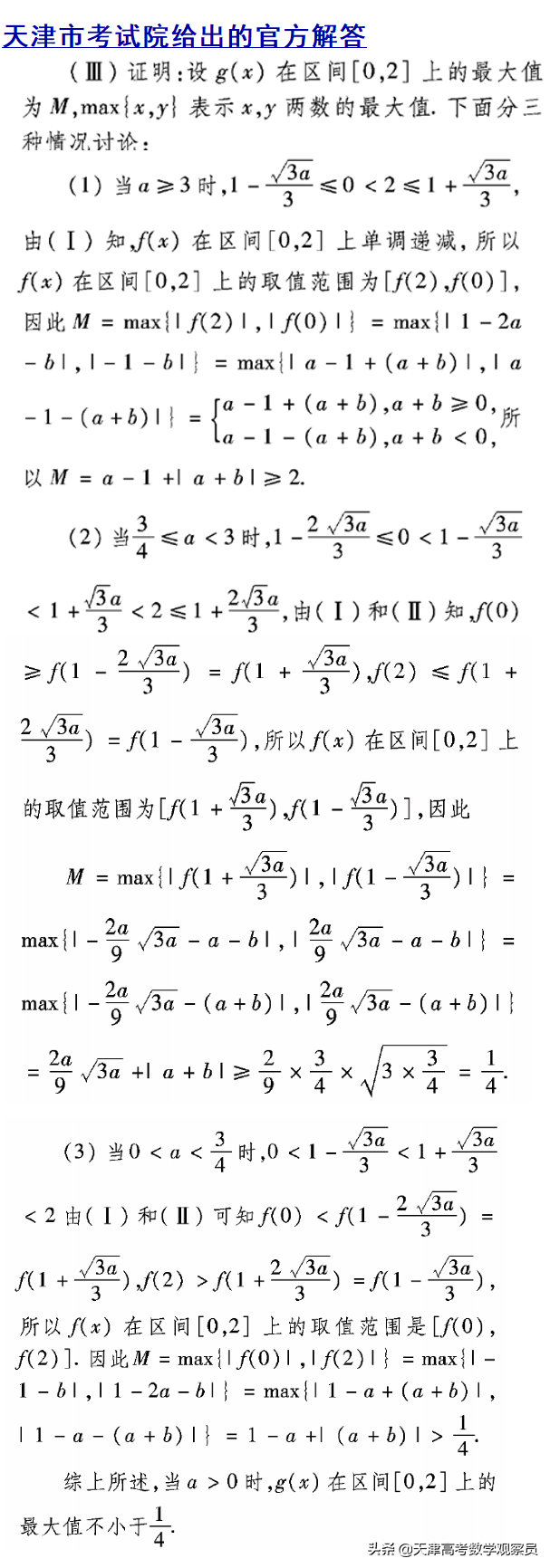
「2016天津卷(理)导数第三问」三种解法分析天津市高考数学压轴题
2020天津市高考热点专题复:
平面向量极化恒等式知识点与三类可用题型;【不建系的平面向量专题一】11例精讲平面向量的极化恒等式【2020天津高考数学热点】利用导数求解参数取值范围问题为主的选择题【备战2020天津市新高考】不可建系平面向量专题二:平面向量等和线定理【2016天津卷(理)导数第三问】田老师给出三种解法带你理解此题真正意图2020.5月天津市各区各名校数学模拟卷
【市内六区+部分区】2020届高三数学一模考试试卷+详解打包下载【高清打印】十二校联考(一)(5月21日)试卷+详解【高清打印】天津一中四月考(5月22日)试卷+详解【高清打印】大港一中2020届高三年级模拟考试(四月线下)数学试卷与解析【高清打印版】滨海新区2020届高三年级模拟考试(5月线下)数学试卷与解析【高清打印】滨海新区模拟考试(4月)试卷+详解【高清打印】河西区一模试卷+详解【高清打印】和平区一模试卷+详解【高清打印】河东区一模试卷+详解【高清打印】部分区一模试卷+详解【高清打印】新华中学四月统练试卷+详解版权声明:我们致力于保护作者版权,注重分享,被刊用文章【天津市2017数学高考(2016天津卷)】因无法核实真实出处,未能及时与作者取得联系,或有版权异议的,请联系管理员,我们会立即处理! 部分文章是来自自研大数据AI进行生成,内容摘自(百度百科,百度知道,头条百科,中国民法典,刑法,牛津词典,新华词典,汉语词典,国家院校,科普平台)等数据,内容仅供学习参考,不准确地方联系删除处理!;
工作时间:8:00-18:00
客服电话
电子邮件
beimuxi@protonmail.com
扫码二维码
获取最新动态
