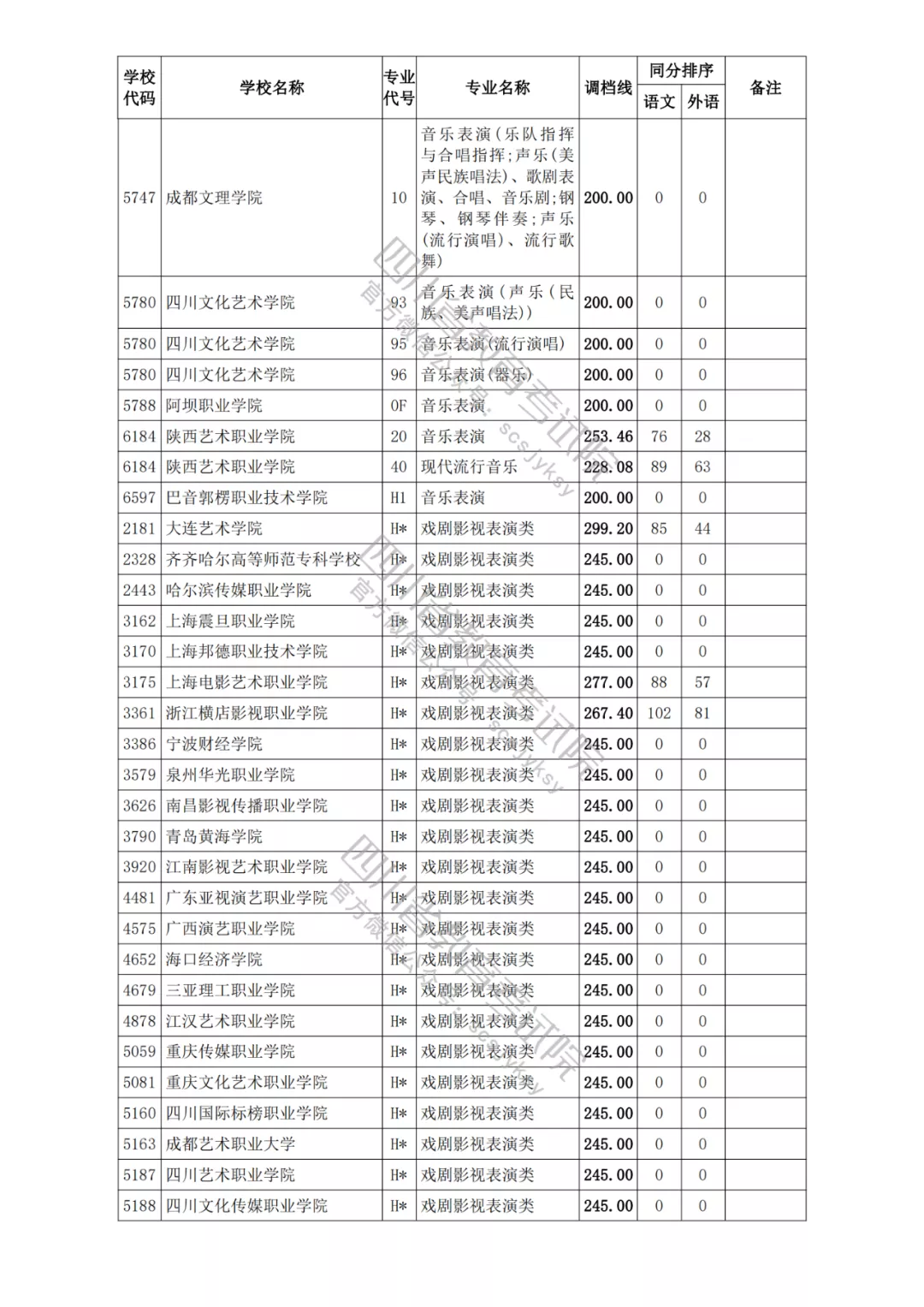
为方便广大考生和家长及时了解录取信息,省教育考试院按非编导类和编导类发布了艺体类分校、分专业类调档线。







来源:四川省教育考试院
版权声明:我们致力于保护作者版权,注重分享,被刊用文章【专科学校分数(四川2021年高考专科各批次正式开录)】因无法核实真实出处,未能及时与作者取得联系,或有版权异议的,请联系管理员,我们会立即处理! 部分文章是来自自研大数据AI进行生成,内容摘自(百度百科,百度知道,头条百科,中国民法典,刑法,牛津词典,新华词典,汉语词典,国家院校,科普平台)等数据,内容仅供学习参考,不准确地方联系删除处理!;
工作时间:8:00-18:00
客服电话
电子邮件
beimuxi@protonmail.com
扫码二维码
获取最新动态
