园丁考研魏老师 园丁考研

一、简介
西北师范大学前身为国立北平师范大学,发端于1902年建立的京师大学堂师范馆,1912年改为“国立北京高等师范学校”,1923年改为“国立北平师范大学”。1937年“七七”事变后,国立北平师范大学与同时西迁的国立北平大学、北洋工学院共同组成西北联合大学,国立北平师范大学整体改组为西北联合大学下设的教育学院,后改为师范学院。1939年西北联合大学师范学院独立设置,改称国立西北师范学院,1941年迁往兰州。抗日战争胜利后,国立西北师范学院继续在兰州办学。同时,恢复北平师范大学(现北京师范大学)。1958年划归甘肃省领导,改称甘肃师范大学。1981年复名为西北师范学院。1988年更名为西北师范大学。
西北师范大学教育学院现有1个国家级人文社会科学重点研究基地(西北少数民族教育发展研究中心),1个教育部基础教育课程研究中心。学院现有1个教育学博士后科研流动站,1个教育学博士学位授权一级学科,1个教育博士专业学位授权学科,1个硕士学位授权一级学科,7个硕士学位授权二级学科,12个专业硕士学位授权学科。1个国家重点培育学科(课程与教学论),1个省级重点学科(教育学),有1 个国家级教学团队(课程与教学论),3 个校级教学团队。教育学院英才聚集,具有雄厚的师资力量。学院现有教职工98名,其中专任教师84名。有博士生导师12人,硕士生导师46人;教授25人、副教授35人、讲师19人、助教5人。
二、招生情况




三、院校分析
1、招生方向。西北师范大学20年招收教育学原理、课程与教学论、教育史、比较教育学、学前教育学、高等教育学、特殊教育学7个教育学专业研究生。
2、考试方式。西北师范大学20年教育学专业学术型研究生考试专业课统考试卷,即311教育学专业基础综合。
3、招生人数。西北师范大学20年教育学研究生共招收75人。
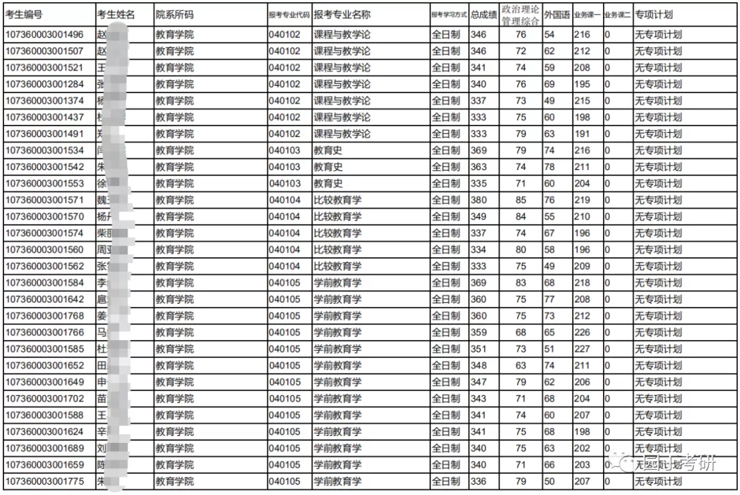
4、复试情况。西北师范大学20年复试分数线和复试名单为:





四、西北师范大学教育学考研特点
1、专业课采用统考试卷
2、招生专业多
西北师范大学20年教育学招收教育学原理、课程与教学论、教育史、比较教育学、学前教育学、高等教育学、特殊教育学7个教育学专业研究生。
3、统招人数较多
西北师范大学20年教育学拟统招75人。
4、同等学力考生无额外要求

五、院校推荐报考指数:★★★(三星级)
西北师范大学教育学在最新的学科水平评估中得分为B+,与陕西师范大学、湖南师范大学、山东师范大学相同。西北大学教育学专业总体实力不俗,但是被地理位置限制,报考热度不低,过线、上岸难度低,同时招生人数较多,西北地区的同学,如果冲击名校有压力,可以选择西北师范大学。
关注公众号园丁考研,掌握更多教育学考研信息
版权声明:我们致力于保护作者版权,注重分享,被刊用文章【西北师范大学教育学院(西北师范大学教育学考研分析)】因无法核实真实出处,未能及时与作者取得联系,或有版权异议的,请联系管理员,我们会立即处理! 部分文章是来自自研大数据AI进行生成,内容摘自(百度百科,百度知道,头条百科,中国民法典,刑法,牛津词典,新华词典,汉语词典,国家院校,科普平台)等数据,内容仅供学习参考,不准确地方联系删除处理!;
工作时间:8:00-18:00
客服电话
电子邮件
beimuxi@protonmail.com
扫码二维码
获取最新动态
