什么是视在功率、有功功率、无功功率,三者之间有什么关系?
还是有很多老铁搞不清楚,今天小编就直观详细的给大家讲解一下吧!
我们举个例子,一杯装满啤酒的杯子,里面的满杯的啤酒加泡沫相当于是视在功率,啤酒相当于是有功功率,泡沫相当于是无功功率。比如满杯的啤酒,杯子容量一定的情况下,泡沫越少,喝到的啤酒越多,而在供电系统中,喝到的啤酒越多,意味着同样的电量,做的功越多。如果我们想喝到更多的啤酒,要提高电力系统功率因数,增加有功功率,从而提高电能利用率,这其实也是电容无功补偿的作用。
又叫平均功率,交流电的瞬时功率不是一个恒定值,功率在一个周期内的平均值叫做有功功率,它是指在电路中电阻部分所消耗的功率,有功功率的符号用P表示,单位有瓦(W)、千瓦(kW)。有功功率与电压电流间的关系为:P=UICOSφ,COSφ是功率因素。在供电系统中,有功功率是保持用电设备正常运行所需的电功率,也就是将电能转换为其他形式能量的电功率。比如:5.5千瓦的电动机就是把5.5千瓦的电能转换为机械能,带动水泵抽水;各种照明设备是将电能转换为光能,供人们生活和工作照明。
在具有电感和电容的交流电路里,由于电感或电容的特性,造成电压和电流的相角不一致,这些元件在半周期的时间里把电源能量变成磁场(或电场)的能量存起来,在另半周期的时间里对已存的磁场(或电场)能量送还给电源,它们只是与电源进行能量交换,并没有真正消耗能量。比如说40瓦的日光灯。除了需要40瓦有功功率来发光之外,还需要80乏左右的无功功率镇流器的线圈建立交变磁场用,因为它并不对外做功,而被称为无功。总而言之,在交流电路中,电感或电容元件与电源之间只进行能量的交换,而不消耗能量,我们把这部分功率叫做无功功率,用字母Q表示,单位为乏(Var)、千乏(kVar),无功功率与电压电流间的关系为:Q=UISINφ。
在具有电阻和电抗的电路内,把电压与电流的乘积叫做视在功率,以字母S表示,单位为伏安(VA)、千伏安(kVA),视在功率与电压、电流之间的关系为:S=UI,一般通常以视在功率表示变压器等设备的容量。
视在功率与有功功率、无功功率可以用一个直角三角形来表示,两个直角边是有功功率和无功功率,斜边是视在功率。根据P=UICOSφ、Q=UISINφ和S=UI,COSφ=P/S,可知三种功率和功率因素是一个直角功率三角形的关系,视在功率S与有功功率P、无功功率Q的计算公式为:P²+Q²=S²
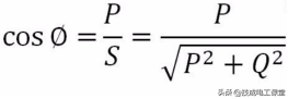
电网中的电力负荷如电动机、变压器等,属于既有电阻又有电感的电感性负载,电感性负载的电压和电流的相量间存在着一个相位差,通常用相位角的余弦COSφ来表示,COSφ称为功率因数,三相功率因数的计算公式为:
功率因数是反映电力用户用电设备合理使用状况、电能利用程度和用电管理水平的一项重要指标,比如说能否使视在功率100KVA的变压器输出100KW的有功功率,主要取决于负载的功率因素,这时无功补偿就体现其价值和意义了,我们可以用电容器补偿无功功率,可以增加电网中有功功率的比例常数,提高功率因素可以减少供电设备的设计容量、减少投资、增加电网中有功功率的输送比例,降低线损等等,这都是直接决定和影响着供电企业的经济效应的。
以上就是视在功率、有功功率、无功功率和功率因素之间的关系,你搞懂了吗?不懂的朋友就以一杯装满啤酒和泡沫的例子来理解,相信你就会容易理解一些了。
(技成培训网原创,作者:蔡慧荥,未经授权不得转载,违者必究)
转发是最大的鼓励!谢谢您的支持!
工控全套:含有西门子PLC系列(案例/编程软件/学习手册),三菱PLC系列(案例/编程软件/学习手册),电工必备书籍56本(案例/仿真软件/学习手册)!
版权声明:我们致力于保护作者版权,注重分享,被刊用文章【技成培训网(有功功率)】因无法核实真实出处,未能及时与作者取得联系,或有版权异议的,请联系管理员,我们会立即处理! 部分文章是来自自研大数据AI进行生成,内容摘自(百度百科,百度知道,头条百科,中国民法典,刑法,牛津词典,新华词典,汉语词典,国家院校,科普平台)等数据,内容仅供学习参考,不准确地方联系删除处理!;
工作时间:8:00-18:00
客服电话
电子邮件
beimuxi@protonmail.com
扫码二维码
获取最新动态
