首页
教育资讯
学习方法
公务员考试
院校大全
知识库
首页
/
证明调和级数发散
证明调和级数发散(数学中无穷级数的奥秘)
01 几何级数是求和公式,也是欧拉大神所创,上面给出的式子叫几何级数,什么叫级数呢?简单说,级数就是把数列各项用加号连接起来的函数,比如几何级数就是:这货跟几何有什么关系呢?为什么叫几何级数,以r=2为例吧,话不多说直接上图:这是一个面积为2的正方形,可以分割成
时间:2025-09-07 | 阅读:950
证明调和级数发散(欧拉方法)
为了正式定义质数,我将使用戈弗雷哈罗德哈代(G. H. Hardy)和爱德华梅特兰赖特(E. M. Wright)的经典数论书《数论导论》中定义的“改进”版本。图1:英国数学家戈弗雷哈罗德哈代和爱德华梅特兰赖特,著名的书《数论导论》的作者我们只考虑正整数。一个数p被称为素数,如果
时间:2025-08-24 | 阅读:638
证明调和级数发散(理解黎曼猜想)
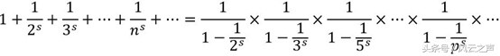
关注风云之声提升思维层次导读任选两个自然数,它们互质的概率是多少?它就是s = 2时欧拉乘积公式右边的连乘的倒数,因此它等于s = 2时欧拉乘积公式左边的连加的倒数,即1/(2)。而(2) = ^2/6,因此这个概率等于6/^2 ≈ 60.79%。同样的,三个自然数互质的概率是1/(3) ≈ 83.19
时间:2025-08-12 | 阅读:857
证明调和级数发散(调和级数的几个有趣应用及一个著名悬而未解的数学问题)
交通流量在不允许超车的单行道交通中,一辆慢车后面跟着一堆想超车但不能超车的汽车。如果 n 辆汽车行驶,将形成多少条车流?如同上一个例子,这就像在问将观察到多少低速记录一样,我们知道答案:因为车流中后车速度一定会比前车慢,所以两车的间隔会更大。这解释了为什么
时间:2025-08-12 | 阅读:114
证明调和级数发散(调和级数)
如果你看看下面的表达式:你可能会想知道,一直加下去会得到怎样的结果。后面的数字不断变小,直到它可以忽略不计。你可能想知道它是否仍然对总和有贡献。这个表达式被称为 "调和级数"。N项调和级数的值是1到N倒数的和。前五项(N=5)是:那么,前100项、前1000项、前100万项
时间:2025-08-08 | 阅读:85
全面的学校信息库
院校搜的目标不仅是为用户提供数据和信息,更是成为每一位学子梦想实现的桥梁。我们相信,通过准确的信息与专业的指导,每一位学子都能找到属于自己的教育之路,迈向成功的未来。助力每一个梦想,实现更美好的未来!
文章
2178095
标签
159354
浏览量
100W+
阅读排行
7580℃
1
2022年陕西交通职业技术学...
7273℃
2
2023年面向港澳台地区招收...
6875℃
3
重庆2023年开设汽车运用与...
6224℃
4
2020甘肃高考一本I段投档最...
5686℃
5
福建省二本的文科大学排名
5653℃
6
眉山药科职业学院是民办大...
5626℃
7
南京传媒学院奖助学金有哪...
5475℃
8
英语教育考研难吗?
猜你喜欢
2024中国传媒大学2+2国际本科预科项目招生专业有哪些
河南科技大学MBA报名及考试时间2024
广东神匠动漫教育培训学校
青岛理工是二本嘛吗
延边大学研究生护理在哪个校区上学
多少分能被湖北生物科技职业学院录取
艺考美术考什么内容
2024年湖南历史类多少能上西安科技大学高新学院
没钱还要读民办大学吗
转自 天行健两张功单(郭林气功)看不同
西南大学暑假放假时间2017(西南大学的前世今生)
上海海洋大学在福建招生计划和招生人数一览表
热门标签
985
综合类院校
工科类院校
师范类院校
艺术类院校
财经类院校
高仿手表哪里可以买到
农业类院校
清华大学校花
中国传媒大学校花
北京在明律师事务所
中国农业大学动物科技学院
北京在明律师事务所地址电话
中级会计考试时间
哪有健身培训学校
大学生征兵政策
民族类院校
会计案例分析
我要关灯
我要开灯
客户电话
工作时间:8:00-18:00
客服电话
电子邮件
beimuxi@protonmail.com
官方微信
扫码二维码
获取最新动态
返回顶部