24日,黑龙江省2020年高考一分段统计表(不含照顾政策分)正式公布。据统计→
今年黑龙江省18.3万人参加高考,比去年增加5000人左右。
理工类一本线以上人数同比增加1970人 。
文史类一本线以上人数同比增加600余人。
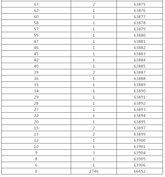
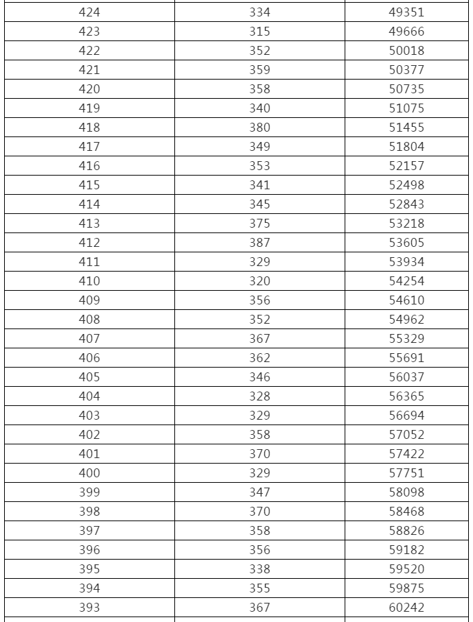
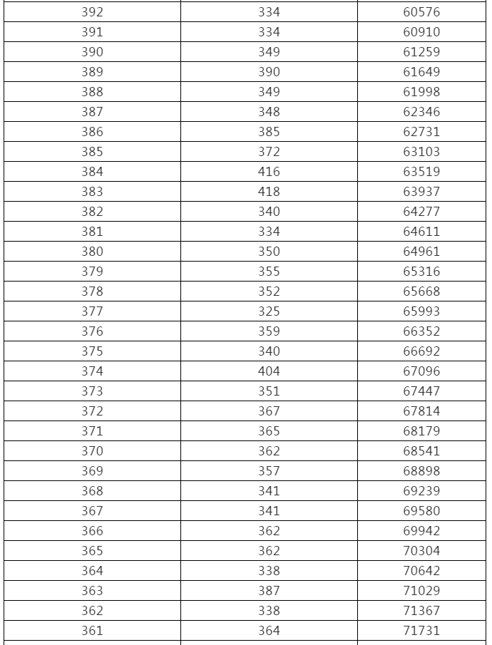
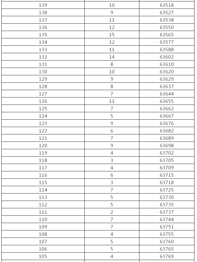
理·工·类
600分以上考生增加46人
记者查看统计表发现,我省理工类最高分为724分。710(含710分)以上考生12人;700分(含 700分)以上考生53人;600分以上(含600分)的高分考生6005人,比去年增加46人;455分( 含455分,即本科一批最低录取控制分数线)考生39172人,比去年本科一批最低录取控制分数线(477分)以上人数增加1970人。
301分以上(含301分,即本科二批最低录取控制分数线)考生90617人,比去年本科二批最低录取控制分数线(372分)以上人数增加18368人。
在600分以上区间内,610分段的考生最多,为140人。在455分至600分区间内,考生人数每分段最多的人数为324人(479分),最少的人数为113人(599分)。
文·史·类
过二本线人数增9000余人
我省文史类最高分为677分。656分以上(包含656分)10人;600分以上( 包含600分)550人,比去年增加99人。
483分以上(含483分,即全省文科本科一批最低录取控制分数线)8311人,比去年本科一批最低录取控制分数线(500分)增加600余人 ;356分以上(含356分,即全省文科本科二批最低录取控制分数线)考生28497人,比去年本科二批最低录取控制分数线(424分)增加9000 余人。
在600分以上区间内,608分段的考生最多,为28人。600分至483分区间内,考生人数每分段最多的人为133人(487分),最少的人数为19人(587分、585分)。
理科一分段
文科一分段
未经授权 禁止转载
版权声明:我们致力于保护作者版权,注重分享,被刊用文章【2017黑龙江高考一本线(来了)】因无法核实真实出处,未能及时与作者取得联系,或有版权异议的,请联系管理员,我们会立即处理! 部分文章是来自自研大数据AI进行生成,内容摘自(百度百科,百度知道,头条百科,中国民法典,刑法,牛津词典,新华词典,汉语词典,国家院校,科普平台)等数据,内容仅供学习参考,不准确地方联系删除处理!;
工作时间:8:00-18:00
客服电话
电子邮件
beimuxi@protonmail.com
扫码二维码
获取最新动态
