
2022年考研最新资讯!!
哪些变化左右着你此刻对于未来的选择
今天我们来看下
四川师范大学
130400美术学学硕
135107美术专硕
考研攻略

四川师范大学座落于四川省会成都市,创建于1946年,是四川省属重点大学、国家首批“中西部高校基础能力建设工程”实施高校及全国深化创新创业教育改革示范校,是四川省举办本科师范教育最早、师范类院校中办学历史最为悠久的大学。
校区分布:
狮子山校区(校本部)
成龙校区(主校区)
东校区
【学校综合实力】★★★★
美术学院·书法学院位于四川师范大学成龙校区,校园环境优美,学习氛围浓厚,2021年美术学、视觉传达设计两个专业获批国家级一流本科专业建设点。
学院研究生教育有美术学、学科教学•美术、艺术硕士(美术)、艺术硕士(艺术设计)4个专业领域,其中艺术硕士(艺术设计)专业下设环境设计、视觉传达设计、新媒体艺术设计3个方向。
130400美术学
(01)美术教育
(02)西南美术遗产
(03)绘画
学制3年,学费8000(生/年)。
135107美术专硕
(01)中国画
(02)油画
(03)版画
(04)水彩画
(05)书法
学制3年,学费20000(生/年)。
初试:

▲2021四川师范大学美术考研专业目录
四川师范大学130400美术学学硕考试科目:
①101 思想政治理论
②201 英语一
③643 综合美术理论
④843 速写
美术学院·书法学院135107美术专硕考试科目:
①101 思想政治理论
②204 英语二
③336 艺术基础
④843 速写(01、02、03、04考);
849书法理论(仅05考)
初试科目参考书:

美术学院·书法学院130400美术学学硕:
①《中国美术简史》,中央美术学院美术史系中国美术史教研室编写,中国青年出版社;
②《外国美术简史》(彩图增订版),中央美术学院人文学院美术史系外国美术史教研室编写,中国青年出版社;
③《美术概论》王宏建、袁宝林编著,高等教育出版社;
④《中国工艺美术史》田自秉著
美术学院·书法学院135107美术专硕方向:
①《艺术学原理》,王一川著,北京师范大学出版社,2015年版。
②《中国书法简史》,王镛,高等教育出版社,2004年第一版(《书法理论》考试科目使用)。
复试:
1、科目一
美术学院·书法学院130400美术学、135107美术专硕方向:
①专业面试
②造型基础
2、科目二
综合素质面试(现场问答思想政治、专业的相关知识);
3、科目三
外国语听力及口语测试。
复试科目参考书
与初试一样。
同等学力加试:
美术学院·书法学院130400美术学、135107美术专硕方向:①专业面试;
②造型基础;
跨专业均无需加试。
同等力学加试科目参考书
与初试一样。
成绩计算:
①初试总分500:总成绩=(初试总分÷5) ×70%+复试总分×30%;
②初试总分300:总成绩=(初试总分÷3) ×70%+复试总分×30%。
【考研难度等级】★★★★

影视与传媒学院于2015年9月28日正式成立,由原新闻与传播学院、数字媒体学院合并组建而成,学院有广播电视编导、数字媒体艺术、戏剧影视导演、网络与新媒体、广播电视学、播音与主持艺术、戏剧影视美术设计等7个本科专业,有全国首批戏剧与影视学一级学科硕士点,学院还招收戏剧、电影、广播电视、造型艺术研究4个方向的艺术硕士(mfa)专业学位研究生。这些专业基本涵盖了影视产业各个环节,为打通学科壁垒、进行全方位人才培养和全链条产业实践提供了优越条件。目前,戏剧与影视学作为四川省唯一的戏剧与影视学一级学科,是四川师范大学重点建设的两个学科之一。
135107美术专硕
(01)造型艺术研究
学制3年,学费20000(生/年)。
初试:

影视与传媒学院135107美术专硕考试科目:
①101 思想政治理论
②204 英语二
③336 艺术基础
④843 速写
初试科目参考书:
影视与传媒学院135107美术专硕方向:
①《艺术学原理》第2版,王一川著,北京师范大学出版社,2015年版。
复试:
1、科目一
影视与传媒学院135107美术专硕方向:
①专业面试
②速写
2、科目二
综合素质面试(现场问答思想政治、专业的相关知识);
3、科目三
外国语听力及口语测试。
复试科目参考书
与初试一样。
同等学力加试:
影视与传媒学院135107美术专硕方向无需加试。
跨专业均无需加试。
同等力学加试科目参考书
与初试一样。
成绩计算:
①初试总分500:总成绩=(初试总分÷5) ×70%+复试总分×30%;
②初试总分300:总成绩=(初试总分÷3) ×70%+复试总分×30%。
【考研难度等级】★★★★
复试分数线:
与国家线一致346分。
美术学院美术学学硕录取情况:

2021年美术学院·书法学院130400美术学录取9人,含1名推免。一志愿录取8人,一志愿初试最低分346,初试最高分376。美术教育录取7人,西南美术遗产录取1人初试成绩354分,绘画录取1人初试356分。

2020年美术学院·书法学院130400美术学录取8人,含1名推免。一志愿录取7人,一志愿初试最低分351,初试最高分413。美术教育录取4人,西南美术遗产录取3人,绘画录取1人初试401分。

2019年美术学院·书法学院130400美术学美术教育录取10人,一志愿初试最低分370,初试最高分409。录取4人。
美术学院美术专硕录取情况

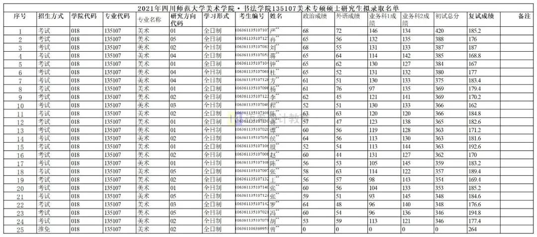
2021年美术学院·书法学院135107美术专硕录取25人,含1名推免。一志愿录取24人,一志愿初试最低分346,初试最高分420。
中国画录取8人,初试最高分420,初试最低分353。
油画方向录取8人,初试最高分387,初试最低分346分。
版画方向录取2人,初试为366分,348分。
水彩画方向录取3人,初试最高分385、初试最低分375分。
书法方向录取4人,初试最高分388分,初试最低分346分。

2020年美术学院·书法学院135107美术专硕录取15人,含2名推免。一志愿录取13人,一志愿初试最低分347,初试最高分410。
中国画录取7人,初试最高分406,初试最低分375。
油画方向录取3人,初试最高分367,初试最低分347。
版画方向录取1人,初试为349分。
水彩画方向录取2人,初试分别为410分、352分。
书法方向录取2人,初试分别为365分,356分。

2019年美术学院·书法学院135107美术专硕录取12人,一志愿初试最低分370,初试最高分432。
中国画录取6人,初试最高分432,初试最低分371。
油画方向录取4人,初试最高分394,初试最低分371。
版画方向录取1人,初试为370分。
水彩画方向录取1人,初试为385分。
影视与传媒学院美术专硕录取情况

2021年影视与传媒学院135107美术专硕录取11人,含1名士兵计划,2名推免。一志愿录取8人,一志愿初试最低分348,初试最高分404。

2020年影视与传媒学院135107美术专硕录取7人,一志愿初试最低分354,初试最高分403。

2019年影视与传媒学院135107美术专硕录取9人,一志愿初试最低分355,初试最高分397。
版权声明:我们致力于保护作者版权,注重分享,被刊用文章【四川师范大学研究生专业(2022考研)】因无法核实真实出处,未能及时与作者取得联系,或有版权异议的,请联系管理员,我们会立即处理! 部分文章是来自自研大数据AI进行生成,内容摘自(百度百科,百度知道,头条百科,中国民法典,刑法,牛津词典,新华词典,汉语词典,国家院校,科普平台)等数据,内容仅供学习参考,不准确地方联系删除处理!;
工作时间:8:00-18:00
客服电话
电子邮件
beimuxi@protonmail.com
扫码二维码
获取最新动态
