温馨提示:需要电子版请点赞转发私信,我是雅礼中学数学肖老师,专注于高考数学的研究,有数学问题可关注@教育践行者@名校名师教育肖老师@雅礼名师学习法#教育爆款我来说##我要上头条##长沙头条#2022衡中同卷 新高考模拟试题5套
数学肖老师说
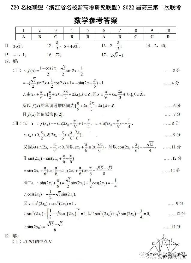
2022届Z20名校联盟2月高三第二次联考试卷#教育爆款我来说##长沙头条##我要上头条#
作者寄语:2022届Z20名校联盟2月高三第二次联考试卷
后台回复:0213,即可获取!









阅读 833
分享收藏
赞1在看2
版权声明:我们致力于保护作者版权,注重分享,被刊用文章【新高考联盟第二次联考(2022届Z20名校联盟2月高三第二次联考试卷)】因无法核实真实出处,未能及时与作者取得联系,或有版权异议的,请联系管理员,我们会立即处理! 部分文章是来自自研大数据AI进行生成,内容摘自(百度百科,百度知道,头条百科,中国民法典,刑法,牛津词典,新华词典,汉语词典,国家院校,科普平台)等数据,内容仅供学习参考,不准确地方联系删除处理!;
工作时间:8:00-18:00
客服电话
电子邮件
beimuxi@protonmail.com
扫码二维码
获取最新动态
