教育部发布了2021年度全国高等学校名单,截止2021年9月30日,全国高等学校共计3012所。
全国高等学校
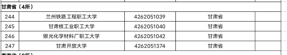
甘肃省高等学校共计53所,其中普通高等学校49所(本科22所、专科27所)、成人高等学校4所。
甘肃本科院校名单(22所)
甘肃专科院校名单(27所)
甘肃成人高等学校名单(4所)
版权声明:我们致力于保护作者版权,注重分享,被刊用文章【甘肃省的大学(甘肃有多少大学你知道吗)】因无法核实真实出处,未能及时与作者取得联系,或有版权异议的,请联系管理员,我们会立即处理! 部分文章是来自自研大数据AI进行生成,内容摘自(百度百科,百度知道,头条百科,中国民法典,刑法,牛津词典,新华词典,汉语词典,国家院校,科普平台)等数据,内容仅供学习参考,不准确地方联系删除处理!;
工作时间:8:00-18:00
客服电话
电子邮件
beimuxi@protonmail.com
扫码二维码
获取最新动态
