今天一起来看一下湖南大学各专业报录比情况。

湖南大学(湖大),于1903年始建,坐落于湖南省长沙市,直属于中国教育部,是教育部、工业和信息化部、湖南省人民政府、国家国防科技工业局四方共建的全国重点大学,位列“双一流、211工程、985工程”。
该校入选2011计划、111计划、卓越法律人才教育培养计划、卓越工程师教育培养计划、国家建设高水平大学公派研究生项目、通用中国PACE教育推进伙伴计划,建有中国书院博物馆、国家超级计算长沙中心,是一所历史悠久、蜚声中外的综合类研究型大学,国际艺术、设计与媒体院校联盟和金砖国家网络大学等国际组织重要成员,AMBA国际认证成员。
学校设有研究生院和24个学院,学科专业涵盖哲学、经济学、法学、教育学、文学、历史学、理学、工学、管理学、医学、艺术学等11大门类。

拥有博士学位授权一级学科27个、博士专业学位授权1个、硕士学位授权一级学科36个、硕士专业学位授权20个、本科招生专业60个。
目前7个学科进入ESI排名前1%,其中工程学学科跻身前1‰,7个学科入选国防特色学科,化学、机械工程学科进入教育部“世界一流学科”建设行列。


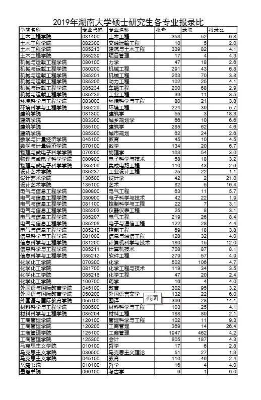
2019年


2018年



2017年


原文链接:
http://gra.hnu.edu.cn/zsxx/sjtj.htm
学费标准

调剂情况(2020考研)
所有全日制专业不接受调剂。
第一志愿合格生源不足的非全日制专业接受调剂,在满足教育部调剂相关政策基础上,考生需达到一志愿报考专业国家A类分数线且达到我校调剂专业分数线,具体调剂要求见各学院复试细则。
“少数民族高层次骨干计划”和“大学生士兵计划”均不接受调剂。
奖助政策
学校设立研究生学业奖学金、研究生助学金、国家奖学金,设置助教、助研、助管岗位,部分学院设有新生奖学金,支持硕士研究生完成学业。
硕士研究生学业奖学金分为三个等级,奖励标准为:一等学业奖学金1万元/人·年;二等学业奖学金0.5万元/人·年;三等学业奖学金0.3万元/人·年。
人事档案转入我校且无固定工资关系的全日制硕士研究生可申请学业奖学金,并同时享受国家助学金,金额为0.6万元/人·年。
复试情况
学校自行划定复试基本分数线,各学院根据招生计划、考试成绩和差额复试比例,确定本单位的复试分数线(不得低于学校公布的基本分数线),并以此确定复试考生名单。复试主要考查考生的创新能力、专业素养和综合素质等,内容包括专业课笔试、外国语听力口语测试、专业综合面试、思想政治素质和品德考核等,时间一般在2020年3月中下旬,复试办法将在复试前通过研究生院网站和各学院网站向考生公布。
宿舍情况
湖南大学宿舍分为南校(天马,德智,校区)北校(校内公寓,望麓桥)。
据说大多数是4人间,上床下桌,独立卫浴,有热水器(天马一区无),有空调(除北校望麓桥外)。
有公用洗衣机,楼下还有自动贩卖机。
刷卡进出宿舍,宿舍内可接路由器使用校园网。
校区
湖南大学目前有南北两个校区,南校区就是我们常说的岳麓山下的湖大,配套设施完善。北校区是以前的湖南财经学院,主要是财经类专业教学基地,相比南校区面积小很多,且周边没有娱乐场地设施。
湖南大学是一所没有围墙的学校,没有校门可以让你跨进来。
湖南大学作为“机械四小龙”成员之一,以土木工程最著名,与同济大学、清华大学并称为中国土木学科中的“三驾马车”。




整体来说,湖南大学的报考热度还是较高的,毕竟是一所偏理工科的985院校,整个理工科的实力都是很强的,像人文社科类专业报考热度还是较热的。大家在择校时还是要多方面考虑一下~
PS:机械四小龙是指原中华人民共和国机械工业部直属的吉林工业大学(现并入吉林大学)、湖南大学、燕山大学、合肥工业大学四所老牌机械强校。
(本文原创,未经许可,禁止转载)
版权声明:我们致力于保护作者版权,注重分享,被刊用文章【个人门户湖南大学(湖南大学)】因无法核实真实出处,未能及时与作者取得联系,或有版权异议的,请联系管理员,我们会立即处理! 部分文章是来自自研大数据AI进行生成,内容摘自(百度百科,百度知道,头条百科,中国民法典,刑法,牛津词典,新华词典,汉语词典,国家院校,科普平台)等数据,内容仅供学习参考,不准确地方联系删除处理!;
工作时间:8:00-18:00
客服电话
电子邮件
beimuxi@protonmail.com
扫码二维码
获取最新动态
