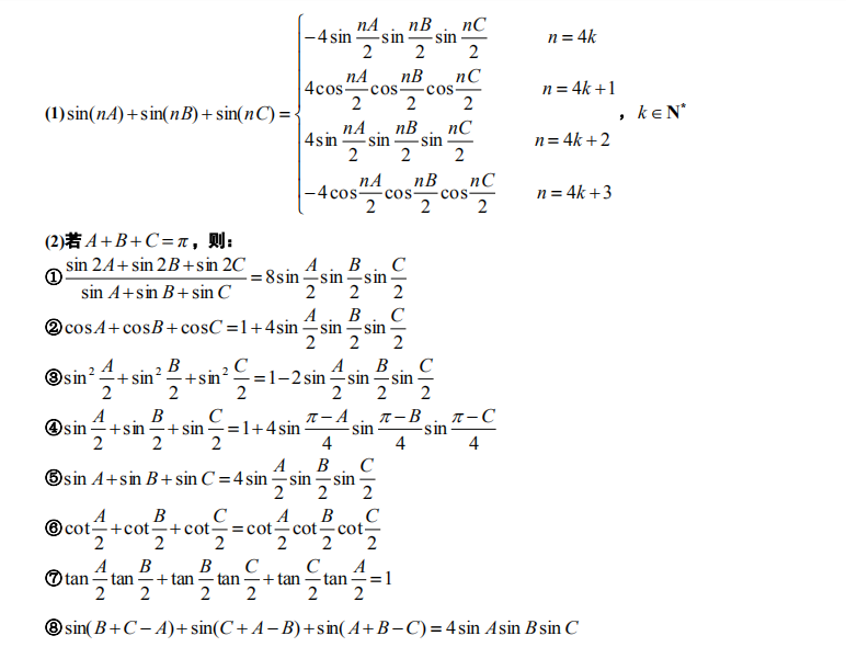
大家都知道,高考是对解题速度是有一定要求的,很多同学由于考试时对方法的选择,或者本身计算能力不足,导致考试来不及。但是有一些常见的二级结论在同学们熟练掌握后,对选择和填空题会有很大的帮助,会提高同学的解题速度和准确率。
今天给大家分享的是高中常见的二级结论总结,帮助同学们在考试上提高做题速度,节约答题时间。同学们赶紧看起来!家有高中生的家长也可以转发给孩子。(小猴子不主张过分依赖二级结论,虽然二级结论可以秒杀题型,但是学习还是要稳扎稳打,这样才是如虎添翼)
因为篇幅有限,点击我的头像私信我回复“数学”就可以免费领取word电子版。以下是部分资料内容,完整高清版的发送私信即可。更多资料持续更新,敬请关注。
篇幅有限,仅为部分资料,文末可免费领取电子版
版权声明:我们致力于保护作者版权,注重分享,被刊用文章【2017高考数学国二(记住这些高中数学二级结论)】因无法核实真实出处,未能及时与作者取得联系,或有版权异议的,请联系管理员,我们会立即处理! 部分文章是来自自研大数据AI进行生成,内容摘自(百度百科,百度知道,头条百科,中国民法典,刑法,牛津词典,新华词典,汉语词典,国家院校,科普平台)等数据,内容仅供学习参考,不准确地方联系删除处理!;
工作时间:8:00-18:00
客服电话
电子邮件
beimuxi@protonmail.com
扫码二维码
获取最新动态
