在上一篇文章里,我们谈到了狄利克雷函数,并指出了它所具有的三个诡异的性质:处处不连续,处处不可导,在任意闭区间上不可积。文章的链接如下:
诡异的狄利克雷函数
我们还指出,狄利克雷函数其实是一类最简单的病态函数,这就意味着存在比狄利克雷函数更加复杂,更加诡异的函数,本篇文章就带着读者开一开脑洞,自己来想办法构造出一些更诡异的函数来。
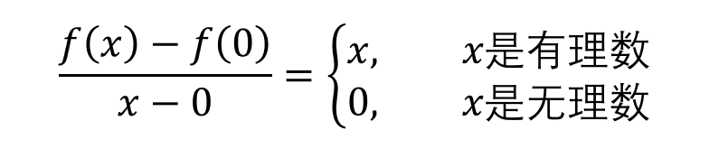
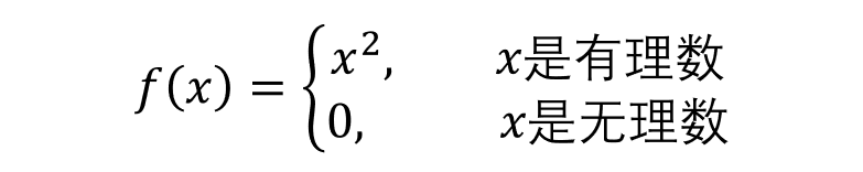
只在一点不连续的函数非常好构造,只需要把一整个曲线在某一点掰开就可以了,而狄利克雷函数则是在所有点都不连续的。那么如何来构造只在一点处连续的函数呢?我们可以把狄利克雷函数稍微改造一下,变成下面这个样子:
为了让大家直观地理解,我们近似地把它的图像画出来
千万要注意!这只是它近似的图像,而真正的图像我们是不可能画出来的,因为有理数和无理数都是密密麻麻地分布在实数轴上的。
这个函数只在 x=0 处连续,在其它点均不连续,我们来说明这一点。在x不等于0的地方,如果是有理点,则函数的取值也不为0,但是在它附近任意小的邻域内,都包含无数多个无理点,在那上面函数取值一定是0,函数趋近于这一点时是无穷震荡形式的,因而极限不存在,也就不可能连续。同样如果x在无理点出,那么这一点的函数取值为0,但是在它的任意领域之内都包含无数多个有理点,那些点处函数取值不为0,因此它也是一个无穷震荡形式的,故而极限也不存在,亦不连续。
那么它为什么在 x=0 处就连续了呢?我们还是根据连续性的定义,即它在这一点的函数值等于极限值来证明。首先有f(0)=0,然后我们利用夹逼定理来求函数在这一点的极限值:
所以我们得到了函数值等于极限值,于是函数在0这一点连续。
上面这个例子只是让大家初步领略了一下病态函数的威力,以此为基础,还可以构造出更多的病态函数,具有更加诡异的性质。
我们把上面的函数再稍加改造一下,得到如下函数:
我们还是先来近似地画一下它的函数图像:
这个函数的性质就是只在 x=0 处可导。那下面来证明这个结论。首先在 x≠0 的地方,根据我们类似于上面的函数的论证,该函数一定是不连续的,不连续一定不可导。
而在 x=0 的地方,f(0)=0,根据导数的定义,那就是下面这个式子当x趋近0时的极限
而上面这个函数刚好就是节1里边构造出来那个函数,因此当x趋近于零时的极限,我们刚才已经论证过,是存在的并且等于0,因此f(x)在 x=0 处是可导的,并且 f'(0)=0。
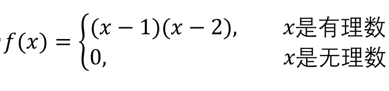
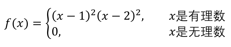
就比如我们想构造一个只在 x=1 和 x=2处连续的函数。根据上面的经验,我们只需要找一个在 x=1 和 x=2 处等于0,在其余的点不等于0的连续函数,然后再把它改造成狄利克雷型的函数,比如我可以这样构造:
它的近似图像是:
这个函数同上面的论证方法几乎是一样的,同学们可以自己尝试一下。比如当x=2的时候,可以利用夹逼定理得到x趋近于2的左侧和x趋近于2的右侧时,函数极限都是0,同时f(2)也是0,因此它的这点是连续的,x=1的时候情形类似。而除去这两个点之外,其它点都是不连续的。于是这个函数就只在两点处连续。
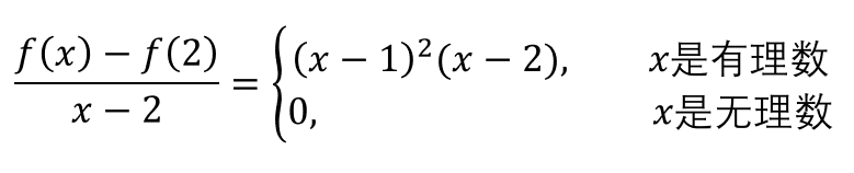
还是根据上面的经验,我们只需要把只在两点处连续的函数,乘以一个该点处的高阶无穷小,即可以得到只在两点处可导的函数,即
它的近似图像如下:
我们还是来说明一下它在 x=1 和 x=2 处可导,就拿x=2举例子,我们需要计算下列函数当x趋近于2时的极限:
而这个函数可以计算x趋近2时极限就是0,因此f(x)在 x=2 时可导并且f'(2)=0。同样的方法可以得到f(x)在 x=1 时可导并且f'(1)=0。
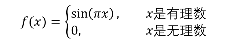
遵循相同的思路,我们只需要找一个在x=1,2,3,4,… 处等于0的连续函数就可以了,最简单的例子就是sin(πx),于是我们构造:
它的近似图像是
通过相同的论证,我们可以得到它在x=1,2,3,4,… 处是连续的,在其他地方均不连续。
还是遵循前面的思路,我们只需要把上述函数每一个零点处乘以一个更高阶的无穷小就可以了,直接的方法就是把自己平方一下,因为自己本身就是一个无穷小。即如下的函数
它的近似图像是
其论证方法跟前面几节基本相同,这里就不再赘述了。
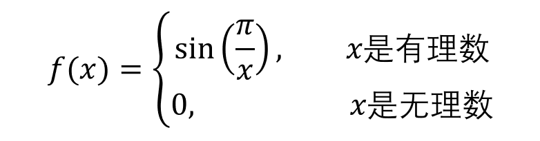
那我们就需要寻找一个在这些点等于0的函数,最简单的一个例子就是我们在高等数学里面曾经接触过的无穷震荡函数y=sin(π/x),于是我们这样来构造
它的近似图像比较恐怖
这个函数图像之所以这么恐怖,是因为sin(πx)本就是是一个在零点处无穷震荡的函数,因此把它变成狄利克雷型函数之后,就是由无数多个密密麻麻的点组成的,并且越靠近零点就越密集。但是我们仍然可以通过数学论证得到它只在x=1,1/2,1/3,1/4,… 这些点连续。
接下来的事情就顺理成章了,把上面的函数平方一下,就得到了我们想要的函数
它的近似图像是
就到此为止吧,虽然我们举了这么多的例子,但还只是病态函数微不足道的一小部分。我们还有更多、更复杂、更诡异的函数,他们所具备的性质是我们在初等函数中完全无法想象的。比如大名鼎鼎的函数——黎曼函数
我们还可以以黎曼函数为基础构造出更多病态函数来。
病态函数的出现,使人们对于函数的认识提高到一个新的境界,在这一历史进程中,狄利克雷的贡献是不可磨灭的!
版权声明:我们致力于保护作者版权,注重分享,被刊用文章【怎么证明函数的连续性(比狄利克雷函数更加诡异的函数)】因无法核实真实出处,未能及时与作者取得联系,或有版权异议的,请联系管理员,我们会立即处理! 部分文章是来自自研大数据AI进行生成,内容摘自(百度百科,百度知道,头条百科,中国民法典,刑法,牛津词典,新华词典,汉语词典,国家院校,科普平台)等数据,内容仅供学习参考,不准确地方联系删除处理!;
工作时间:8:00-18:00
客服电话
电子邮件
beimuxi@protonmail.com
扫码二维码
获取最新动态
