春意盎然 百花齐放
华师的春色总令人沉醉
各位等候已久的考生
今天,华中师范大学2022年
硕士研究生招生考试复试分数线
正式发布!
春光烂漫的桂子山
期待你的到来
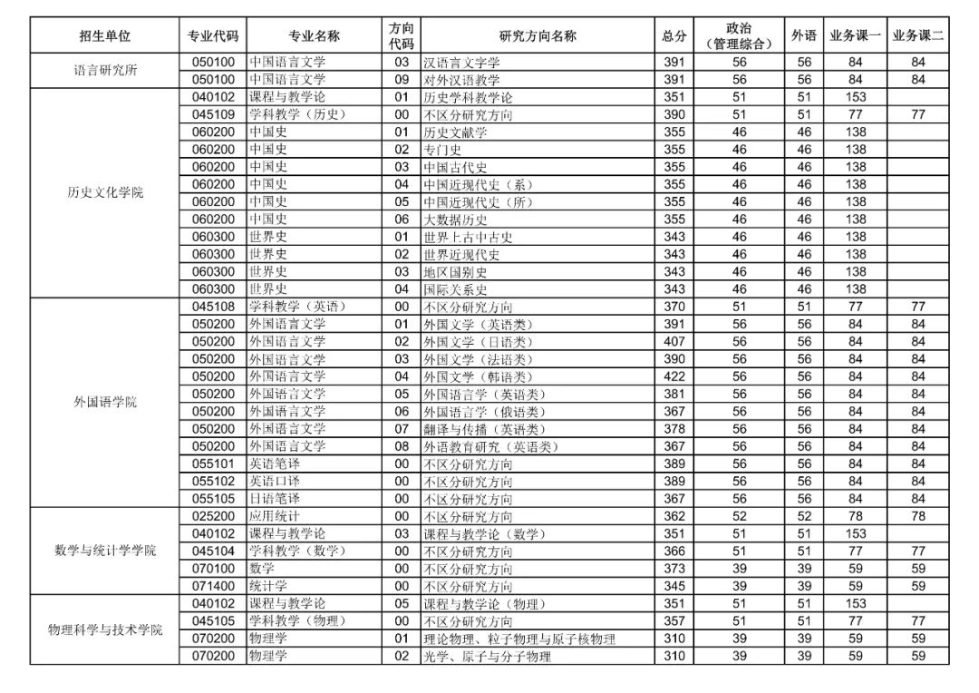
华中师范大学2022年硕士研究生入学考试
一志愿考生参加复试最低分数线
重要说明
1.我校复试工作采取网络远程方式,相关安排另行通知。
2.符合教育部相关规定且享受研究生招生加分政策后达到我校复试分数线的考生,请于3月21日前将相关证明材料发至我校研究生招生办公室邮箱(yjszb@mail.ccnu.edu.cn),经审核通过后准予参加复试。电子邮件的主题格式为:加分项目名称+考生编号+姓名。
3.达到我校“退役大学生士兵”专项计划复试分数线的考生,请于3月21日前将本人《入伍批准书》和《退出现役证》扫描件发至我校研究生招生办公室邮箱(yjszb@mail.ccnu.edu.cn),经审核通过后准予参加复试。电子邮件的主题格式为:“退伍大学生士兵”专项计划+考生编号+姓名。
4.复试考生名单将在各单位复试细则中公布。
各单位联系方式:http://gs.ccnu.edu.cn/yxyjsmslxfs.htm
华中师范大学研究生招生办公室
2022年3月18日
祝贺成功进入复试的同学
希望大家潜心准备复试
一战终成硕
九月,我们桂子山等你!
强烈推荐
2022 / 03
春日来信 · 征稿启事
CCNU
各位山民们,春天是心动的开始,或许你愿意参与小诗的春天嘛?或者把你的春天分享给小诗~
选择你最喜欢的创意方式,与我们共同完成2022年限定版“华师春日来信”
我们将为所有投稿者赠送“华师二十四节气笔记本”,最终获选作品将被制作成华师专属周边,并赠送给获选作者及幸运读者。
详情请戳↓↓↓
▼第一时间!两会精神华师这样学!▼
▷全体华师人:做好这件事,一起赏春光!
▷保研北大!她是徜徉在舞蹈世界的理科学霸
▷李祯:华师人的“世界时间”!
华中师大宣传部融媒体中心
编辑:华小诗
信息来源:华中师范大学研究生招生办公室
责任编辑:毛国樨
审校:钟文锐
投稿邮箱:huadaguanwei@163.com
点分享
版权声明:我们致力于保护作者版权,注重分享,被刊用文章【华南师范大学研究生分数线(重磅)】因无法核实真实出处,未能及时与作者取得联系,或有版权异议的,请联系管理员,我们会立即处理! 部分文章是来自自研大数据AI进行生成,内容摘自(百度百科,百度知道,头条百科,中国民法典,刑法,牛津词典,新华词典,汉语词典,国家院校,科普平台)等数据,内容仅供学习参考,不准确地方联系删除处理!;
工作时间:8:00-18:00
客服电话
电子邮件
beimuxi@protonmail.com
扫码二维码
获取最新动态
