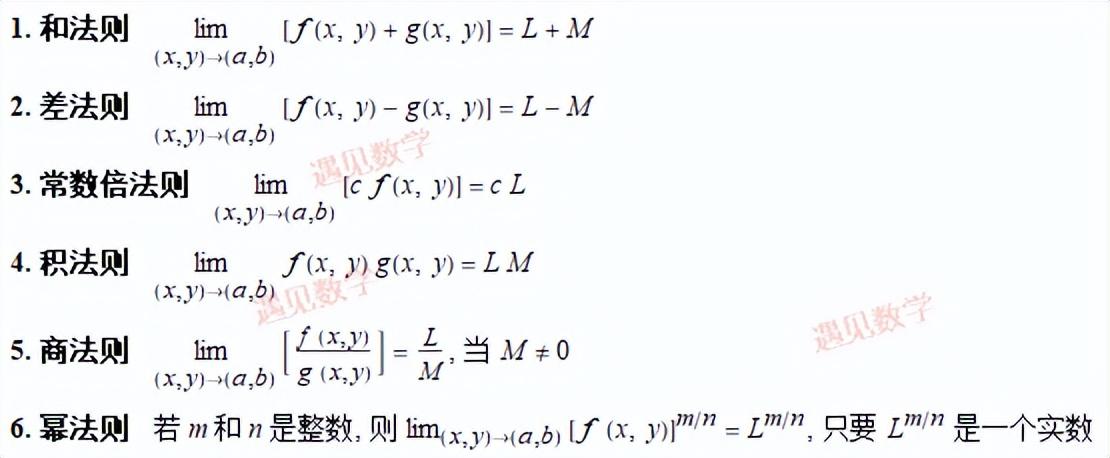
1. 平面向量/点积
2. 向量值函数
3. 笛卡尔坐标/点积/叉积
4. 空间中的直线和平面
5. 柱面和二次曲面
6. 向量值函数和空间曲线
7. 弧长和单位切向量
8. TNB标架;加速度的切向分量和法向分量
9. 多元函数
10. 高维函数的极限和连续
11. 偏导数
12. 方向导数, 梯度向量和切平面
13. 线性化和全微分
14. 极值和鞍点
15. Lagrange 乘子
16. 两个变量的 Taylor 公式
17. 二重积分
18. 极坐标下的二重积分
19. 直角坐标系下的三重积分
20. 线积分
21. 向量场
22. 第二类线积分, 环量和流量
23. 与路径无关, 势函数与保守场
24. 平面的格林(Green)定理
25. 曲面面积和曲面积分
26. 参数化曲面
27. Stokes 定理
28. 散度定
▌平面向量
测量某些事物的大小, 如质量, 长度和时间, 只需要一个数和一个测量单位. 相关实数为标量.
向量(vector, 或称矢量)是指一个同时具有大小和方向的几何对象, 可以用来描述力, 位移或速度.
只要向量的大小和方向相同, 即视为相等的向量. 另外如果向量 v 的起点在原点, 则称之为是 v 的标准位置. 观察如下图所示在二维平面(Two-dimensional)下, 当移动一个向量, 所留下轨迹上都视为相同的向量:
向量的分量形式:如果平面上的一个向量 v 等于起点在原点 (0,0) 终点在 (v1, v2) 的向量, 则 v 的分量形式是 v=(v1,v2)
向量 v 的长度表示成 |v| 或 ||v||.
任何长度为 1 的向量 v 为单位向量. 如果 v=(v1,v2)与正 x 轴成角 θ , 则 v=(cosθ, sinθ) . 当 θ 从 0 到 2π 时, 单位向量取遍所有可能方向, 则绘制出单位圆.
▌向量的代数运算
设 u=(u1,u2)和 v=(v1,v2) 是向量, k 是一个标量(实数).
加法: u + v = (u1+v1, u2+v2)
数乘: k u = (k u1, k u2)
向量加法的定义几何解释如下动画, 图中一个向量的起点置于两一个向量的终点.
向量加法的另一种表示称为加法的平行四边形定律, 其中的和称为合成向量, 是平行四边形的对角线. 再物理学中, 力, 速度以及加速度等都是按向量的方式相加. 观察下图两个向量之和(红色箭头).
一个标量 k 和向量 u 的乘积动画显示如下. 如果 k >0, 则 k u 与 u 有相同的方向; 若 k<0, 则 k u 和 u 有相反的方向.
两个向量的差 u - v 意义是 u - v = u + (-v)
▌标准单位向量
任何平面向量 v=(a,b) 都可以写成标准单位向量 i=(1,0) 和 j=(0,1) 的如下的线性组合:v = (a,b) = (a,0) + (0,b) = a(1,0) + b(0,1) = a i + b j
▌长度和方向
在研究运动时, 经常想要知道一个物体朝什么方向和运行有多快. 向量 v≠0 , 则 v/|v| 是一个和 v 同方向的单位向量.
▌切线和法线
当一个物体沿平面(或空间)内的一个路径运动时, 它的速度是路径的一个切向量.
一个向量是一条曲线再一个点 P 的切向量或法向量, 如果它分别平行或垂直于曲线再点 P 的切线. 请观察下图动画:
如果一个力 F 作用再一个路径运动的质点上. 我们经常需要知道力再运动方向的大小.
▌点积
两个非零向量 u=(u1,u2)和 v=(v1,v2)的点积(或内积)是数 u⋅v = u1v1+u2v2
▌向量间的夹角
两个非零向量 u=(u1,u2)和 v=(v1,v2)的夹角由下面式子给出:
特别注意: 向量 u 和 v 是正交的, 当且仅当 u⋅v = 0
▌向量投影
下面看看向量 u 在 v 上的向量投影动画:
▌把一个向量写成正交向量的和
在研究一个质点沿平面上(或空间中)的一个路径的运动时, 加速度向量就可以写成它的切向分量和法向分量之和.
▌平面曲线
当一个质点在时间区间 I 在平面内运动时, 可以把质点的坐标看做在 I 上的函数
点(x,y) = (f(t), g(t)) 形成平面上的曲线, 称它为质点的路径. 从原点到质点在时刻 t 的位置 P(f(t),g(t)) 的向量
是质点的位置向量, 函数 f 和 g 是位置向量的分量函数(分量). 质点的路径是在时间区间 I 由 r 绘制的曲线. 观察下面的向量函数
▌三维空间中的向量函数:
▌极限和连续
通过数值分量来定义向量函数的极限.
在一点的连续性
▌导数
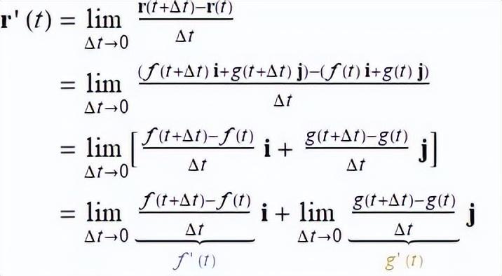
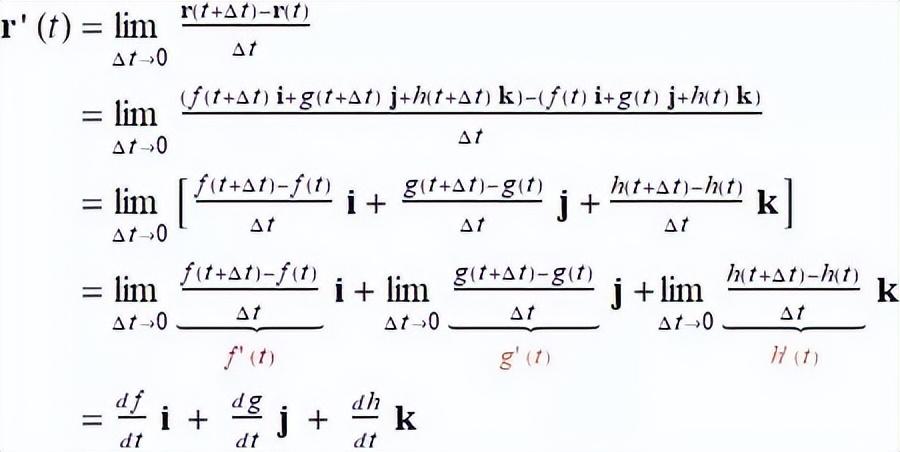
假定 r(t)=f(t)i+g(t)j 是沿一平面曲线运动的质点的位置向量, 而 f 和 g 是 t 的可微函数. 则质点位置再时刻 t+△x 和时刻 t 的差是△r=r(t+△t)-r(t), 用分量表示为:
观察下图
▌导数
从上面动图可以看到, 当 △t 趋于 0 时, 有三件事情同时发生:首先, Q 沿着曲线趋于 P:割线 PQ 看来趋于点 P 与曲线相切的位置;△r/△t趋于极限;
如果 dr/dt 是连续且从不为 0 , 则 r 描绘的曲线是光滑的.
因为向量函数的导数是按分量逐个计算的, 对可微向量函数的求导法则对标量函数的求导法则有同样的形式.
运动
再观察下面的图形
▌不定积分
r 对 t 的不定积分是 r 的所有反导数的集合. 用 ∫r(t)dt 表示, 若 R 是 r 的任一反导数, 则
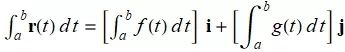
▌定积分
如果 r(t)=f(t)i+g(t)j 的分量在 [a,b][a,b] 上是可积的, 则 r 也如此, 并且从 a 到 b 的 r 的定积分是
当一个物体在空间中运动时, 其坐标方程 x=f(t), y=g(t), z=h(t) 提供了物体运动和路径的方程, 坐标为时间的函数. 如果采用向量记号, 可以把这些方程缩写为一个方程作为关于时间的向量函数的物体位置.
▌空间中的笛卡尔(直角)坐标和向量
为给空间的点定位, 需要由三条相互垂直的轴. 如下图所示轴组成右手坐标系
空间的点 P 的笛卡尔坐标 (x,y,z) 可用其位置向量表示. 如下图所示. 笛卡尔坐标也是直角坐标, 因为定义这种坐标的轴以直角相交.
▌空间中的向量
长度和方向与平面的情形一样, 若 v !=0 是空间中的非零向量, 则 v/|v| 是一个在 v 方向的单位向量. v 可以表示成它的长度和方向的乘积.
▌距离和空间中的球
半径为 a 中心为 (x0,y0,z0) 的标准球面方程:
▌点积和叉积
将之前研究的点积定义推广到空间. 然后对空间中的向量引入一个新的积, 称为叉积.
点积
空间中两个向量的点积(或内积, 数量积)以对平面向量同样的方式定义. 当把两个非零向量 u 和 v 的起点放在一起, 就形成一个大小 0<=θ<=π 的角.
垂直(正交)向量和投影
跟平面向量的情形一样, 两个非零向量 u 和 v 是垂直或正交的, 当且仅当 u·v=0 .
如果 u 表示一个力, 那么 projvuprojvu 表示在方向 v 的有效力.
▌空间中两个向量的叉积
空间两个非零向量 u 和 v. 如果 u 和 v 不平行, 那么就确定了一个平面. 这样可以用右手法则选择一个垂直于这个平面的单位向量 n. |u×v| 是平行四边形的面积.
▌转矩(力矩, Torque)
当我们再扳手上用一个力 F 转动一个螺栓时, 就产生一个转矩作用在螺栓的轴上以使螺栓前进. 转矩的大小依赖力作用在扳手多远的地方和多大的在作用点垂直于扳手的力. 转矩的大小 τ 是杠杆 r 的臂长和 F 的垂直于 r 的数量分量的乘积
▌三重积
三重积,又称混合积,是三个向量相乘的结果。向量空间中,有两种方法将三个向量相乘,得到三重积,分别称作标量三重积和向量三重积.
在一元微积分中, 应用了直线(切线)的知识研究平面曲线: 可微曲线是充分线性的. 现在从平面出发来研究函数图形的空间曲面.
▌空间中的直线和线段
空间中的直线由一个点和给出直线方向的一个向量确定.
可以观察如下图 L 是一条过点 P0P0 的平行于向量 v 的直线.
▌空间中的平面方程
空间中国的平面由它的一个点和决定"倾斜"方向的法向量决定.
请观察下面空间中的平面:
观察下面两个简化分量形式的平行平面方程:
▌相交直线
不平行的两个平面相交于一条直线. 也就是说两平面的交线正交于向量 n1n1 和 n2n2 (见下动图), 从而平行于 n1n1 x n2n2.
已经了解向量向量微积分和空间微积分所必需的两种特殊曲面, 空间的球面和平面. 现在再来看柱面和二次曲面.
柱面(cylinder)是直线(母线)沿着一条给定曲线(准线)平行移动所形成的曲面. 请见下面动图:
双曲柱面 y2−z2=1y2−z2=1 由平行于 x 轴并且过 yOz 平面上的双曲线 y2−z2=1y2−z2=1 的直线构成. 柱面在垂直于 x 轴的平面上的截线双曲线. 观察下图:
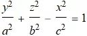
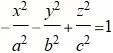
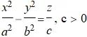
另一类曲面是二次曲面, 它是空间中 x, y 和 z 的二次方程图形, 最一般的形式是
其中 A, B, ..., K 是常数. 基本的二次曲面是椭球面, 抛物面, 椭圆锥面和双曲面.
观察下面动图在 (±a,0,0) , (0,±b,0) 和 (0,0,±c)截坐标轴, 三个坐标平面截曲面所得曲线都是椭圆. 其中 a = 3, b =4, c=5.
关于平面 x=0 和 y=0 对称. 曲面和轴的唯一交点是原点. 除这个点外, 曲面整个在 xy 平面上(若c>0) 或下方(若c<0). 观察下面 a=4, b=2, c=1 时的椭圆抛物面:
6. 向量值函数和空间曲线
就想平面曲线那样, 为研究空间中质点的运动轨迹, 研究从原点到质点的向量 r 变化. 这里假定质点的位置坐标是时间 t 的二次可微函数.
当一个质点在时间区间 I 在空间内运动时, 可以把质点的坐标看做在 I 上的函数:
点 (x,y) = (f(t), g(t)) 形成空间上的曲线, 称它为质点的路径. 从原点到质点在时刻 t 的位置 P(f(t),g(t),h(t)) 的向量:
是质点的位置向量, 函数 f 和 g 是位置向量的分量函数(分量). 质点的路径是在时间区间 I 由 r 绘制的曲线. 观察下面的空间曲线:
相同方式来定义空间向量函数的极限.
空间向量函数的导数与平面向量函数同样方式定义, 无非现在多了第三个分量.
导数定义的几何意义跟平面曲线一样, 观察下图 r'(t) 为点 P 的切向量.
向量函数 r 描绘的曲线是绕在圆柱上的螺线(Helix).
对光滑曲线要求 dr/dt != 0 是为了保证曲线在每点有连续转动的切线, 在光滑曲线上没有拐角和尖角. 现在观察有尖拐角的空间曲线情况.
微分法则与平面向量函数相同, 无非现在多了第三个分量.
现在来看下曲线形状的特征, 这些特征能描述曲线弯曲和扭曲的程度.
来看看怎样定义光滑曲线的距离. 其实与平面曲线一样, 观察下面动图:
选取以 t 为参数 曲线 C 上的点 P(t0)P(t0) 为基点, t 的每个值确定 C 上的一个点 P(t)=⟨x(t),y(t),z(t)⟩P(t)=⟨x(t),y(t),z(t)⟩ 和一个沿曲线从基点测量起的距离 s(t) 函数:
s 的每个值确定 C 上的一个点, s 称为曲线的弧长参数, 对于研究空间曲线的弯曲和扭转非常有用.
速度向量 v=dr/dt 切于曲线, 从而向量 T=v/|v| 是曲线的单位切向量, 它是描述空间物体运动标架的三个向量之一.
曲线的"弯曲"和"扭曲"并不是相同. 当一个质点沿平面光滑曲线运动时, T=dr/ds 随曲线的弯曲而转动. T 是单位向量, 在质点沿曲线运动时它的长度保持常值而仅仅方向改变. 单位长度 T 的转动率为曲率, 用希腊字母 [Kappa] 记号(读 kappa).
如果|dT/ds|大, T 在质点通过 P 时转动得就急剧, 在点 P 的曲率就大, 反之亦然. 可以观察下图:
当曲线弯曲时, 向量 dT/ds 指向 T 转动的方向. 也就是说, 主单位法向量指向曲线凹的一侧. 观察下面动图:
在平面曲线的 [Kappa]!=0 的点 P 的曲率圆是曲线所在平面上的圆周:
它在点 P 切于曲线(跟曲线有同样的切线)它在点 P 跟曲线有同样的曲率位于曲线的凹的一侧.曲线在点 P 的曲率半径是曲率圆的半径:
下面观察 y=x^2 的曲率圆动画:
笛卡尔坐标系对于描述运动的向量并非最合适的, 使用 TNB 标架来解释路径和沿路径运动的性质.T: 代表前进方向的单位切向量N: 代表路径弯曲方向的单位法向量B: 代表沿垂直与这两个向量确定的平面方向, 也就是从这个平面扭转出来趋势的次法向量, B = T x N .
三叶结,带有切线、法线和副法线沿曲线的动画:
每个运动体带着一个 TNB 标架运动, 该标架刻画了运动路径的几何特征. 比如 |dT/ds| 表明一辆车的路径向左向右弯曲程度, 称为车的路径的曲率;
-(dB/ds)·N 表明车的路径从运动平面扭转了多少, 称为车辆路径的挠率. 如上动图所示那样, 如果红点 P 是在弯曲公路上形式的汽车, 车灯的单位距离左右弯曲的变化率是公路的曲率, 而 T 和 N 确定的平面扭转的变化率是挠率.
空间曲线的单位切向量 T 定义与平面曲线一样.
从上面的动画可以, 当固定 a 而增加 b 时, 曲率减少. 当固定 b 而减少 a 时, 曲率也会减小. 这表明拉伸弹簧就有把它弄直的趋势.
如果 b=0, 螺旋线退化为半径为 a 的圆, 则曲率为 1/a. 如果 a=0, 螺旋线退化为 z 轴, 曲率为 0. 观察下面动图:
空间的次法向量是 B = T x N, 也就是同时正交 T 和 N 的单位向量. T, N 和B 定义了一个右手向量标架, 这对于计算在空间中运动的质点的路径非常有意义.
曲率 κ 只能为正值, 但挠率可正可负, 也可以为 0.
由 T, N,B 确定的三个平面如下图所示. 曲率 κ = |dT/ds| 可以理解为点 P 沿曲线运动时候法平面(Normal Plane)转动的速率. 挠率 τ 是点 P 沿曲线运动时密切平面绕 T 转动的速率.
当物体运动时, 主要关注的是在运动方向即切方向 T 的加速度是怎样.
加速度总在正交于 B 的 T 和 N 的平面内, 并且能从上式中可以得知在正切方向产生了多少加速度, 在正交运动的方法产生多少加速度. 并且加速度是速度的变化率, 所以切向分量反映的 v 的长度的变化, 而法向分量测量 v 的方向的变化速率.
便于计算曲率和挠率的公式:
定义 二元函数假定 D 是有序实数对 (x,y) 的集合. D 上的二元实函数 f 是一个规则, 它对 D 内的每个有序对 (x,y) 有唯一对应的实数 w=f(x,y). D 为 f 的定义域, w 的值的集合是值域.
xy 平面上的集合 R 的一个点 (x0,y0) 是完全含于 R 内的圆盘的中心, 称为 R 的内点(Interior Point).
一个点 (x0,y0) 是 R 的边界点(Boundary Point), 如果每个以 (x0,y0) 为中心的圆盘有不属于 R 的点, 也有属于 R 的点.
如果一个集合完全由内点组成, 则称为开集. 如果一个集合包含它的所有边界点, 则称为它为所有边界点, 则称为它为闭集.
平面有界集合比如: 线段, 三角学, 三角学内部, 矩形, 圆周和圆盘. 无界集合: 直线, 坐标轴, 定义在无穷区间上的函数图形, 象限, 半平面和平面.
在平面内, 二元函数取常数值 f (x, y) = c 的点组成函数定义域内的曲线.
观察下图 f(x,y)=xe^(−x^2−y^2) 的图形及等位线和等高线图形.
三元函数 f 是对空间的某个定义域 D 的每三元组(x,y,z) 指定一个唯一的实数 w=f(x,y,z) 的规则.
在空间内, 三元函数取常数值 f(x,y,z)=c 的点组成函数定义域内的曲面, 称之为等位面.
因为三元函数的图形由点 (x,y,z,f(x,y,z)) 组成, 在四维空间内, 无法在三维空间内绘制出来. 不过可以通过观察它的三维等位面了解它的行为.
比如下面动画, 观察函数定义域的等位面. 等位面在定义域内移动时显示函数值的变化. 可以看到常数值等于 1,2,3 时候的球面(为了更方便观察内部结构, 只显示出3/4体积). 假如离开原点的话, 函数值就会增加, 反之亦然. 函数值的改变依赖于移动的方向.
二元和三维函数极限定义类似一元函数极限定义, 但有一点重要的不同之处. 先来回顾一元的极限定义.
如果 (x0,y0)(x0,y0) 是 f 定义域内, (x, y) 可以从任何方向接近 (x0,y0)(x0,y0).
二元函数的连续定义与一元函数一样.
如下图函数极限随路径不同而变化, 所说当 (x,y)趋于 (0,0) , f 没有极限(或者说可能是 -1 到 1 的任何值 )
对于多元函数, 当我们把一个自变量固定, 对另一个变量求导, 这样就是求偏导. 现在来看下偏导数的定义以及如何计算.
二元函数的偏导数
如果 (x0,y0)是函数 f(x,y) 定义域中的一点, 固定平面 y=y0 割曲面 z=f(x,y) 得到曲线 z=f(x,y0) (如下图红色曲线所示).
在点 (x0,y0)对于 y 的偏导数定义类似 f 对于 x 的偏导数. 现在只是把 x 固定在 x0 的值, 而取计算 f(x0,y) 在 y0 对 y 的普通导数. 请看下面的动画:
更多元的函数偏导数类似二元函数定义, 只是对某一个变量求导, 而其余自变量为常数.
一元函数导数即意味着连续, 但二元函数 f(x,y) 不同, 在一个点不连续, 但对 x 和 y 可以求偏导.
二阶导数就是对函数求导两次, 但注意求导次序如果是先对y 求偏导, 再对 x 求偏导应该这样的写法:
在计算二阶混合导数时候, 可以按任意次序微分.
如果 fx(x0,y0 和 fy(x0,y0) 存在, 并且 Δz 满足下面的等式:
其中当 (Δx,Δy)→(0,0) 时 (ϵ1,ϵ2)→(0,0), 则函数 z=f(x,y) 是在 (x0,y0) 点可微的.
如果它在定义域内的每个点都是可微的, 则说 f 是可微的.
多元函数偏导存在且连续推出函数可微, 但反之不成立, 这点与一元函数不同
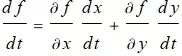
根据链式求导法则可知, 如果 f(x,y) 是可微的,则 f 沿曲线 x=g(t), y=h(t) 对于 t 的变化率是下面式子:
上面式子 f 对于 t增量的变化率依赖于沿曲线运动的方向.
函数 z=f(x,y) 表示空间曲面 S. 则点 P(x0, y0,z0) 在 S 上. 过点 P 和 P0 的 u 方向的垂直平面交 S 与曲线 C. f 沿方向 u 的变化率是 C 在点 P 的切线的斜率. 观察下面动画:
方向导数推广了两个偏导数, 现在可以求沿任何方向的变化率了.
一个更有效的计算 f 在 P0cbf;P0方向 u 的方向导数的公式,就是 u 与 f 在 P0P0 梯度的点击.
根据上式, 当 cosθ=1 时, u 与 ▽f 同方向时, 函数 f 增加最快, 类似, 反方向减少最快. 而正交于梯度的方式 u 是 f 变化率为 0 的方向, 此时 θ=pi/2.
函数 f(x) = x^2/2+y^2/2 在 (1,1) 增加最快的方向梯度的方向, 它对应于在点 (1,1,1) 在曲面上最陡峭的方向.
函数 f(x,y) 的定义域的每个点 (x0,y0)(x0,y0), f 的梯度正交于过 (x0,y0)(x0,y0) 的等高线.
创建互动等高线,把法线显示为一个点:
f 沿方向 u 的变化有多少, 如从点 P0P0 沿 u 移动一点点距离 ds , f 的值变化多少等于方向导数乘以ds .
现在再看三元可微函数 f(x,y,z), 与之对应的单位向量 , 则
三元可微函数 f(x,y,z) 的梯度向量满足二元函数梯度的所有性质.
观察下面 "-17+x+2 y+4 z=0" 的等位面上的切平面动画:
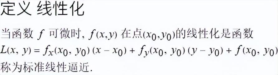
二元或多元函数的线性化和微分类似一元函数的线性逼近. 先来回顾下一元的公式.
用更简单的二元函数来代替函数 f(x,y).
也就是 z=L(x,y) 是曲面f(x,y) 在点 (x0,y0) 的切平面. 观察下面动画来查看函数 f(x,y) = -x^2−y^2 在点 (0,0) 的线性化逼近.
从上图可以看到二元函数的线性化切平面逼近与一元函数的切线线性化逼近是非常类似的.
现在考虑逼近的精确度是如何衡量的, 这里受到三个因素的影响:
x 和 x0 的接近程度y 和 y0 的接近程度函数 f 在点 (x0,y0)附近的弯曲程度(可以用二阶导数衡量)用微分来预测变化
多元函数函数的最值需要通过函数的偏导数来求解, 也是多元微分学的一个重点. 工程应用中有很多地方都用得到: 例如一个平面热金属上最高温度是多少? 位置在那里? 一个给定的函数曲面最高点如何达到? 这些都需要考察函数的的偏导数来解答.
不过先来回顾下一元函数求极值的步骤, 可微函数(光滑曲线)是连续的. 所以极值可能会在 f'(c)=0 、区间的端点或一个或多个内点不可微的地方, 这些点都需要加入到考察的范围中.
二元函数也类似这样的请看, 极值点可能出现在区域边界点或两个偏导为 0 的内点或一个或两个偏导数不存在的地方.
我们来分辨 二元函数中那些点是局部最大, 局部最小或是全局最大, 全局最小, 请看下面动画所示:
局部最大值对应的函数曲面的山峰, 而局部最小值对应的谷底. 对于这样的点, 切平面存在时一定是水平的. 与一元函数一样, 可以用一阶导数判别法来判断局部极值.
但请注意上面定理的局限性. 它不适用于定义域的边界点(边界点有可能有极值, 且有非零导数). 另外它也不能用于 fx 或 fy 不存在的地方.
这样, 函数 f 仅有的极值的点是临界点或边界点. 与一元函数可能存在拐点一元, 二元可微函数可能存在鞍点.
观察下面两条图形中鞍点:
观察下面函数 x^2−y^2 的鞍点(红点), 此函数没有局部极值.
上面定理就是说如果 D(a,b) > 0, 则曲面在任何方向以同样的方式弯曲:如果 fxx < 0 , 则朝下, 产生局部极大;如果 fxx > 0 , 则朝上, 产生局部极小;
如果 D(a,b) < 0, 则曲面某些方向向上, 某些方向向下, 从而会有鞍点的产生.
海森矩阵(Hessian matrix) 为下面矩阵形式, 其行列式即为上面判别式.
如果是求定义域内约束在某个区域内函数的极值, 可以用本次讲述的 Lagrange乘子法.
约束最大值和最小值
观察下面函数 f(x,y)=49-x^2−y^2 受约束 g(x,y)=x+3y-10=0 的图形.
求双曲柱面 x^2−z^2-1=0 上到原点最近的点的一个方法是设想中心在原点的球面不断膨胀, 直到刚刚接触到柱面. 此时柱面和球面有同样的切平面和法线.
若函数 f(x,y,z) 的变量受约束 g(x,y,z)=0限制, 函数的极值可以用下面Lagrange乘子法求出.
现在看函数 f(x,y)= x y 在椭圆 x^2/8+y^2/2=1 上的最大值和最小值, 现在看下解的几何解释. f(x,y)=x y 的等高线图是双曲线 x y=c , 如下:
从上图可是双曲线离开原点越远, f 的绝对值越大. 需要在约束条件下 - 椭圆 x^2+4y^2=8 上使 f(x,y) 取极值点. 也就是刚刚与椭圆相切的双曲线会距离原点最远, 在这四个切点中, 双曲线的法线也是椭圆的法线. 观察下图动画, 可以看到黑色 "▽f"是 "▽g"的数值倍数.
如果是两个约束限制的可微函数求极值, 这里 g1(x,y,z)=0 和 g2(x,y,z)=0, 可微且梯度向量不平行. 可以通过引进两个 Lagrange乘子 λ 和 μ, 通过求解下面方程中的 x,y,z,λ,μ 值来求出极值点的位置:
曲面 g1=0 和 g2=0 通常会相交于一条曲线 C. 沿着这条曲线寻找 f 相对于曲线上其他值的极大值和极小值的点.
例如下面例子中平面 x+y+z=1 (g1)相交于圆柱 x^2+y^2=1 (g2) 为一个椭圆, 求这个椭圆上离原点最远的点. 观察 ▽g1 正交于平面 x+y+z=1, 而 ▽g2 正交于曲面 x^2+y^2=1, 向量 ▽g1 和 ▽g2 位于垂直与椭圆曲线的 C (下图红色)的平面内. 并且 ▽f 也正交于 C, 且在 ▽g1 和 ▽g2 决定的平面内, 这意味这对于某个 λ 和 μ 有 ▽f = λ ▽g1 + μ ▽g2. 观察下图来更好理解:
Taylor 公式提供了对二元函数的多项式逼近, 含前 n 项导数项给出的泰勒多项式. 最前面三项为函数的线性化, 最后 一项为逼近的误差. 可以观察下面函数 sin(x)sin(y) 在原点逼近的动画:
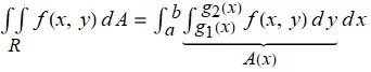
将一元函数积分推广来看对于连续函数 f(x,y) 如何求二重积分. 每个二重积分都可以方便地用定积分的方法分步进行计算.
设 f(x,y) 在矩形区域 R: a<=x<=b, c<=y<=d 上有定义. 如果 R 被分别平行于 x 轴和 y 轴的直线网格所划分成许多小块面积 ∆ A="∆ x∆ y" . 如下动画所示
当网格不断进行细分使 ∆x 和 ∆y 都趋近零时, 则趋于 R 的面积趋近于极限值, 则称该极限值为 f 在 R 上的二重积分, 记为:
值得注意的是 f 函数的连续性是二重积分存在的一个充分条件, 对于许多不连续的函数, 该极限也存在.
连续函数的二重积分也有一些代数性质:
当 f(x,y) 为正函数时, 则可以把矩形区域 R 上的 f 函数二重积积分视为曲面为 z=f(x,y) 的棱柱体的体积.
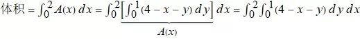
现在 计算 xy 平面内矩形区域 R : 0<=x<=2, 0<=y<=1 在平面 z=4-x-y 下面的体积。 求其二重积分的过程请看下面的动画。
也就是说体积可以这样计算出来: 先固定 x, 将 4-xy 先关于 y 从 y=0 到 y=1, 然后再对所得 x 的表达式关于 x 从 x=0 到 x=2 积分. 则体积可以写成表达式:
上述表达式称为二重积分或累次积分(iterated integral).
Guido Fubini(圭多.富比尼) 在1907年证明了矩形域上任意一个连续函数的二重积分都可以用两种累次积分的任一种次序计算.
函数 f(x,y) 在非矩形区域 R 上的二重积分, 设想被网格覆盖, 不过在 R 内的小块面积为红色, 如下图所示:
可以看到随着网格不断细分, R内包含的小矩形方块越来越趋于零时, S 就会有极限, 则称该极限为 f 在 R 上的二重积分:
如果 f(x,y) 为正, 且在 R 上连续, 则曲面 z=ff(x,y) 与 R 之间的立体趋于的体积为:
观看下面的动画:
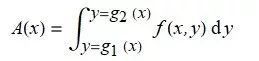
在 xy 平面内, 如果 R 是一个由两条曲线 g1(x) 和 g2(x) 围城的区域. 则也可以用切片法来求体积. 先计算截面面积 A(x):
然后再对 A(x) 从 x=a 到 x=b 作积分可以求得体积:
观察下面动画 A(x) 从 x=a 到 x=b 作积分的过程:
如何用极坐标来表示二重积分, 从而更加方便的进行计算, 它的计算公式如何推导请看本节内容.
用极坐标表示二重积分与直接坐标系下的二重积分一样, 在极坐标系下也是将整个区域分割成一系列小块, 请看下面的动画所示划分过程, 橙色的小区域不断地变小:
假设如果函数 f(r,θ) 定义在区域 R 上, 其边界为 θ=α, θ=β, 和曲线 r=g1(θ) 和 r=g2(θ). 观察下面的动画, 在区域 R 内小矩形为浅蓝色. 随着不断分割, 这些极坐标下的小矩形越来越小.
下面聚焦一小块极坐标矩形的面积是如何计算的, 请看下面的图形:
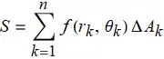
观察上图, 设 (rk,θk) 为面积为 ∆ A 的小块中心, 然后有下面和式:
如果 f 在区域 R 上连续, 当网格不断细分后, ∆ r 和 ∆ θ 都趋于0. 这时 S 会趋于极限值. 此极限为 f 在 R 上的二重积分, 记为:
将上面∆ A 代入和式中, 则累次积分为:
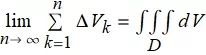
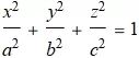
假设 F(x,y,z) 为一个空间有界闭区域 D 上的函数. D 为下面立体椭球所占区域. 将空间区域分割成小长方块. 体积记为 ΔVk, 其长宽高分别为Δxk, Δyk, Δzk , 并有下列的求和式:
观察下面动画, 当空间不断分割, 每个小方块的体积 ΔVk 不断变小:
如果 F 连续, 且 D 的边界曲面分片光滑, 其交为连续曲线, 那么当 Δxk, Δyk, Δzk 趋近于 0 时, Sn 有极限:
空间区域的体积
如果 F 是常数函数 1 , 那么 D 的体积就是三重积分:
先来观察下面的三重积分的直观展示动画:
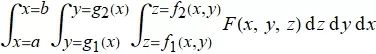
如何找出三重积分的积分限, 如果先对 z 作积分, 再对 y, 最后对 x, 采用下列步骤:
第一: 画出空间区域 D 及其投影区域 R.第二: 确定 z 积分限. 过 R 内一点 (x,y) 做一条垂直于 z 轴的直线. 在 f1(x,y) 进入区域 D, 在 f2(x,y) 离开 D. 这便是 z 的积分限.第三: 确定 y 的积分限过点 (x,y) 做平行 y 轴的直线, 在 g1(x) 进入 R, 在 g2(x) 处离开 R, 这就是 y 的积分限.第四: 确定 y 的积分限. x 的积分限为保罗所有通过 R 且平行 y 轴的直线.空间 - 函数的积分平均值
F(x,y,z) 是空间区域 D 上一立体的密度, 则 F 平均值就相当该立体的平均密度, 可以有下面公式定义:
利用线积分可以计算变力沿空间路径所做的功, 流体沿曲线和通过边界流动的速率.
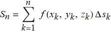
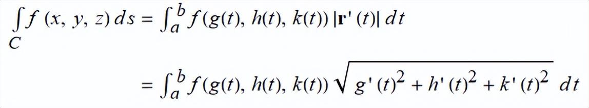
设 f(x,y,z) 为实值函数, 定义域包含曲线 C: r(t)=g(t) i+ h(t)j + k(t)k, a<=t<=b. 将曲线分割成有限线段. 设一小段弧长为 ∆sk, 并取上取点 (xk,yk,zk) , 有和式:
如果 f 连续, 且 g, h 和 k 均有一阶连续到时候. 那么当划分区间数量 n 不断增加, 小段弧长 ∆sk 趋近于零时, 称为相应的极限为 f 在曲线上从 a 到 b 的线积分, 记为:
线积分(第一类曲线积分)的物理意义就是求曲线质线的质量, f(x,y) 为线密度, ds可以被看作积分路径上的一段很小的"弧长".
其几何意义上求柱面的面积:
用等分点将 C 分成 n 小段, 随着划分数量趋于无穷, 小矩形宽度 λ 趋于 0, 而全部小矩形面积之和就等于柱面的面积 :
线积分可以计算空间中光滑曲线的质量分布问题, 设质量分布函数 δ(x,y,z),
若曲线C 上对连续函数 f(x,y,z)可用下面方式来计算线积分:第一步: 找出曲线 C 的参数表达式: r(t)=g(t) i+ h(t)j + k(t)k, a<=t<=b第二步: 计算积分式子:
如果 f 取值为常数 1, 那么 f 沿 C 的线积分就是计算曲线 C 的长度.
向量场(Vector Fields)
平面或空间区域上的向量场是个函数, 即区域内的每一个点都对应一个向量.
如果各个分量函数 M,N,P 是连续的, 则这个场是连续. 并且三分量是可微的话, 则向量场是可微场.
下面先来看几个向量场的图形, 绘制向量 {2,1} 的向量场图, 也就是每个地方都存在向量 (2,1).
再看下面的向量图, 只有向量的水平分量, 也即是说这个向量场总是水平的, 并且向量的长度取决于 x .
下面这个向量场中的向量同时有两个分量, 其实就是从原点呈放射状, 并且向量大小随着与原点的距离增大而增大.
一旦我们理解平面的情况, 我们就可以来看三维的向量场图, 在空间中的每一点处都有一个向量. 每个有x,y,z三个分量表示出来, 其中每个分量都是 x,y,z 的函数.
空间中向量场看起来很难有直观的感觉, 为了看的更清楚绘制切片曲面上的三维向量图, 这样四维的可视化会更能清晰表示在三维区域上的向量值. 比如从下面图形可以看到整个图形是由 {0,0} 向外背离原点, 且越靠外边, 向量长度越大
梯度场
如下面绘制马鞍曲面上梯度构成的向量场图.
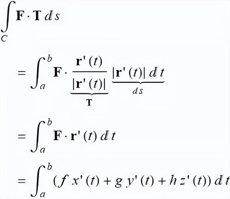
也就是第二类线积分. 假设向量场 F(x,y,z) =M(x,y,z)i+N(x,y,z)j+P(x,y,z)k 表示空间区域中分布的力, r(t) 为该区域内一光滑曲线 r(t) =g(t)i+h(t)j+k(t)k, a≤t≤b . 那么 F·T 为 F 在曲线的单位切向量上的标量, 沿曲线的积分即为力 F 沿曲线从 a 到 b 所做的功.
也就是把曲线轨迹分成这些很小很小的线段, 对每个线段都有一个与之对应的单位切向量, 并求出每个向量与对应外力的点积, 并把所有的点积加起来, 自然而然就得到所求的结果. 请看下面的动画:
第一类线和第二类积分可以看下面动画显示出的区别来:
现在看三维中力场中质点的运动, 它的轨迹比较复杂(螺旋线), 并且外力不是恒力. 也就是每个点处的外力都不一样, 现在想要算出外力所做的总功, 数学上也是采用第二类线积分(在向量场中的线积分)来解决.
观察下面三维力场, 为了更清楚观察, 故只在将三个主轴平面上向量标识出来.
正如前面所述 F 和 T 的内积实际上就是 F 在单位切向量上的投影, 计算出来的结果再做第一类曲线积分. 也就是把曲线轨迹分成这些很小很小的线段, 对每个线段都有一个与之对应的单位切向量, 并求出每个向量与对应外力的点积, 并把所有的点积加起来, 自然而然就得到所求的结果. 我们来观察下面的动画来理解整个过程:
真正计算的话, 并不会按照定义的方式来进行, 假设 F= {f,g,h} 有三个分量, 且曲线 C 的参数方程为: r(t)=(x(t), y(t), z(t)), a ≤ t ≤ b, 则会按照下面式子来进行计算线积分的结果.
如果假设 F 不是力场, 而是空间中的速度场, 这种情况下 F·T 沿曲线的积分就是流体沿曲线的流量.
如果想要计算流体流过有 xy 平面一光滑曲线 C 所围成区域的速率, 只需要计算 F·n 在 C 上的线积分. 这是流体速度场在曲线的外法向量方向上的分量. 这个积分值既是 F 穿过 C 的流量(Flux).
下面是平面内穿过一闭曲线的流量(Flux Across a Closed Curve in the Plane)定义:
Path Independence, Potential Functions, and Conservative Fields
在有些场中(引力场和电场), 移动一物体(如电荷)在开区域 D 内从 A 到 B 所要做的功仅依赖物体移动的起始点和终点, 不依赖这两点经过的路径. 对于这样情况就成积分 ∫F⋅dr 在 D 内是路径无关的, 并称 F 在 D 上是保守的.
观察下面的动画在 F = (2x+y, x-y) 的场中, 沿着在两点间 3 种不同的路径做功总是相等结果 -8.
在保守场(Conservative Field)中的线积分将会与路径无关, 只与起始点和终点有关.
一旦为场 F 找到一个势函数 f, 那么就可以方便地算出两点间做功的积分了.
线积分的基本定理(Fundamental Theorem for Line Integrals) 为计算保守场中的线积分提供了一种方便的方式:
如何计算保守场的流量积分, 需要先对场建立势函数, 求出路径端点的值. 当向量场不是保守场时候, 如何计算穿过平面闭曲线的流量和通量积分呢. 可用格林定理, 将线积分变成二重积分.
向量场的散度, 也称为在场中某一点的通量密度(flux density). 设 F(x,y) = M(x,y)i + N(x,y)j为一平面流体的速度场, 则在点 (x,y) 处的散度(Divergence)或通量密度为:
观察下图动画, 如果 Source 处散度为正, 则流体从源处流出, 如果为负, 则流进(或压缩)到该点处.
在平面区域旋度(环量密度, Circulation Density)正向为绕 z 轴逆时针旋转, 可视为流体绕某一点旋转的速率. 在旋转方向为逆时针则旋度的 k-分量为正, 反之为负. 也就相当在度量一个"涡轮"以什么方向旋转以及旋转有多快, 可以观察下面动画:
观察下面两个动图, 在向量场 F(x,y)=(Cos(y)-1. Sin(x)^3, -0.1 y-1. Sin(x)) 中取 9 个不同点处的旋度和散度的情况:
格林定理揭示了曲线所围的区域与边界上线积分的关系.
Green 定理(通量 - 散度形式或法向形式)计算曲面积分的技巧是要将其转换成平面区域的二重积分.
观察下图曲面 S 以及它的垂直投影.
将所有小平面分割近似所有的小区面, 这样就构成了曲面 S , 因此其和式就是曲面 S 面积的一个近似, 而不断的细分 R 后, 即为下面二重积分的近似.
观察下面小切面近似曲面的动画:
即第一类曲面积分, 利用上面计算曲面面积的思想:
称光滑曲面 S 可定向或是双侧的.
下图的莫比乌斯带不是可定向的. 当一个单位法向量移动一圈后, n 的方向刚好与出发方向相反.
也就是第二类曲面积分. 假设曲面 S 在 F 向量场中, n 为曲面某点处的单位法向量, 则 F 沿正向穿过曲面的通量为 F⋅n 在 S 上的积分.
空间曲面定义有 3 种方式;
显示: z = f(x,y)隐式: F(x,y,z) = 0参数化曲面: r(u,v) = f(u,v)i + g(u,v)j + h(u,v)k设 r(u,v) = f(u,v)i + g(u,v)j + h(u,v)k 为 uv 平面区域 R 上定义的连续向量值函数, r 值域所定义的曲面 S 如下图所示. 变量 u 和 v 为参数, R 为参数定义域.
参数化曲面 r(u,v) = f(u,v)i + g(u,v)j + h(u,v)k 是光滑的, 如果 ru 和 rv 都连续且 ru×rv在参数化定义域内不为 0.
下面 uv 平面中的小矩形面积映射为曲面 S 上的一块小曲面面积.
应用上一节中小切平面来近似小区面面积的方法, 可以求得小平行四边形的面积为:
将其 uv 平面划分成小矩形区域, 与此相对应也会将曲面 S 剖分为小曲面面积元素 ∆σ . 所有这些小曲面面积对应的小平行四边形区域相加就是曲面 S 面积:
可以写成 dσ 简写的形式:
上面就曲面参数方程形式得出来求曲面面积的公式, 现在来看参数形式表示曲面上的积分了.
Stokes 定理告诉我们, 三维空间中的曲面边界上上的线积分等于函数旋度在法向分量在曲面积分.
之前看到在二维空间中向量场 F = Mi + Nj 在某点的旋度是一个数值 ∂N/∂∂x−∂M/∂y∂N∂x−∂M∂y.在一个三维空间内流速场中, 旋度可以度量场中某点 P 的旋转程度. 旋度为一个向量, 方向为该旋转轴的方向(旋转平面的法向量), 场中最大旋转的速度向量为:
观察下面动图, 三维空间中曲面不同的点处旋度:
点1 - 旋度>0, 逆时针旋转;点2 - 旋度<0, 顺时针旋转;点3 - 旋度=0.01, 几乎不旋转;Stokes Theorem 是格林定理旋度形式在三维空间的推广. 当向量场是连续的, 且在曲面 S 上处处可微的情况下, 定理成立.
Stokes 定理: 向量场 F = Mi + Nj + Pk 绕一个定向曲面 S 的边界 C 沿与曲面单位法向量 n 成逆时针方向上的环流量等于 (∇×F)⋅n 在 S 上的积分.
可以观察下面动图, 来更好地理解 Stokes 定理.
曲线 C 一定要是一个空间中封闭的曲线, 但是曲面 S 可以是任何一个以 C 为边界的曲面(如下动画所示):
由 Stokes 定理可知, 如果两定向曲面 S1 和 S2 有相同的边界 C, 则他们的旋度积分也相等.最后推荐观看《轻松理解散度和旋度 - 数学知识的动画解析》这个短片, 一定会有更深的理解.
二维平面 Green 定理 - 散度法向形式说的是, 在向量场中穿过简单闭曲线的向外流量可以通过下式做积分求得散度:
类似在三维空间中的散度定理就是指, 在三维向量场中穿过一闭曲面的向外净流量由曲面区域做散度积分.
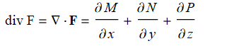
向量场 F = (M,N,P) = M(x,y,z) i+N(x,y,z) j+P(x,y,z) k 的散度是数量函数
观察下面动画显示向量场 F 中一些点处的散度值:
div F > 0, 显示红色数值或红色球体, 表示流体从源处流出;div F < 0, 显示绿色数值或绿色球体; 表示流体的流入汇聚;散度(高斯)定理把一个向量场通过曲面的通量(向量场垂直穿过)与曲面内部的向量用下面等式联系起来.
就是说向量 F 通过闭曲面 S 沿其外法线方向的流量等于 ∇⋅F 在由曲面所围成区域 D 上的三重积分, 观察下面闭曲面 S 沿其外法线方向的流量展示:
版权声明:我们致力于保护作者版权,注重分享,被刊用文章【怎么证明多元函数连续(高等数学知识的动画解析)】因无法核实真实出处,未能及时与作者取得联系,或有版权异议的,请联系管理员,我们会立即处理! 部分文章是来自自研大数据AI进行生成,内容摘自(百度百科,百度知道,头条百科,中国民法典,刑法,牛津词典,新华词典,汉语词典,国家院校,科普平台)等数据,内容仅供学习参考,不准确地方联系删除处理!;
工作时间:8:00-18:00
客服电话
电子邮件
beimuxi@protonmail.com
扫码二维码
获取最新动态
