1.第11题的D选项,过3个点作几何体的截面,难点在于怎么样把这个截面补完成,突破点是把截完的截面往外不能继续与几何体相交了。2.第12题,考察用定义去证明周期 函数。3.第21题考察了有3个点在抛物线上的问题,属于简单题。4.第22题考察了极值点偏移,这个通过构造函数很容易处理,但是第2问如果没有做过类似的题目,很难想到怎么做。5.试卷整体评价:目前已经是11月份了,试卷整体难度不大,选填的压轴题都不难,第8题很容易想到构造函数判断单调性,第12题通过周期为4和奇函数也很快可以求出一个周期的解析式和图像。第16题考察的是解 指数不等式和对数不等式。17-21也都是常规题。只有第22题的第2问不是很好处理,所以区分度也不是很高。如果能把8.12.16题的难度再增加一些,这套试卷对于一轮复习的高三同学还是很不错的。6.试题及答案电子版需要的可以私信我,有数学问题也欢迎大家一起交流。
版权声明:我们致力于保护作者版权,注重分享,被刊用文章【证明周期函数(试题点评)】因无法核实真实出处,未能及时与作者取得联系,或有版权异议的,请联系管理员,我们会立即处理! 部分文章是来自自研大数据AI进行生成,内容摘自(百度百科,百度知道,头条百科,中国民法典,刑法,牛津词典,新华词典,汉语词典,国家院校,科普平台)等数据,内容仅供学习参考,不准确地方联系删除处理!;
工作时间:8:00-18:00
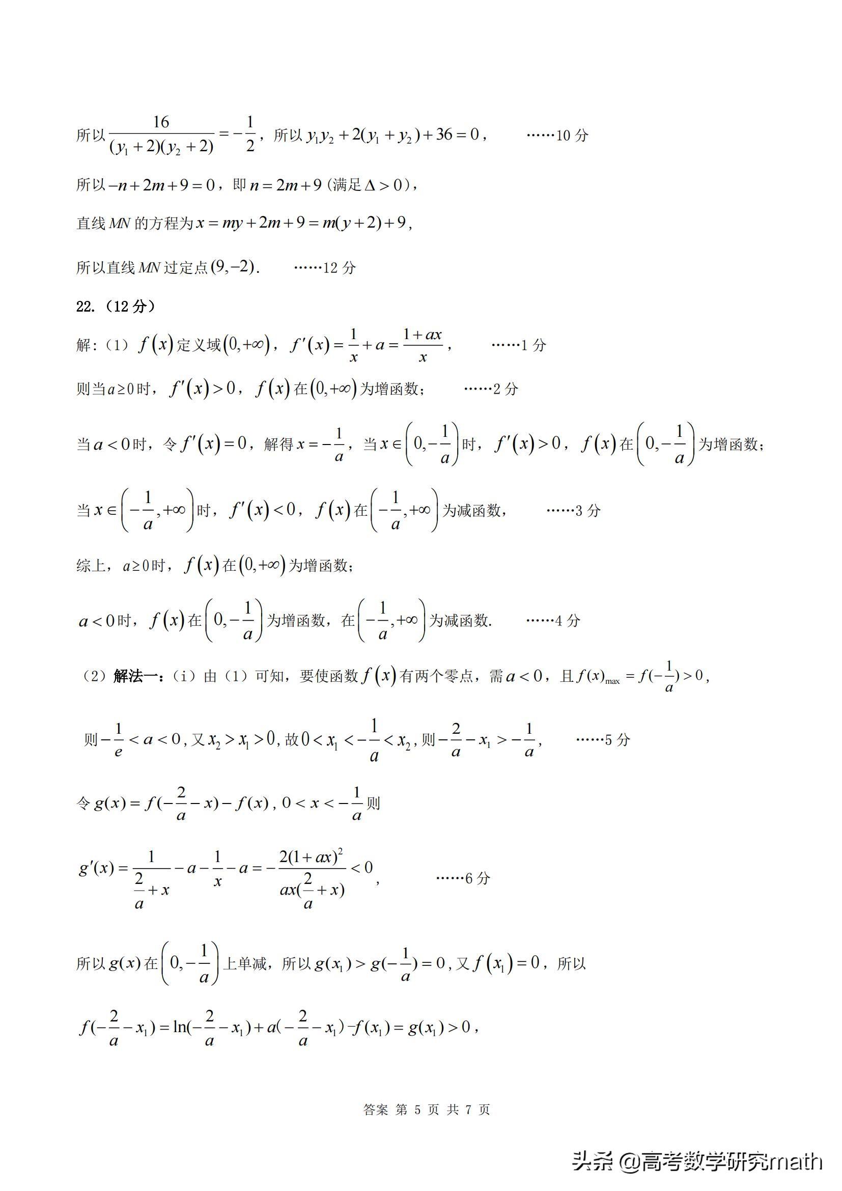
客服电话
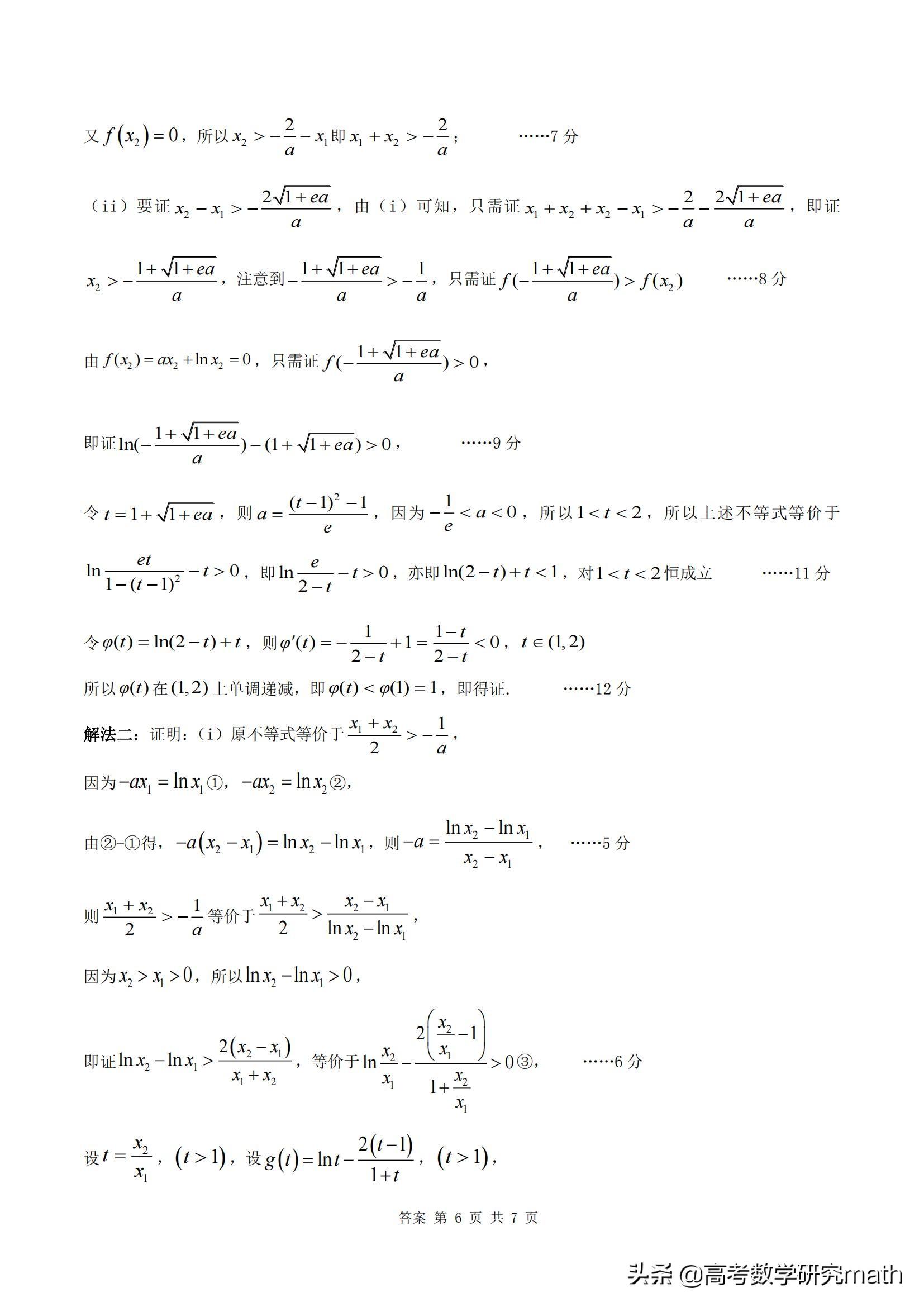
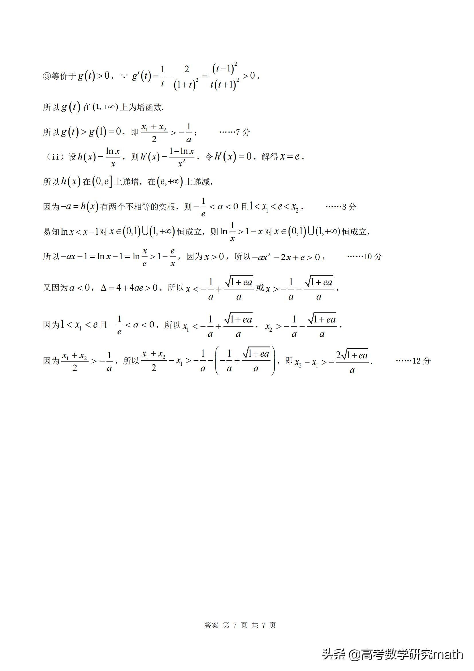
电子邮件
beimuxi@protonmail.com
扫码二维码
获取最新动态
