本文内容来源于《测绘学报》2021年第1期,审图号GS(2021)17号。
GPS/BDS/Galileo三频精密单点定位模型及性能分析
周锋1
, 徐天河2
1. 山东科技大学测绘科学与工程学院, 山东 青岛 266590;
2. 山东大学空间科学研究院, 山东 威海 264209
基金项目:国家自然科学基金(41904027;41904011);中国博士后科学基金(2020M673669);大地测量与地球动力学国家重点实验室开放研究基金(SKLGED2020-3-2-E);山东省自然科学基金(ZR2019QD003)
摘要:在精细考虑伪距和载波相位硬件偏差时变特性的基础上,导出了更为严谨的非差非组合观测方程,并给出了非组合模式下两类GNSS偏差的数学表达形式。基于此,本文详细研究了3种常用的三频精密单点定位(PPP),即无电离层两两组合IF1213、单个无电离层组合IF123与非组合UC123函数模型的独立参数化方法,系统分析了3种PPP模型的相互关系以及GPS/BDS/Galileo三频静、动态PPP定位性能。结果表明,静态PPP收敛后定位精度水平方向优于1.0 cm,高程优于1.5 cm;动态PPP水平方向优于2.0 cm,高程优于5.0 cm;三频PPP的定位性能与双频PPP基本相当。
关键词:GPS/BDS/Galileo精密单点定位GNSS偏差三频观测值定位性能
Modeling and assessment of GPS/BDS/Galileo triple-frequency precise point positioning
引文格式:周锋, 徐天河. GPS/BDS/Galileo三频精密单点定位模型及性能分析[J]. 测绘学报,2021,50(1):61-70. DOI: 10.11947/j.AGCS.2021.20200146.
阅读全文:http://xb.sinomaps.com/article/2021/1001-1595/2021-1-61.htm
全文概述
精密单点定位(precise point positioning,PPP)是指利用外部提供的高精度卫星轨道和钟差产品,在综合考虑各项误差精确改正的基础上,采用合理的参数估计策略(如最小二乘或Kalman滤波等),利用单台GNSS接收机的载波相位和伪距观测值实现全球高精度绝对定位(一般可达分米至毫米级)的一项技术[1]。PPP技术自20世纪90年代被提出并实现后[2-3],经过将近30年的快速发展,基本理论和工程实践已日趋成熟,目前已广泛应用于广域精密定位、低轨卫星定轨、水汽反演与电离层监测、地震与海啸的监测和预警、时间传递等领域[4-7]。
得益于全球分布的大地型GNSS接收机,PPP技术自问世以来,大多采用双频PPP模型,已有学者从模糊度固定角度详细论述了不同双频PPP模型的相互关系[8]。随着美国GPS现代化、我国BDS和欧盟Galileo导航卫星系统的迅速建设,越来越多的导航卫星开始播发三频信号,三频PPP的研究和应用也越来越广泛与深入[9]。基于BDS三频观测值,文献[10-11]系统研究了3种BDS三频PPP观测模型及其定位性能,即基于B1/B2和B1/B3无电离层组合观测值、基于单个无电离层组合观测值及基于非差非组合观测值的三频PPP模型。文献[12]基于GPS三频观测值对比分析了不同三频PPP模型的定位性能。不同研究结果表明,三频PPP与双频PPP在收敛性能和定位精度等性能指标上基本相当。针对城市复杂环境下(如信号遮挡、衰减和多径频繁发生)的智能交通、自动驾驶等对高精度动态定位的需求,文献[13]充分利用三频多系统GNSS数据,提出单历元宽巷模糊度固定PPP方法,并与传统双频PPP和广域伪距增强精密定位方法进行对比分析。结果表明,在干扰因素多的城市复杂环境中,单历元宽巷模糊度固定PPP定位效果更好。可以看出,三频观测值的加入,不仅可以提升PPP模糊度固定效率,还将提升复杂场景下PPP定位的可用性及可靠性。
近年来,已有大量研究针对三频PPP模型与定位性能进行了广泛的验证与分析,但鲜有文献对三频PPP模型间进行系统性的研究与比较,而且对三频PPP模型中GNSS偏差的产生机制及数学表达缺乏深入探讨。从原始非差非组合观测方程出发,在精细考虑伪距和载波相位硬件偏差的基础上,本文详细地研究了3种常用的三频PPP函数模型的独立参数化方法,系统分析了3种PPP模型的相互关系,并给出了非组合模式下两类GNSS偏差(如接收机伪距频间偏差和载波相位频间卫星钟偏差)严格的数学表达形式。本文利用GPS/BDS/Galileo三频PPP算例,分析验证了理论的正确性及不同模型的定位性能。
1 三频PPP观测模型
本节给出三频PPP的观测模型,包括函数模型及其对应的随机模型。为简单起见,利用L1、L2和L3分别表示GPS L1、L2和L5频率,BDS B1、B2和B3频率及Galileo E1、E5a和E5b频率。具体见表 1。
表 1 GPS/BDS/Galileo卫星系统及其对应的频率
Tab. 1 Selected frequencies of GPS/BDS/Galileo
1.1 函数模型
从非差非组合GNSS原始观测方程出发,建立三频PPP函数模型,并对不同模型的异同点进行了细致研究。
1.1.1 原始观测方程
一般地,非差非组合GNSS伪距和载波相位观测方程可表示如下
(1)
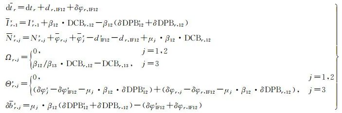
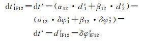
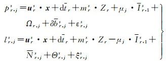
式中,s、r和j(j=1, 2, 3)分别代表卫星、接收机和载波频率号;Pr,js和Lr,js分别为伪距和载波相位观测值;ρrs表示卫星到接收机的几何距离;dtr和dts分别为接收机和卫星钟差;Trs为视线方向对流层斜延迟;Ir, 1s为第一频率上的电离层斜延迟;μj=f12/fj2为电离层放大因子,f为载波频率;Nr,js为载波相位模糊度;dr,j和djs分别表示接收机和卫星伪距硬件偏差,相应地,φr,j和φjs分别为接收机和卫星相位硬件偏差;εr,js和ξr,js分别为伪距和载波相位观测值对应的观测噪声和多路径效应等非建模综合误差。式中各变量的单位均为m。需要注意的是,式(1)中不包括卫星和接收机天线相位中心改正、相对论效应、潮汐负荷形变(固体潮、极潮和海潮)、萨奈克效应(Sagnac effect)、卫星天线相位缠绕(仅对载波观测值)等改正,这些已事先通过模型改正[14]。
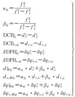
对于伪距和相位硬件偏差,通常认为伪距硬件偏差比较稳定,一天内变化较小[15-16]。而相位硬件偏差具有明显的时变特性,可将相位硬件偏差分解为常数部分和时变部分[17-18],即
(2)
式中,φr,j和φjs分别表示接收机和卫星相位硬件偏差常数部分,相应地,δφr,j和δφjs分别对应其时变部分。由于常数特性,可以认为φr,j和φjs完全被模糊度参数吸收,即Nr,js=Nr,js+φr,j+φjs。
为简便起见,定义以下变量
(3)
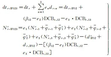
式中,fi和fj为不同的载波相位频率(i,j=1, 2, 3;i≠j);αij和βij为无电离层组合系数因子;DCBijs和DCBr,ij为卫星和接收机差分码偏差;δDPBijs和δDPBr,ij为卫星和接收机差分时变相位偏差;dIFijs和dr, IFij分别表示卫星和接收机伪距硬件偏差的无电离层组合;δφIFijs和δφr, IFij分别为卫星和接收机时变相位偏差的无电离层组合。
目前GNSS精密卫星钟差产品一般是基于L1/L2双频(如GPS L1/L2、BDS B1/B2与Galileo E1/E5a)无电离层组合伪距和载波观测值计算得到[19]。因此,精密卫星钟差包含了双频伪距硬件偏差与相位硬件偏差时变部分的线性组合,即
(4)
引入精密卫星轨道和钟差改正,将式(4)代入式(1)并线性化得
(5)
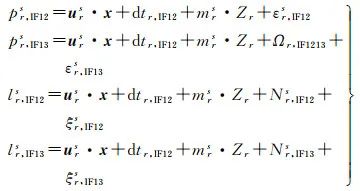
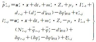
式中,
和lr,js分别表示伪距和载波相位观测值减去计算值(observed minus computed,OMC);urs表示接收机与卫星连线的方向余弦;x为三维坐标改正数;Zr为测站天顶对流层湿延迟;mrs为对应的湿投影函数。
式(5)中的伪距偏差项djs-dIF12s在不同频率伪距观测值上可以表达为差分码偏差DCB形式,PPP用户可选择改正或不改正此项。若从观测方程中改正此项,则
(6)
顾及式(6),则式(5)可进一步写为
(7)
式中
(8)
式中,dtr、Ir, 1s和Nr,js分别表示重新参数化后的接收机钟差、电离层延迟和载波相位模糊度参数;Ωr,j表示非组合观测量中接收机端伪距频间偏差(inter-frequency bias,IFB);Θr,js表示非组合观测量中频间钟偏差(inter-frequency clock bias,IFCB);δbr,js为未参数化的卫星和接收机相位硬件偏差时变部分的综合,将进入伪距观测值残差,相比伪距观测值噪声,δbr,js的量级相对较小,可忽略其影响。
可以看出,式(7)是更为严密的非差非组合函数模型,可作为单、双和三频甚至多频PPP模型的基本模型。在当前基于双频无电离层组合观测值的精密卫星钟差估计规则的前提下,单、双频PPP无需考虑Ωr,j和Θr,js,而三频PPP需改正掉Θr,js,此外还需将Ωr,j参数化。
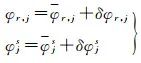
IFCB估计一般基于经典的无几何距离无电离层(geometry-free and ionospheric-free,GFIF)组合观测量计算得到[17, 20]。文献[21-22]论证了IFCB与卫星有关,而与接收机无关,并给出了将GFIF组合观测量估计的IFCB转化为非组合观测值下的IFCB的转换关系,即
(9)
式中,ΘGFIFs表示基于GFIF组合观测量估计的IFCB。
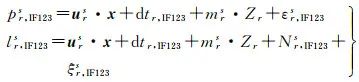
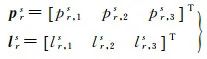
接着,在式(7)的基础上,建立3种常用的三频PPP函数模型。为简便起见,用IF1213-PPP、IF123-PPP和UC123-PPP分别表示基于L1/L2和L1/L3两个无电离层组合观测值、基于单个无电离层组合观测值及基于非差非组合观测值的三频PPP模型。首先给出三频伪距和载波相位OMC观测向量,即
(10)
1.1.2 IF1213-PPP模型
IF1213-PPP由两个不同的无电离层组合观测量得到,可表达为
(11)
式中,设计矩阵
。
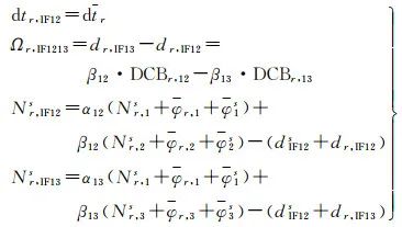
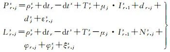
为使观测方程中接收机钟差参数保持一致,将式(11)展开并改写为
(12)
式中
(13)
式中,Ωr, IF1213为IF1213组合下的接收机IFB。
可以得出,IF1213-PPP的待估参数向量为
(14)
式中,
,n为可观测到的卫星数。
1.1.3 IF123-PPP模型
IF123-PPP利用三频观测值直接组成无电离层组合观测量,即
(15)
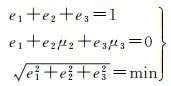
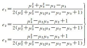
式中,设计矩阵AIF123=[e1e2e3],e1、e2和e3为线性组合系数,且满足以下关系式
(16)
式(16)采用了最小观测值噪声作为约束条件来唯一确定组合系数,其最优估值可通过解拉格朗日方程R(e1,e2,e3,κ1,κ2)=e12+e22+e32+κ1(e1+e2+e3-1)+κ2(e1+e2μ2+e3μ3)=min得到,首先获得R对于每一个估值的偏导数,使偏导数为0来获得组合系数,即
(17)
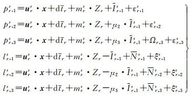
将式(15)展开,得
(18)
式中
(19)
相应地,IF123-PPP的待估参数向量为
(20)
式中,
。
1.1.4 UC123-PPP模型
UC123-PPP在不同频率观测值之间不作线性组合,而是直接利用原始伪距和载波观测值,即
(21)
式中,设计矩阵AUC123=diag(1, 1, 1)。其中,diag(•)表示对角阵。
结合式(7)和式(8),将式(21)进一步展开为
(22)
相应地,UC123-PPP的待估参数向量为
(23)
式中,
。
1.1.5 三频PPP模型间的联系
在观测方程层面,IF1213-PPP、IF123-PPP和UC123-PPP都是基于三频原始观测值的线性组合形成,设计矩阵(或线性组合系数阵)分别对应AIF1213、AIF123和AUC123。不同的是,前两者需对不同频率观测值进行线性组合以消除电离层延迟影响,而UC123-PPP在不同频率观测值之间无须做线性组合。
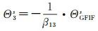
在待估参数层面,3个模型对应相同的位置参数和对流层湿延迟参数,而估计的载波相位模糊度各不相同;不同于IF123-PPP,IF1213-PPP和UC123-PPP估计相同的接收机钟差参数。此外,IF1213-PPP和UC123-PPP需分别估计一个接收机伪距IFB参数,且两者存在下述转换关系
(24)
1.2 随机模型
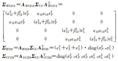
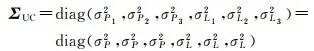
假设不同频率观测值之间相互独立,且不同频率伪距或载波相位观测值噪声相同,即满足σP1=σP2=σP3=σP和σL1=σL2=σL3=σL。非组合三频观测值对应的方差-协方差阵ΣUC可以表示为
(25)
式中,σP|L=a/sin(E),其中a为观测值噪声,对于载波观测值,一般经验地取为0.003 m;而对于伪距观测值,一般取0.3 m;E为卫星高度角。
根据误差传播定律,IF1213-PPP、IF123-PPP和UC123-PPP对应的方差-协方差阵为
(26)
式中,ΣIF1213、ΣIF123和ΣUC123分别为IF1213-PPP、IF123-PPP和UC123-PPP模型的观测值方差-协方差阵。
2 试验结果分析
2.1 数据介绍及处理策略
为验证GPS/BDS/Galileo三频PPP定位性能,选取均匀分布的25个MGEX测站于2019年7月的观测数据(采样间隔为30 s)进行数据处理,测站地理分布见图 1,测站所处经纬度、配备的接收机类型和天线类型信息见表 2。可以看出,所选测站的接收机类型有4种,分别是SEPT POLARX5、JAVAD TRE_3 DELTA、TRIMBLE ALLOY和TRIMBLE NETR9,其中配备TRIMBLE NETR9和SEPT POLARX5接收机的测站占比分别为56%和32%。此外,所选测站均具备跟踪GPS/BDS/Galileo三频信号的能力且满足每个历元跟踪到每个卫星系统的卫星数均大于或等于4颗。表 3给出了可以播发三频观测值的GPS、BDS和Galileo卫星情况,其中包括部分GPS卫星(12颗)以及全部的BDS(15颗)和Galileo卫星(24颗)。
图 1 选取的25个MGEX测站分布Fig. 1 Geographical distribution of the selected 25 MGEX tracking stations
图选项
表 2 所选MGEX测站基本信息
Tab. 2 Information of the selected MGEX tracking stations
表 3 具备三频信号播发能力的GPS/BDS/Galileo卫星情况
Tab. 3 Information of GPS/BDS/Galileo satellites tracking triple-frequency signals
本文GPS/BDS/Galileo三频PPP解算采用的卫星轨道和钟差产品由德国地学研究中心(GFZ)提供。试验采用静态和仿动态PPP两种解算模式,静态PPP解算的坐标参数为常数估计,而动态PPP的坐标参数为白噪声估计,本文的PPP解算均在开源GAMP软件[23]上完成。此外,接收机钟差参数为白噪声估计,而接收机IFB采用常数估计[10];以GPS对应的接收机钟差为参考,其他系统(如BDS和Galileo)估计的是该系统对应的接收机钟差与GPS对应的接收机钟差的差值,即系统间偏差(inter-system bias,ISB),采用白噪声估计[24]。对流层湿延迟采用随机游走过程估计,谱密度取
;对于UC123-PPP,电离层延迟参数为白噪声估计[10];载波相位模糊度不固定,保持浮点解状态,在连续弧段内为常数,在发生周跳时重新初始化。由于IGS尚未提供BDS和Galileo系统对应的接收机天线相位中心改正,因此利用GPS L1和L2频率的接收机相位中心改正代替BDS B1和B2与Galileo的E1和E5a频率的接收机相位中心改正数。利用GPS L2频率的接收机相位中心改正代替GPS L5、BDS B3和Galileo E5b频率的接收机相位中心改正。
当坐标的东(E)、北(N)、垂向(U)3个方向定位偏差均小于1 dm时,认为滤波收敛,选取滤波解稳定后(本文选定滤波开始2 h后)的定位偏差用于统计定位精度[25]。利用箱线图来描述定位精度的分布情况,其中上、下边缘线分别表示95%和5%分位数,矩形盒的上、下两端线分别表示75%和25%分位数,矩形盒内部线表示中位数,即50%分位数[26]。
2.2 静态PPP
算例给出5种GPS/BDS/Galileo静态PPP模型定位情况,选取了双频无电离层组合模型IF12-PPP与双频非组合模型UC12-PPP作为对比。图 2为测站KAT1和KIRI在年积日(day of year,DOY)182的静态定位误差曲线图。可以看出,在收敛阶段IF123-PPP表现相对其他模型稍差一些,这主要是由于具有三频观测值的GPS卫星较少(仅有12颗),而IF123-PPP模型对三频观测值完整性的要求更为苛刻,导致其参与数据解算的GPS观测值数量相比其他模型下降明显。以KAT1测站为例,IF123-PPP、IF1213-PPP和UC123-PPP解算用到的GPS平均卫星数分别为4.2、10.4和10.4。待滤波解充分收敛后,5种PPP模型定位误差曲线基本重合。
图 2 5种模型GPS/BDS/Galileo静态PPP定位误差(年积日182,2019)Fig. 2 Positioning errors derived from five GPS/BDS/Galileo static PPP solutions on DOY 182, 2019
图选项
图 3给出了所选25个测站一个月不同PPP模型静态定位模式下定位精度分布箱线图,表 4列出了其定位精度的中位数统计。从图中可以看出,相比双频PPP,三频观测值的加入对GPS/BDS/Galileo PPP定位精度提升不明显,三频PPP定位性能与双频PPP基本相当。从表 4可得,5种静态PPP模型收敛后的水平方向精度优于1.0 cm,高程方向优于1.5 cm。
图 3 5种模型GPS/BDS/Galileo静态PPP定位精度分布Fig. 3 Distribution of positioning accuracy among five GPS/BDS/Galileo PPP models in static mode
图选项
表 4 5种模型GPS/BDS/Galileo静态PPP静态定位精度统计
Tab. 4 Monthly median positioning accuracy of five GPS/BDS/Galileo PPP static models
由式(24)可以得出,IF1213-PPP和UC123-PPP估计的接收机IFB的转换系数为β13,对应GPS为-1.261、BDS为-1.944、Galileo为-1.422。图 4给出了DOY 182不同测站IF1213-PPP和UC123-PPP估计的接收机IFB间转换系数。从估计的IFB得到的转换系数与参考值的吻合程度来看,Galileo最好,BDS次之,而GPS最差,这是因为GPS三频观测值卫星为MEO卫星,每个测站实际观测到的三频GPS卫星相对BDS和Galileo要少。仍以DOY 182 KAT1测站为例,可观测到的具有三频观测值的GPS、BDS和Galileo平均卫星数分别为4.2、10.7和7.3,其中BDS大部分为GEO和IGSO卫星。此外,接收机IFB与伪距观测值有关,相比GPS和BDS,Galileo的伪距观测值质量更好[27]。
图 4 不同测站IF1213-PPP和UC123-PPP估计的接收机IFB间转换系数(DOY 182,2019)Fig. 4 Conversion coefficients of receiver IFBs derived from IF1213-PPP and UC123-PPP for different stations (DOY 182, 2019)
图选项
2.3 动态PPP
算例给出5种GPS/BDS/Galileo动态PPP模型定位情况。图 5为测站KAT1和KIRI在DOY 182的动态定位误差曲线图。与静态PPP相比,IF123-PPP动态定位误差与其他PPP模型差异较明显,可见动态PPP对可观测卫星数的变化更敏感。因此,对于三频PPP定位,若有GPS观测值加入时,不建议采用IF123-PPP模型。整体来看,除了IF123-PPP,其他4种PPP模型定位误差吻合较好。从图 6和表 5可以看出,三频IF1213-PPP、UC123-PPP与双频IF12-PPP、UC12-PPP的定位精度基本相当,而IF123-PPP定位精度稍差,整体上,5种动态PPP模型收敛后的水平精度优于2.0 cm,高程精度优于5.0 cm。
图 5 5种模型GPS/BDS/Galileo动态PPP定位误差(年积日182,2019)Fig. 5 Positioning errors derived from five GPS/BDS/Galileo kinematic PPP solutions on DOY 182, 2019
图选项
图 6 5种模型GPS/BDS/Galileo动态PPP定位精度分布图Fig. 6 Distribution of positioning accuracy among five GPS/BDS/Galileo PPP models in kinematic mode
图选项
表 5 不同GPS/BDS/Galileo PPP模型动态定位精度
Tab. 5 Monthly median positioning accuracy of different GPS/BDS/Galileo PPP kinematic models
此外,为了测试不同PPP模型的解算效率,图 7表示DOY 182不同测站不同PPP模型的解算时间(计算机为八核Intel Core i7-8550U处理器,CPU主频1.8 GHz)。很明显,基于非组合观测值的PPP模型具有更多的观测值与待估参数,因此其计算时间明显大于无电离层组合PPP模型。
图 7 不同PPP模型数据解算耗时对比(DOY 182,2019)Fig. 7 Computation time for different PPP processing (DOY 182, 2019)
图选项
3 结论
本文对三频PPP模型中出现的偏差项(如接收机IFB、载波相位IFCB等)进行了较为详细的分析和描述。在充分考虑伪距和载波相位硬件延迟的基础上,从公式推导的角度,详细讨论了3种三频PPP模型的独立参数化方法,并从观测方程和参数估计角度,论述了不同三频PPP模型的相互关系。试验分析了3种PPP模型的静态、动态定位精度,得出以下结论。
(1) 由于当前GPS卫星仅有12颗可播发三频信号,因此有GPS观测值参与的三频PPP解算,不建议采用IF123-PPP模型。
(2) 不考虑IF123-PPP模型,待滤波收敛后,双频、三频非组合PPP与相应的无电离层组合PPP定位精度基本相当。相比双频PPP,三频观测值的加入对PPP定位性能的提升不明显,三频PPP与双频PPP的定位精度基本相当。
(3) GPS/BDS/Galileo三频PPP,在静态定位模式下,收敛后水平方向精度优于1.0 cm,高程方向优于1.5 cm;而在动态定位模式下,收敛后水平精度优于2.0 cm,高程方向优于5.0 cm。
作者简介
第一作者简介:周锋(1985-), 男, 博士, 讲师, 研究方向为多源传感器(GNSS/INS/SLAM/LiDAR)融合导航定位。E-mail: zhouforme@163.com
通信作者:徐天河, E-mail: thxu@sdu.edu.cn
初审:张艳玲
复审:宋启凡
终审:金 君
往期推荐
资讯
○ 2022年国家自然基金标书撰写要点的全细节详述(推荐精读)
○ 招聘 | 自然资源部第二海洋研究所2022年招聘公告022人才推荐季 | 丰厚奖励,一“荐”到位!
○ 中国地理学会关于征集2022重大科学问题、工程技术难题和产业技术问题的通知
○ 2022年国自然各科学部重点项目优先资助领域
会议
○ Geoinformatics 2022 暨CPGIS成立30周年年会(二号通知)
○ 规划有形,智慧无境:国地云讲堂本周五正式开讲
○ 关于召开大地测量与导航2022年综合学术年会的通知(第一轮)
○ CHINTERGEO中国测绘地理信息技术装备展览会将于3月2日举
《测绘学报》
○ 测绘学报 |刘飞: 多传感器融合的高精度无缝定位模型与方法研究
○ 高被引论文 | 张永军:天空地多源遥感数据的广义摄影测量学
○ 高被引论文 | 刘巍, 吴志峰, 骆剑承, 等:深度学习支持下的丘陵山区耕地高分辨率遥感信息分区分层提取方法
○《测绘学报》2022年第1期目录
《测绘通报》
○ 地市级实景三维城市建设及应用
○ 面向上海城市数字化转型的新型测绘
○ 基于Sentinel-2影像的雄安新区土地利用分析
○《测绘通报》2021年第12期目录
《北京测绘》
○《北京测绘》2022年第1期摘要推荐
○《北京测绘》2021年第12期摘要推荐
○《北京测绘》2021年第11期摘要推荐
○《北京测绘》2021年第10期摘要推荐
《测绘科学技术学报》
○ 摘要 |《测绘科学技术学报》2021年第2期摘要推荐
○ 摘要 |《测绘科学技术学报》2021年第4期摘要推荐
○ 摘要 |《测绘科学技术学报》2021年第5期摘要推荐
○ 摘要 |《测绘科学技术学报》2021年第6期摘要推荐
《地球信息科学学报》
○ 《地球信息科学学报》2022年第1期佳文推介
○ 龚健雅院士:全球位置信息叠加协议与位置服务网技术研究进展与展望
○ 佳文推介 | 大数据城市通勤交通模型的构建与模拟应用
○ 专刊征稿:社会感知与地理大数据挖掘(征稿中)
《测绘工程》
○ 摘要 |《测绘工程》2021年第5期摘要推荐
○ 摘要 |《测绘工程》2021年第4期摘要推荐
○ 摘要 |《测绘工程》2021年第6期摘要推荐
○ 佳文推介 | 单目视觉技术在室内定位中的应用研究
《中国空间科学技术》
○ 火卫二地形地貌探测综述
○《中国空间科学技术》2022年第1期摘要
○《中国空间科学技术》2021年第6期摘要
○《中国空间科学技术》2021年第5期摘要推荐
《卫星应用》
《Journal of Geodesy and Geoinformation Science》
○《测绘学报(英文版)》专刊征稿 | 地图学与地球空间信息教育:理论与实践
○ 《测绘学报(英文版)》专刊征稿 | 用于三维地理信息的摄影测量和计算机视觉
○ Ting On CHAN et al. | 《测绘学报(英文版)》(JGGS)精选论文
○ Kexian WANG et al. | 《测绘学报(英文版)》(JGGS)精选论文
《Satellite Navigation》
○ 徐元博士:面向有色测量噪声下UWB/INS组合行人导航的分布式卡尔曼滤波| SANA佳文速递
○ 杨飞博士:GNSS天顶对流层精化模型的构建与分析| SANA佳文速递
○ 姚铮教授:北斗PPP服务信号调制复用方案设计与质量评估| SANA佳文速递
○ 2022征文| SatNav“普适定位、室内导航与基于位置服务”专题
《自然资源遥感》
○ 《自然资源遥感》入驻“智绘科服”融媒体平台!
○ 《自然资源遥感》征稿:“海岸带空间资源及生态健康遥感监测”专栏
○ 摘要 |《自然资源遥感》2021年第3期摘要推荐
○ 摘要 |《自然资源遥感》2021年第4期摘要推荐
《Journal of Geovisualization and Spatial Analysis》
○《Journal of Geovisualization and Spatial Analysis》入驻“智绘科服”融媒体平台!
○ JGSA国际期刊2021年第5卷第2期论文摘要
○ 高被引论文推荐 | Journal of Geovisualization and Spatial Analysis
版权声明:我们致力于保护作者版权,注重分享,被刊用文章【20i7高考卷作文(高被引论文)】因无法核实真实出处,未能及时与作者取得联系,或有版权异议的,请联系管理员,我们会立即处理! 部分文章是来自自研大数据AI进行生成,内容摘自(百度百科,百度知道,头条百科,中国民法典,刑法,牛津词典,新华词典,汉语词典,国家院校,科普平台)等数据,内容仅供学习参考,不准确地方联系删除处理!;
工作时间:8:00-18:00
客服电话
电子邮件
beimuxi@protonmail.com
扫码二维码
获取最新动态
