王建伟,许康华竞赛优学(许兴华数学/选编)
《挑战压轴题·高考数学——强化训练篇》,尹德好, 卜照泽主编,华东师范大学出版社,2017。这本书是以练习题的方式呈现,配套详细的解答,供高三备考学生检测练习之用。本书根据压轴题涉及的知识点内容,设置了五个部分共22个单元训练,每个单元配一定量的习题,且主要包括高考真题、模拟题及创新题。通过对历年习题的强化训练,从而让学生在高考的考场上得心应手。
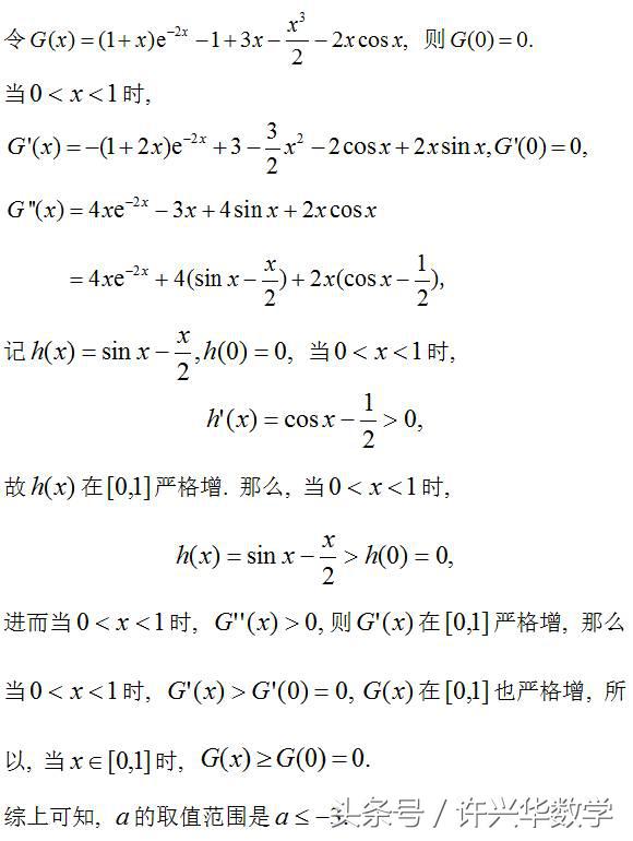
下面的文章由安徽赵忠华老师根据王建伟教授的手稿录入。
(许兴华数学)
版权声明:我们致力于保护作者版权,注重分享,被刊用文章【辽宁高考2017理综(一道2013年辽宁省高考理科数学压轴题的另外解决方法)】因无法核实真实出处,未能及时与作者取得联系,或有版权异议的,请联系管理员,我们会立即处理! 部分文章是来自自研大数据AI进行生成,内容摘自(百度百科,百度知道,头条百科,中国民法典,刑法,牛津词典,新华词典,汉语词典,国家院校,科普平台)等数据,内容仅供学习参考,不准确地方联系删除处理!;
工作时间:8:00-18:00
客服电话
电子邮件
beimuxi@protonmail.com
扫码二维码
获取最新动态
