目前,佛山五区2021年义务教育民办学校报名情况及录取方式均已公布。今日(6月16日)下午,电脑随机摇号录取正式开始进行。下午13:00后,学生家长可查询学生的摇号码。
禅城区20所民办小学普通招生计划4472人,含区内招生计划4280人和区外招生计划192人,报名人数12348。其中,佛山市禅城区冠华小学报录比最高,该校普通招生计划16人,有619人报名,报录比超38:1。其次是禅城区东方番村小学,普通招生计划85人,有767人报名,报录比超9:1。
民办初中方面,今年禅城区有校内直升招生计划的民办初中共9所。其中, 禅城区东方河宕学校、禅城区新蕾塘头学校因报名校内直升人数多于招生计划数而需要进行电脑随机摇号录取,其他7所民办初中均直接录取。禅城区新蕾塘头学校校内直升招生计划数93名,报名人数142名;禅城区东方河宕学习校内直升招生计划数118,报名人数126名。
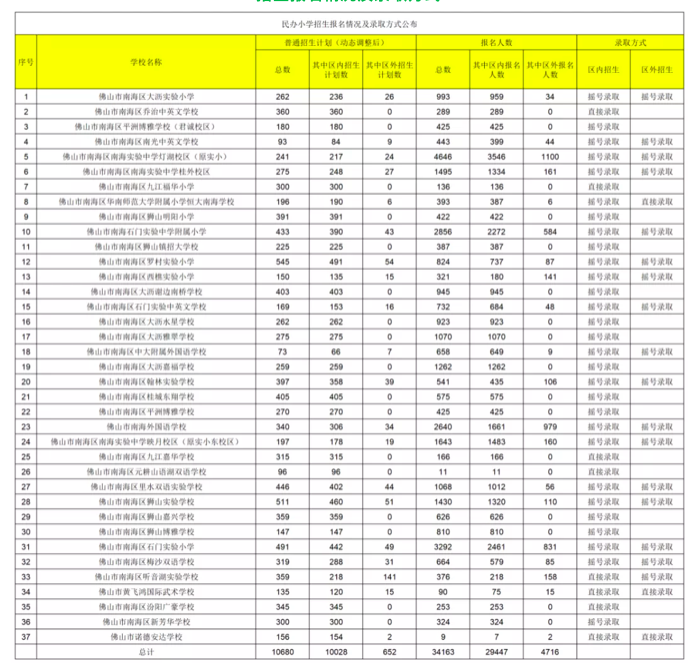
南都记者从报名数据了解到,南海区37所民办小学普通招生计划10680人,含区内招生计划10028人和区外招生计划652人,报名总人数34163人。其中南海区南海实验中学灯湖校区(原实小)报录比最高,该校普通招生计划241人,有4646人报名,报录比超19∶1。其次是佛山市南海外国语学校,该校普通招生计划340人,总报名人数为2640人,报录比超7.7∶1。
在民办初中方面,全区30所学校普通招生计划10559人,其中包括校内直升招生计划4023人、区内招生计划5746人及区外招生计划790人;报名总人数为28177人。根据报名情况,佛山市南海区南海实验中学报录比最高,该校普通招生计划866人,有5506人报名,报录比超6.35∶1。其次是佛山市南海石门实验中学,该校普通招生计划665人,有4214人报名,报录比超6.33∶1。佛山市南海区石门实验学校普通招生计划945人,总报名人数为5716人,报录比超6∶1。
校内直升是今年佛山小升初重要入学途径之一,全区校内直升计划数是4023人。其中,佛山市南海区石门实验学校、佛山市南海区实验中学、佛山市南海外语学校等14学校,校内直升计划数等于校内直升报名数,校内直升100%。
据顺德区教育局公布今年名校招生情况,今年,顺德区民办小学2021年总招生计划为5564人,其中区内招生5395人,区外招生169名,总报名人数为15461人,区内报名人数为15081人,区外报名人数为380人。值得关注的是,民办小学中,容桂实验学校、京师励耘实验学校小学部、德胜学校小学部等学校竞争激烈。其中容桂实验小学招生计划是133人,报名人数943人,这意味着7人争一学位。
另外,顺德民办初中2021年总招生计划为6303人,其中区内招生6101人,区外招生202人,区内报名人数达到14122。值得关注的是,有2027人为校内直升报名。其中,德胜学校初中部、京师励耘实验学校初中部等报名人数“扎堆”,报录比分别为7.9:1和6.7:1。
根据报名情况,三水区2所民办初中需要进行校内直升摇号录取,7所民办小学、8所民办初中需要进行区内普通招生(不含校内直升)摇号录取。
需要进行校内直升摇号录取的分别是三水区乐平镇海佳文武学校和三水区华鹏学校。其中乐平镇海佳文武学校校内直升招生计划数为50人,报名人数为65人;华鹏学校校内直升招生计划数为38人,报名人数为87人。
此外,西南中学今年首次进行小学一年级招生,共计划招生152人,报名人数1027人,摇号比接近7:1。
根据报名情况,高明5所民办小学2021年总招生计划为1552人,报名人数为1711。高明区沧江中学、德恒菁英学校参与招生摇号录取。
在民办初中方面,普通招生计划是1776人,有1957人报名。高明区沧江中学、德恒菁英学校、北大培文学校参与招生摇号录取。其中德恒菁英学校普通招生计划239人,有454人报名,报录比为1.89:1。
采写:南都记者 胡嘉仪
版权声明:我们致力于保护作者版权,注重分享,被刊用文章【高明民办学校(佛山五区民办学校招生摇号)】因无法核实真实出处,未能及时与作者取得联系,或有版权异议的,请联系管理员,我们会立即处理! 部分文章是来自自研大数据AI进行生成,内容摘自(百度百科,百度知道,头条百科,中国民法典,刑法,牛津词典,新华词典,汉语词典,国家院校,科普平台)等数据,内容仅供学习参考,不准确地方联系删除处理!;
工作时间:8:00-18:00
客服电话
电子邮件
beimuxi@protonmail.com
扫码二维码
获取最新动态
