安徽医科大学2021年在安徽省各专业录取分数线如下:
【安徽省本科一批】
理工类:临床医学(“5+3”一体化)专业录取分数线最高,录取最低分为604分,比安徽省理工类一本控分线高116分。健康服务与管理(中外合作办学)专业录取分数线最低,录取最低分为490分,仅比安徽省理工类一本控分线高2分。
文史类:文史类仅有9个专业招生。其中,公共事业管理专业录取分数线最高,录取最低分为582分,比安徽省文史类一本控分线高22分。护理学专业录取分数线最低,录取最低分为472分,比安徽省文史类一本控分线高8分,且相对理工类护理学专业录取分数线较低。
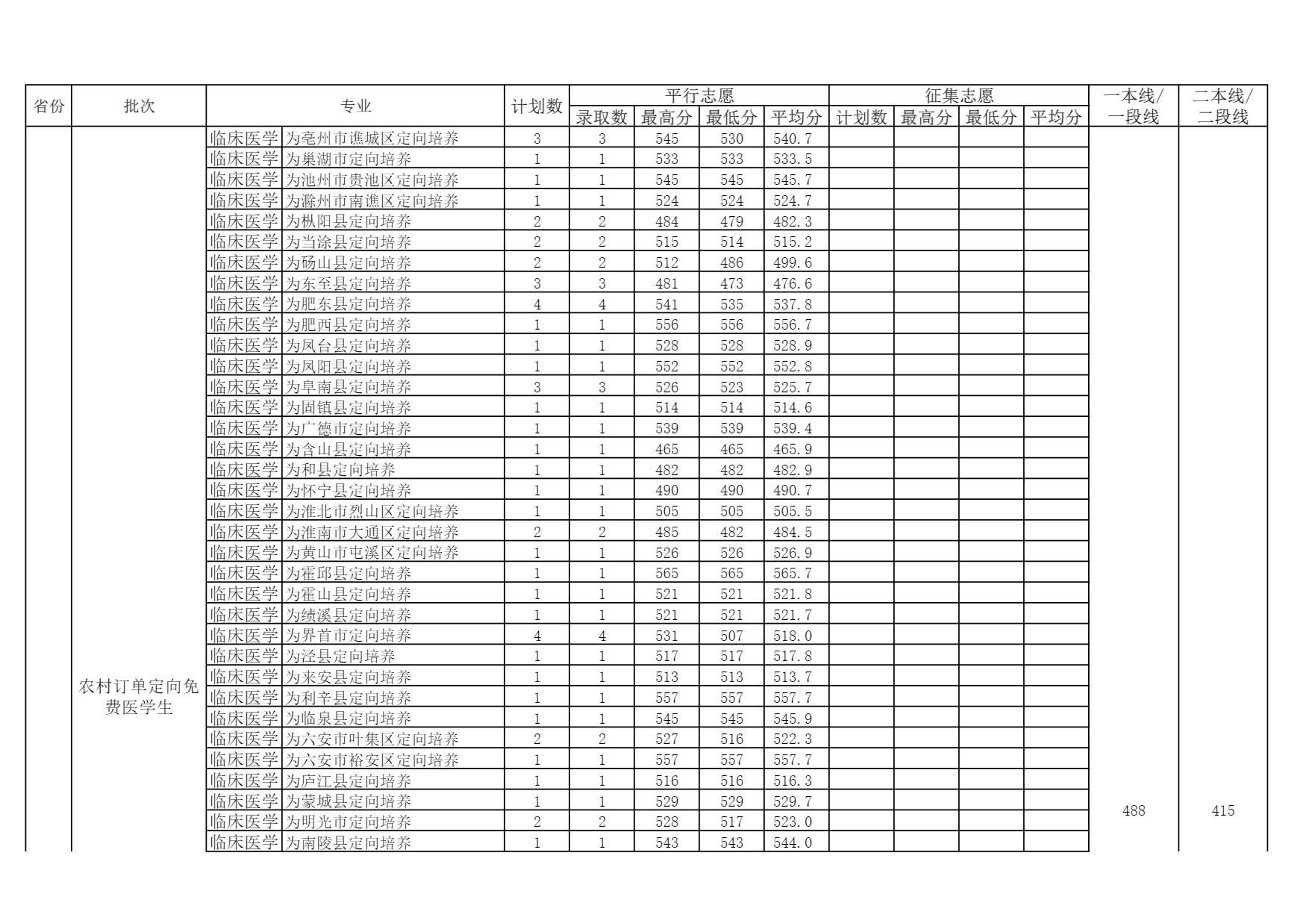
【安徽省农村订单定向免费医学生】
临床医学(为霍邱县定向培养)专业录取分数线最高,录取最低分为565分。临床医学(为含山县定向培养)专业录取分数线最低,录取最低分465分。
【安徽省国家专项计划】
理工类:口腔医学专业录取分数线最高,录取最低分为591分。生物技术专业录取分数线最低,录取最低分为465分。
文史类:护理学专业录取分数线最高,录取最低分为575分。公共事业管理专业录取分数线最低,录取最低分为574分。
【安徽省地方专项计划】
理工类:口腔医学专业录取分数线最高,录取最低分为589分。护理学专业录取分数线最低,录取最低分为546分。
文史类:护理学和公共事业管理两个本科专业录取分数线均为575分。
【江苏省】
物理类:临床医学专业录取分数线最高,录取最低分为562分。妇幼保健医学专业录取分数线最低,录取最低分为541分。
历史类:预防医学专业录取分数线最高,录取最低分为552分。药学专业录取分数线最低,录取最低分为515分。
【浙江省】
临床医学专业录取分数线最高,录取最低分为627分。护理学专业录取分数线最低,录取最低分为579分。
【湖南省】
物理类:临床医学专业录取分数线最高,录取最低分为580分。妇幼保健医学专业录取分数线最低,录取最低分为571分。
历史类:妇幼保健医学专业录取分数线最高,录取最低分为545分。药学专业录取分数线最低,录取最低分为542分。
上述录取信息为苹果兔整理相关资料所得,如有表述和统计错误,请在评论区留言指正,谢谢!
信息来源:安徽医科大学招生官网
#2022高考##高考##高考季##高考名师团##安徽高考#
版权声明:我们致力于保护作者版权,注重分享,被刊用文章【安徽医科大学分数线(2022高考)】因无法核实真实出处,未能及时与作者取得联系,或有版权异议的,请联系管理员,我们会立即处理! 部分文章是来自自研大数据AI进行生成,内容摘自(百度百科,百度知道,头条百科,中国民法典,刑法,牛津词典,新华词典,汉语词典,国家院校,科普平台)等数据,内容仅供学习参考,不准确地方联系删除处理!;
工作时间:8:00-18:00
客服电话
电子邮件
beimuxi@protonmail.com
扫码二维码
获取最新动态
