继南昌航空大学、江西理工大学、江西师范大学、江西农业大学、华东交通大学公布一志愿和调剂拟录取名单,东华理工大学前段时间公布了第一批拟录取名单之后,19日,东华理工大学继而公布了第二批拟录取名单。
名单如下:
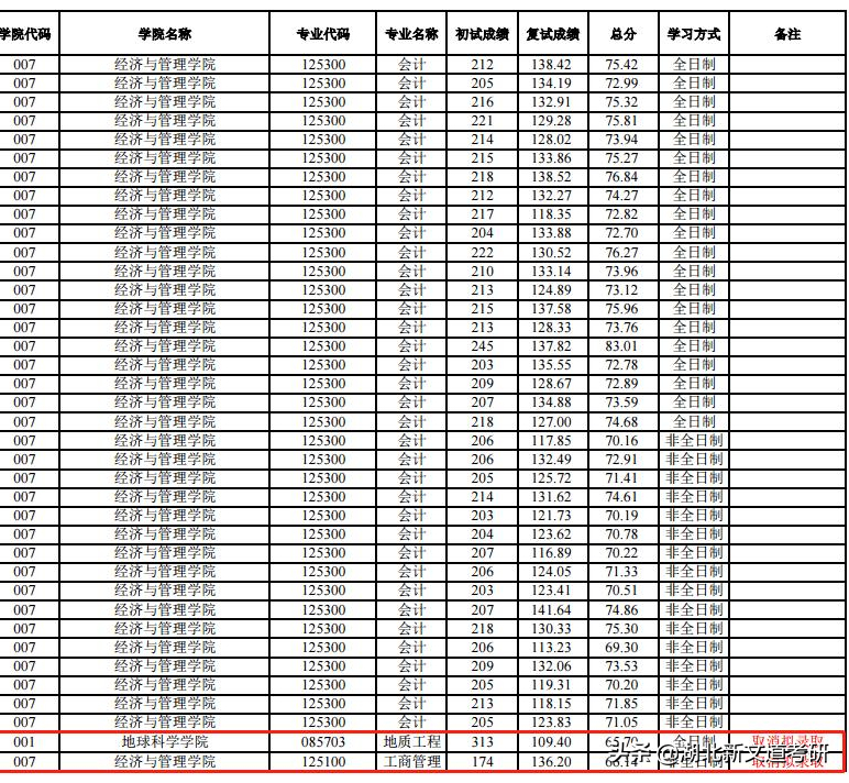
小伙伴们可以看到名单最后有两名考生取消拟录取,学姐对比了一下,这两名考生原本是在第一批拟录取名单中。
那取消拟录取的原因有很多,有主观原因,比如自己已经选择别的学校了,放弃录取,自己不想读了等等,除了考生自身原因,那还有其他原因,下面就来整理一下哪些原因会导致取消拟录取(不是指上面这两名考生)。也对22考研上岸的小伙伴们提个醒!23考研的小伙伴也可以看看,提前规避一些错误的发生!
这种情况比较少见,也是受疫情影响,实施线上复试才出现的一种新的考查形式。就是线上复试通过后,等学校开学后会进行复测,复查,如果没有通过的话也会取消学籍,只要自己行得正,一般基本会通过。
每年考研各个地方都会出现统计分数出现错误的情况,一旦发现跟自己预估分数有出入的时候一定要进行复核(注意时间),一般很少出现。
考研复试中,有一项是给每个考生进行体检,若是体检不合格的考生是不会予以录取的,这里主要是指一些传染性的疾病,高校录取研究生有具体的体检要求,有的特殊类院校和专业对考生身体情况会有特殊要求。
20考研开始,体检改到拟录取后(之前是在复试的时候进行),也有一些学校是让考生复试时,持有三甲医院开具的体检证明,合格者才能被录取。
考研拟录取之后,体检合格,一般非在职的考生在规定的日期之前将档案调到被录取的院校,对于应届生来说,档案在本科院校,调档函拿来就可调取了。对于延迟毕业的考生只需要开具证明,申请延迟档案调取就可。档案调取失败的考生主要是因为他们将档案遗失了,没办法调档才会如此。档案遗失后,想补办起来非常麻烦。若是二战的考生,尽量提前查看自己的档案所在地为好!
对于在考研中作弊的考生,一经发现,会被取消录取资格。每年都会有极少数的考生,在考研中作弊,替考,或个人信息虚假从而丧失读研资格的;凭自己的实力上岸才是王道!
这也是最主要的,因为每年都会有考生出现这种情况,即使出现的概率不是很大,但是依然存在,小部分同学因为本科期间学分不够或者挂科未参加补考以及毕业论文不合格等等原因,导致自己本科无法顺利毕业或者延期毕业,拟录取的考生如果出现这种情况,请在这段时间尽快处理这些问题。
每个招生院校都规定拟录取的硕士研究生在入学后需要查验毕业证、学位证原件等等,如果入学报到时候无法提交院校查验很有可能取消入学资格,不予注册研究生学籍信息,同时本科期间有处分的同学,尽快申请撤销处分,毕竟处分文件在档案里对考生将来多多少少会有一定的影响。
版权声明:我们致力于保护作者版权,注重分享,被刊用文章【大学的处分会进档案吗(这6种情况会导致拟录取被取消)】因无法核实真实出处,未能及时与作者取得联系,或有版权异议的,请联系管理员,我们会立即处理! 部分文章是来自自研大数据AI进行生成,内容摘自(百度百科,百度知道,头条百科,中国民法典,刑法,牛津词典,新华词典,汉语词典,国家院校,科普平台)等数据,内容仅供学习参考,不准确地方联系删除处理!;
工作时间:8:00-18:00
客服电话
电子邮件
beimuxi@protonmail.com
扫码二维码
获取最新动态
