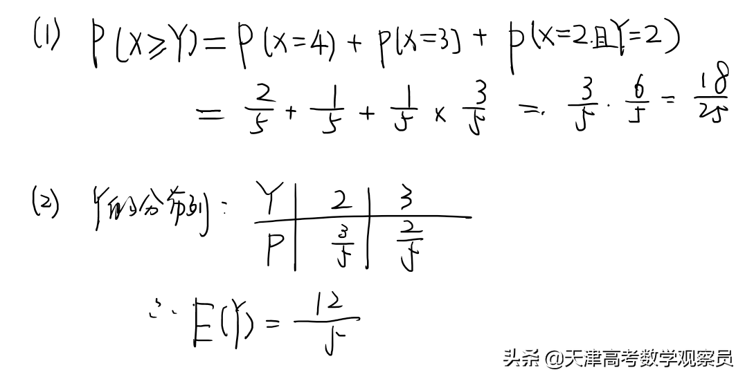
想不到吧,离散型随机变量分布列
还是语文小阅读?
五分钟,看看你能找出关键信息吗?
田老师分析与解
2020天津市高考热点专题复习:近期发布文章
点击头像即可查阅。也欢迎关注上图公号。
总纲领:天津市适应性考试数学试卷平面向量极化恒等式知识点与三类可用题型;【不建系的平面向量专题一】11例精讲平面向量的极化恒等式【2020天津高考数学热点】利用导数求解参数取值范围问题为主的选择题【备战2020天津市新高考】不可建系平面向量专题二:平面向量等和线定理【2016天津卷(理)导数第三问】田老师给出三种解法带你理解此题真正意图【天津市高考必考内容】空间几何体的体积表面积,外接球内切球专题复习|f(x)|型”函数不等式证明方法的探索(2016天津卷原型)天津高考数学理科卷真题 2019年天津卷导数压轴第三问 (三种解法)2017天津高考理科卷 导数压轴第三问的命题方法与解题突破 (多种解法)天津高考数学选择题:如何快速准确选出函数图像2020.6.2和平区二模考试试卷简评与关键问题分析版权声明:我们致力于保护作者版权,注重分享,被刊用文章【天津市2017数学高考(天津高考数学)】因无法核实真实出处,未能及时与作者取得联系,或有版权异议的,请联系管理员,我们会立即处理! 部分文章是来自自研大数据AI进行生成,内容摘自(百度百科,百度知道,头条百科,中国民法典,刑法,牛津词典,新华词典,汉语词典,国家院校,科普平台)等数据,内容仅供学习参考,不准确地方联系删除处理!;
工作时间:8:00-18:00
客服电话
电子邮件
beimuxi@protonmail.com
扫码二维码
获取最新动态
