
2021新高考分数怎么算
目前来看,全国第三批高考综合改革省市均将采用“3+1+2”的高考模式,具体包括:
辽宁、河北、江苏、福建、湖北、湖南、广东、重庆。
新高考中所有科目的分数计算方法如下:
高考的总成绩构成是:总成绩(满分750分)=统一高考科目成绩(450分)+选考科目成绩(300分),具体如下图:
★统一高考科目:语文、数学、外语使用卷面成绩计入考生总成绩,每门满分150分。
★选考科目:①物理/历史使用原始成绩计入考生总成绩,每门满分100分;②思想政治/地理/化学/生物按等级赋分后计入考生总成绩,每门满分100分。
可见,思想政治/地理/化学/生物这4门再选科目是按【等级赋分】计入总成绩的。也就是说,这4门科目的卷面分数,未必是最终计入高考总成绩的分数。那么,等级赋分怎么计算?等级赋分受哪些因素影响?

★等级赋分使用科目:政治、地理、化学、生物
★等级赋分的基本思路是:将每门选考科目的同一类型考生成绩按照分数高低依次排序。排序中,根据比例划分不同等级,按照公式赋予不同等级分。
等级分的满分值为100分,起点分值为30分。也就是说,假如考生考了0分,排到E等级。赋分后,最少也有30分。
学习哥接下来带大家看一下等级赋分的具体步骤。
卷面分换算等级
将思想政治、地理、化学、生物学每门科目考生的卷面分从高到低划分为A、B、C、D、E共5个等级,各等级的人数比例分别约为17%、33%、33%、15%、2%。
按照等级划分分数区间
根据考生卷面分划分的等级,来换算等级对应的分数区间。等级分换算对应表如下:
等级分计算
运用等级赋分公式将考生选考科目卷面分换算成等级分,四舍五入得到考生转换后的等级分,计入最终总成绩。等级分计算公式:

具体换算过程:
1、固定的比例及对应的等级、赋分区间。
以实际参加该科选考人数的成绩为基数,将各考生原始成绩从高到低划分为A、B、C、D、E共5个等级,各等级人数所占比例分别约为15%、35%、35%、13%和2%。
以上的5个等级及各等级对应的比例及赋分区间是事先设定的固定规则,转换后赋分成绩满分为100分,赋分起点为30分。
例1:
某学科原始分前15%的考生最高分为100分,最低分为95分,则该学科A等级的原始分区间为【100~95】。
已知A等级赋分区间为【100~86】分(固定不变),
也就是说,原始分【100~95】的考生为A等级,赋分后最终成绩为【100~86】分。
例2:
某学科考试成绩最后2%的考生最高分为20分,最低分为5分,则该科目E等级的原始分区间为【20~5】。
已知E等级赋分区间为【40~30】分(固定不变),
也就是说,原始分【20~5】的考生为E等级,赋分后最终成绩为【40~30】分。
极端地讲,假设这个区间某考生原始分为5分,赋分后也能拿到30分。
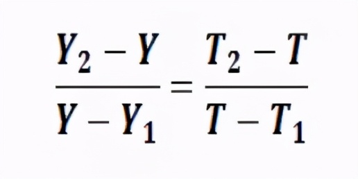
2、等级转换的具体公式:
其中:
Y1、Y2分别表示原始分区间的下限和上限;
T1、T2分别表示转换分区间的下限和上限;
Y表示原始分;
T表示转换分。
考虑到高考分数都以整数呈现,故上述公式的计算结果需要进行“四舍五入”处理。
例1:
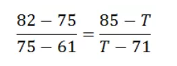
假设小淘同学政治学科原始分为75分,
再假设政治学科B等级原始分区间为【82~61】,
则小淘同学政治学科为B等级;
下面进行赋分换算:
B等级的赋分区间【85~71】(固定不变),
那么小淘同学赋分后分数为:
解得,T≈80.33;四舍五入后小淘同学政治学科最终赋分成绩为80。
例2:
假设小淘同学地理学科原始分为75分,
再假设地理学科B等级原始分区间为【88~75】,
则小淘同学地理学科为B等级;
下面进行赋分换算:
B等级的赋分区间【85~71】(固定不变),
小淘同学考了B等级原始分区间的最低分,
所以小淘同学地理学科最终赋分成绩为71。
看完上述讲解,能够理解等级赋分怎么计算吗?莫慌,考试院会帮你们计算好,最终将换算结果呈现在同学们的高考成绩单中。你们尽管考高分就好。

新高考改革后,政治、地理、化学、生物这四门选考科目的等级赋分,不仅受到卷面分影响,还与命题难易程度、所选科目人数息息相关。
考生成绩进行等级转换后,与原始分(卷面分)相比,可能偏高,可能偏低,也有可能相等,这主要取决于命题的难易。
如果题目偏简单,考生原始分数就会整体偏高,转换后的等级分数低于原始分数的可能性就比较大;反之,如果题目偏难,考生原始分数会整体偏低,转换后的等级分数就可能高于原始分数。
当排名固定时,选考同一类型科目的人数越多,该科目赋高分机会越多。
假设小明同学选考化学科目,原始分94分。如果全省共有5万人选考化学,小明排3000名,按照等级比例,他的等级为A(约17%);如果1万人选考,那么同样考3000名,就成为B(约35%)等级,最后的赋分也会差一个等级。
相比于以前“分数大于天”的情况,新高考改革后,我们要更重视排名。面对更加激烈的竞争,你们准备好了吗?
简单来说,选考科目成绩主要取决于你的排名情况,如果你单科是全省第一,那么不管你卷面考了多少分,最终的赋分成绩都会是100分;而如果你是全省倒数第一名,那么也是不管你考了多少,最终的赋分就是“起点分”(如:30分)。
政治、地理、化学、生物这4门以等级赋分成绩计入总成绩的科目,从0到100分的卷面原始分区间压缩到30-100分的赋分区间,整体成绩的区分度实际上降低了。
考生之间若要拉开差距,重点仍在语、数、外及物理/历史,这些按照原始分计入高考成绩的科目上。

新高考后,无论之前省内有多少本科批次,届时都会统统合并为一个本科批次,不再有“一本”之说;且不再分文、理科。
截止至2020年,据全国已经实施新高考的6大省市来看,绝大多数省份新高考后只公布了一个批次线,即本科线,但:
1)山东有一个“特殊类型招生线”和一个“一段线”,且后者为本科线,而前者更高,基本相当于一本线;
2)浙江则分为“一段线”、“二段线”、“三段线”,基本相当于“一本线”、“本科线”、“专科线”。
然后据2021年首次新高考各省市发布的高考改革方案来看,其中:
重庆、河北、辽宁等这几个新高考地区应该会效仿浙江、山东模式,划定有类似“一本线”、“本科线”的分数线,当然,“3+1+2”特殊模式因为被物理,历史在中间区分了一下,也不排除有其他划线方式,最终请以考试院发布为准。
版权声明:我们致力于保护作者版权,注重分享,被刊用文章【新高考分数怎么算(新高考)】因无法核实真实出处,未能及时与作者取得联系,或有版权异议的,请联系管理员,我们会立即处理! 部分文章是来自自研大数据AI进行生成,内容摘自(百度百科,百度知道,头条百科,中国民法典,刑法,牛津词典,新华词典,汉语词典,国家院校,科普平台)等数据,内容仅供学习参考,不准确地方联系删除处理!;
工作时间:8:00-18:00
客服电话
电子邮件
beimuxi@protonmail.com
扫码二维码
获取最新动态
