记住:高三,你的努力在任何考试中都可能得不到回报,但凡你坚持到高考,你所有的努力都会如火山样喷发。
下方这个故事主人公是你吗?
夜深了,一位商人走在黑漆漆的山路上,那晚没有月亮也没有星星,年轻人在崎岖漆黑的山路上,看不到前行的方向,也分辨不出南北西北,就在他绝望的时候,一个声音在他身边回响:"年轻人捡几颗石子吧,天亮会有用的!" "年轻人捡几颗石子吧,天亮会有用的!"他不知道这声音是从哪里来,也不知道是谁在跟他讲话,更不知他重复了多少遍,年轻人非常害怕,加快了脚步,心想,这是什么声音,怎么这么害怕。然而,那个声音仍然在坚持着,最后那声音几乎在哀求着说:"年轻人捡几颗石子吧,天亮会有用的!年轻人心里忽然觉得似乎是他曾经老师的声音他人心软了,心里说:“捡几颗吧,也许会有用的”。于是,年轻人就弯腰随便捡了几颗握在手心,奇怪的是,就在年轻人捡了石子后,前边的路似乎变得明朗了,很快年轻人在黎明前走出了山谷。趁着微微的晨光,年轻人心想,看看手里的石子到底有什么用?当他伸开握着石子的手时,他惊呆了,天哪,竟然是金灿灿的黄金。他忽然明白,原来昨天晚上的那个声音是善意的,那个声音是对我好。他开始后悔,他非常后悔自己为什么没有多捡几颗,当他再次回头时,发现身后黑压压的大山连在一起,根本就找不到那条回去的路了。
也许你觉得这个故事是荒诞的,如果你就是这个年轻人,是否会做同样之事?
高三该如何学?
1、学会做笔记
高三复习,知识点多,杂,乱。当然离不开做好笔记。
笔记不是照着老师的板书,如果一字不漏的抄下来,还不如直接看书更加简单。
反而是知识点的浓缩和精华。
每个人都会做笔记,但是大家却很容易出现一个现象,
我们总是走了太远,而忘记当初为何出发!
什么意思?就是做笔记是为了以后回顾的呀,
可是自己抿心自问,自己做的笔记自己翻过几遍没~都成过期杂志丢一边了······
新进入高三的同学,也是一轮复习的开始。
这个阶段,核心点是构建知识体系,知己知彼,百战不殆!
笔记应该是在不断的复习和巩固中,不断进行补充和更新的。
一方面需要你进行补充,如果有必要可能还需要你再拿出新的笔记本,进行专题的凝练。
特别是文科,知识点多,需要记忆。笔记尤为重要。
先来看看一般学生是怎么做的笔记:
来自网络
上方笔记,想必没有同学愿意学习吧,杂乱无章,完全没有头绪,照搬老师的话。
最后自己都看不懂说的啥。
我称为“1.0版本笔记”。
那么2.0版本的笔记又是怎么样的呢?
来自网络
这是升级版的知识体系,在记牢的基础上,打破了次序,更加综合和方便提取。
有时为增进理解,我们也会把知识挪移或转化。
3.0的笔记是怎么样的呢?
5R笔记法(又叫做康奈尔笔记法,是用产生这种笔记法的大学校名命名的。)
由康奈尔大学教育学教授沃尔特·波克于20世纪40年代提出,风靡全球,这一方法几乎适用于一切讲授或阅读课,特别是对于听课笔记,5R笔记法是最佳首选。它的步骤包括记录、简化、背诵、思考和复习五步。
1.记录(Record)。在听讲或阅读过程中,在主栏(将笔记本的一页分为左小右大两部分,右侧为主栏,左侧为副栏)内尽量多记有意义的论据、概念等讲课内容。
2.简化(Reduce)。下课以后,尽可能及早将这些论据、概念简明扼要地概括(简化)在回忆栏,即副栏。
来自网络
3.背诵(Recite)。把主栏遮住,只用回忆栏中的摘记提示,尽量完满地叙述课堂上讲过的内容。
4.思考(Reflect)。将自己的听课随感、意见、经验体会之类的内容,与讲课内容区分开,写在卡片或笔记本的某一单独部分,加上标题和索引,编制成提纲、摘要,分成类目。并随时归档。
5.复习(Review)每周花十分钟左右时间,快速复习笔记,主要是先看回忆栏,适当看主栏。
这种做笔记的方法初用时,可以以一科为例进行训练。在这一科不断熟练的基础上,然后再用于其他科目。接下来就是整理笔记。 在课堂上做的笔记往往比较杂乱,课后复习不太好用。为了巩固学习成果,积累复习资料,需要对笔记进一步整理,使之成为比较系统、条理的参考资料。加工的方法是:
1.忆——课后即抓紧时间,趁热打铁,对照书本、笔记,及时回忆有关信息。这是你整理笔
记的重要前提。
2.补——课堂上所作的笔记,因为是跟着教师讲课的速度进行的,而讲课速度要比记录速度快一些,所以你的笔记会出现缺漏、跳跃、省略等情况,在忆的基础上,及时作修补,使笔记更完整
3.改——仔细审阅你的课堂笔记,对错字、错句及其他不够确切的地方进行修改。
4.编——用统一的序号,对笔记内容进行提纲式的、逻辑性的排列,注明号码,梳理好整理笔记的先后顺序。
5.分——以文字(最好用色笔)或符号、代号等划分笔记内容的类别。例如:哪些是字词类,哪些是作家与作品类,哪些作品(或课文)分析类,哪些是问题质疑、探索类,哪些是课后练习题解答等等。
6.舍——省略无关紧要的笔记内容,使笔记简明扼要。
7.记——分类抄录经过整理的笔记。同类的知识,摘抄在同一个本子上或一个本子的同一部分,也可以用卡片分类抄录。这样,日后复习、使用就方便了,按需所取,纲目清晰,快捷好用,便于记忆。
最后的笔记展示,如下图,部分来自网络:
来自网络
2、语文怎么学?
参考我回答的另一篇文章。和上方部分内容重合,跳过就是。
高考语文成绩如何做到130
3、数学怎么学?
一轮复习,整理一套高中数学解题方法(部分来自学生总结),对于高中学习解题都非常有用。数学一轮复习知识点免 费领取。
「免费领取」2020高考数学一轮知识点归纳总复习资料(全网最全)
刁哥给大家灌输一个概念:学习这个东西,本来就很轻松,要开心的学习,如果你觉得很不开心,说明你的方法不正确。如果能像《超级演说家》中刘媛媛一样,高考前拥有好方法,从乡村野丫头一举考到北大法律系,实现逆袭人生就好了。废话不多说,进入主题。
1、解决绝对值问题
主要包括化简、求值、方程、不等式、函数等题,基本思路是:把含绝对值的问题转化为不含绝对值的问题,绝对值不等式相关的问题在近年来成为高考的难点和重点,具体转化方法有:
①分类讨论法:根据绝对值符号中的数或式子的正、零、负分情况去掉绝对值。分类讨论,是一种重要的数学思想,也是一种逻辑方法,同时又是一种重要的解题策略。在高中数学中,分类讨论时非常重要的一种解题思路,每次高考的数学试卷中,必然会有需要用到这种思想方法的题目。
②零点分段讨论法:适用于含一个字母的多个绝对值的情况。
③两边平方法:适用于两边非负的方程或不等式。
④几何意义法:适用于有明显几何意义的情况。
针对上一道题可以用零点分段,也可以做几何意义分析在一维数轴中距离的含义(两边之和大于第三边,两边只差小于第三边)。如下图
2、关于因式分解的步骤
根据项数选择方法和按照一般步骤是顺利进行因式分解的重要技巧。
因式分解的一般步骤是:
提取公因式
选择用公式
十字相乘法
分组分解法
拆项添项法
例:分解因式bc(b+c)+ca(c-a)-ab(a+b)=(c+b)(c-a)(a+b)
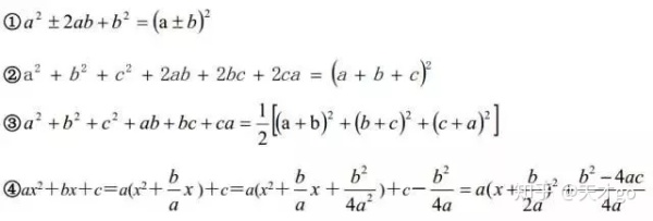
3、配方法
利用完全平方公式把一个式子或部分化为完全平方式就是配方法,它是数学中的重要方法和技巧。配方法的主要根据有:
4、换元法
解某些复杂的特型方程要用到“换元法”。换元法解方程的一般步骤是:
设元→换元→解元→还元
5、待定系数法
待定系数法是在已知对象形式的条件下求对象的一种方法。适用于求点的坐标、函数解析式、曲线方程等重要问题的解决。其解题步骤是:
①设 ②列 ③解 ④写
6、复杂代数等式
复杂代数等式型条件的使用技巧:左边化零,右边变形。
①因式分解型:
(-----)(----)=0 两种情况为或型
②配成平方型:
(----)2+(----)2=0 两种情况为且型
7、数学中两个最伟大的解题思路
(1)求值的思路列欲求值字母的方程或方程组
(2)求取值范围的思路列欲求范围字母的不等式或不等式组
8、化简二次根式
基本思路是:把√m化成完全平方式。即:
9、观察法
10、代数式求值
方法有:
(1)直接代入法
(2)化简代入法
(3)适当变形法(和积代入法)
注意:当求值的代数式是字母的“对称式”时,通常可以化为字母“和与积”的形式,从而用“和积代入法”求值。
11、解含参方程
方程中除过未知数以外,含有的其它字母叫参数,这种方程叫含参方程。解含参方程一般要用‘分类讨论法’,其原则是:
(1)按照类型求解
(2)根据需要讨论
(3)分类写出结论
12、恒相等成立的有用条件
(1)ax+b=0对于任意x都成立关于x的方程ax+b=0有无数个解a=0且b=0。
(2)ax2+bx+c=0对于任意x都成立关于x的方程ax2+bx+c=0有无数解a=0、b=0、c=0。
13、恒不等成立的条件
由一元二次不等式解集为R的有关结论容易得到下列恒不等成立的条件:
14、平移规律
图像的平移规律是研究复杂函数的重要方法。平移规律是:
15、图像法
讨论函数性质的重要方法是图像法——看图像、得性质。
定义域:图像在X轴上对应的部分
值域 :图像在Y轴上对应的部分
单调性:从左向右看,连续上升的一段在X轴上对应的区间是增区间;从左向右看,连续下降的一段在X轴上对应的区间是减区间。
最值:图像最高点处有最大值,图像最低点处有最小值
奇偶性:关于Y轴对称是偶函数,关于原点对称是奇函数
16、函数、方程、不等式简的重要关系
方程的根⇄函数图像与x轴交点横坐标⇄不等式解集端点
17、一元二次方程的解法
一元二次不等式可以用因式分解转化为二元一次不等式组去解,但比较复杂;
它的简便的实用解法是根据“三个二次”间的关系,利用二次函数的图像去解。具体步骤如下:
二次化为正→判别且求根→画出示意图→解集横轴中
18、一元二次方程根的讨论
一元二次方程根的符号问题或m型问题可以利用根的判别式和根与系数的关系来解决,但根的一般问题、特别是区间根的问题要根据“三个二次”间的关系,利用二次函数的图像来解决。“图像法”解决一元二次方程根的问题的一般思路是:
题意→二次函数图像→不等式组
不等式组包括:a的符号;△的情况;对称轴的位置;区间端点函数值的符号。
19、基本函数在区间上的值域
我们学过的一次函数、反比例函数、二次函数等有名称的函数是基本函数。基本函数求值域或最值有两种情况:
(1)定义域没有特别限制时---记忆法或结论法。
(2)定义域有特别限制时---图像截断法,一般思路是。
画出图像→截出一断→得出结论
20、最值型应用题的解法
应用题中,涉及“一个变量取什么值时另一个变量取得最大值或最小值”的问题是最值型应用题。解决最值型应用题的基本思路是函数思想法,其解题步骤是:
设变量→列函数→求最值→写结论
21、穿线法
穿线法是解高次不等式和分式不等式的最好方法。其一般思路是:
首项化正→求根标根→右上起穿→奇穿偶回
注意:①高次不等式首先要用移项和因式分解的方法化为“左边乘积、右边是零”的形式。②分式不等式一般不能用两边都乘去分母的方法来解,要通过移项、通分合并、因式分解的方法化为“商零式”,用穿线法解。
最后分享一个高中数学资料文档。
2020高中数学概念公式总结资料(史上最全可打印版本)
22、猜题法
这个方法面对不会的题目,或许有效。
请看我另一个8000+赞的回答。
刁哥告诫:蒙题有风险,且蒙且珍惜。OK,开始起飞。。。。
高考数学存在什么蒙题技巧?
高考数学存在的「蒙题技巧」
3、英语怎么学?
3500个考纲单词记不住?我们就从基础里有重点,有思路的来解决。
绝了,原来背英语单词很痛苦,现在要上瘾,停不下来!怎么办?
给了基础,我们再来给具体的方法和套路:
清华学霸:高考英语作文满分,全靠经典万能句型,记住就好!文档
在最后,无论是单词,语法,语感,方法都是老路?最重要的,也是最根本的,还是要回到思维这个层面来提升!
高考英语考不好,以为缺的是基础,实际上缺的是思想。你中招了吗
觉得文章有用,记得转发,评论哟!你的认同是我持续发布的动力!
想要帮助孩子提分,却苦于没有找到方法:
大批高中学生从迷茫到逆袭,经历了什么!扭转问题的根本在哪里!
高考技巧:不靠英语实力,靠眼力。初中生都能快速做对高考题
高考数学140的绝招考试技巧—画图法,超常发挥的关键替孩子收藏
下方回复:我要资料,可获得各科免费资料!
下方回复:我要课程,就可以免费获取学神思维提供的免费课程!
提分等更多内容,请留言或私信!
版权声明:我们致力于保护作者版权,注重分享,被刊用文章【复读生高考减20分(送给高三党)】因无法核实真实出处,未能及时与作者取得联系,或有版权异议的,请联系管理员,我们会立即处理! 部分文章是来自自研大数据AI进行生成,内容摘自(百度百科,百度知道,头条百科,中国民法典,刑法,牛津词典,新华词典,汉语词典,国家院校,科普平台)等数据,内容仅供学习参考,不准确地方联系删除处理!;
工作时间:8:00-18:00
客服电话
电子邮件
beimuxi@protonmail.com
扫码二维码
获取最新动态
