道法自然!这个道,在微积分中就是微积之道,辩证之道。这个自然,就是本篇要讲的,自然数e。
本篇算是一元微积分的最后一篇,之后介绍多元微积分了。以我的经验,一元微积分中,最不能理解的就是自然数e。非常另类的一个数。这篇来探讨一下。希望看了这篇后,少则能对e有个全面的认识,多则能够结合之前微积分的各种定理公式,达到新的高度,在哲学层面理解一元函数微积分所揭示的宇宙真理。
我们先来看pi,圆周率。这个好理解,望文即可生义。圆周率——关于圆的周长的一个比例。那么e呢?自然数?一个很自然的数?还是大自然的一个数?看着就非常不自然。但它却是是一个来自于大自然的非常自然的数。
微积分书介绍e,有些会从银行存款开始,但归根结底,都会引向同一个极限,三大基本极限之一。书中也会给出计算过程。贴在下面供参考。
这个推导过程强烈建议自己推导几遍。一来可以加深对e这个值(仅仅是数值,还不是物理意义)的由来,二来可以充分体会夹逼原理。
夹逼原理在微积分里是一个非常常用的手段,本质思想是用一个简单的已知的东西,代替考察未知的复杂的东西。这个思想在一元函数微积分,多元函数微积分之后的众多定理都会使用到,还很好使!可以说,微积分里跟定量型定理沾边的证明过程,基本都用上了这个思想。这个思想还有一个名词,以直代曲,以好带坏,能延伸出非常多的奇技淫巧,甚至于说它还诞生了一个叫级数的概念,和一门叫信号与系统的学科,都不为过。这个极限是夹逼原理的第一次正式使用,熟练之!
但很遗憾,这么看,e还是非常的不自然!
但首先我们可以知道,并要记住,e是计算出来的一个数,就像pi一样!从极限的概念看,是一个函数的极限值。
上面说了e这个数值2.718...,是怎么计算的。现在从使用这方面来看,哪些公式或者方程,或者讨论到哪些问题了,会接触到e。
极限之后的章节,除了初等函数的导数公式表,没啥能和e正面接触的机会了。直到微分方程。一元函数的微分方程主要是一阶常系数线性微分方程。求解会有e的影子,这是第二次跟e正面接触。
先来说,整个微积分中,你跟e会有3次正面接触:
基本极限微分方程傅里叶级数(书中一般称作傅里叶积分)关于微分方程的定义和求解过程,一阶和二阶的,书中有详细的求解步骤和物理意义。不再赘述,暂时没啥形而上的东西可讲。(看清了是暂时!)。最多就是关于二阶方程的解中的振荡发散、临界阻尼振荡等。对比着图形看解,就能知道其几何意义,非常直观。可以找一门专业课,我是由于自身专业关系,找了电路,RCL电路的解就是一个很典型的二阶方程的解,对比大阻尼小阻尼临界阻尼,甚至无阻尼,都可以有很好的物理意义。
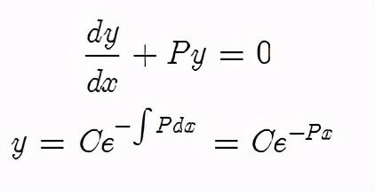
先从一阶方程讲,
似乎看来,e的出现是一阶方程的解。只要一个物理量的变化,满足变化率和存量之间有这个关系,这个变量就会按照e指数规律运行。从纯数学角度好理解,只有e^x,导数是自己,积分也是自己,其他函数都没有这个特点。而然这个依然是形而下的,为什么一个物理量就一定要按照这样的dy/dx + Py的形式?不这样不行吗?
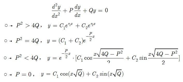
再来看看二阶的
有没有发现,依然是e^x,只不过一阶中,x是实数,整个解是实指数函数。二阶中是x是复数,整个解是复指数。对应到阻尼振荡中,有临界阻尼,无阻尼等等。
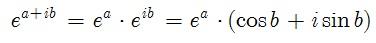
通过复指数公式
我们可以看到,复指函数中,x=a+ib,a对应着e^a,就是图形的包络,决定图形的最终趋势,是发散的a>0,还是收敛的a<0,还是不变的a=0。b对应着怎么走向趋势,e^ib=cos+isin。简单一句话,就是振荡着过去的。看着下面两张图,细品一下,a和b的作用,趋势和振荡。
这样看来,微分方程的解,其实是一个e指函数,无非就是变量是实数还是复数。我们从方程的角度考察了e的来源,但还是不够深入,没有挖出后面那个大boss。
讨论e的究极来源,从微积分是看不出的,云深不知处,只缘身在此山中!我从信号与系统课程入手给你分析。
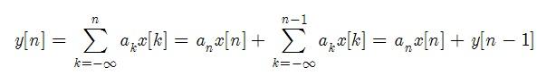
首先补习一下信号与系统。粗略的,别较真!信号就是自变量是时间的一元函数,如电流,电压等等。系统就是有一个输入,弄吧弄吧,产生一个输出的盒子。为了方便起见,我们只看离散系统,所谓离散,就是自变量那个时间t,不取连续值,取一份份的值n。
先来看一个最简单的系统:y[n]=x[n]。吃啥吐啥,没含量吧,直通型。复杂一点:y[n]=x[n-1]+x[n]。系统的输出跟当刻的输入和前一刻的输入有关。
有没有跟后一刻的输入有关?qnmd!这不符合因果律了,系统能预知下一刻了
再复杂一点,系统的当刻输出,跟当刻输入,和所有之前的输入有关:
可以说,现实世界都是这样的系统,因为实际系统中,内部元件多少都会对输入有一种“惯性”或者说“迟滞”或者说“振荡”,信号不可能通常无比地到达输出口,能量会在系统内部产生回音。信号与系统课程中,这个称为有记忆系统,如LC电路,阻尼弹簧。
这就是离散系统的差分方程模型的由来!也就是说,能量在系统内部传输时的“惯性”,导致了描述系统的时域方程必然是差分形式的。同理,体会一下微分方程怎么来的!
顺着的路径:e从数值上讲是一个极限的值。这个极限有一个特点,就是导数和积分都是自己。所以微分方程的解必然是e的某种形式,这里就是e指函数。而微分方程是能量传输的惯性导致的必然结果。
逆着这条路,你就能体会e的究极来源,它实际上体现的是能量流淌的惯性!细品!
如果宇宙的能量有个惯性的度量,那么宇宙的能量是2.718...kg!
微分方程结合了微分和积分。其结果又是e的表现函数。宇宙中所有的变化,归根结底都是能量的流淌,能量2.718kg的表现。微分和积分这两条任督二脉在极限而走两道,在e处汇集,二脉已通。气自然运转,你此刻应该看到了这个宇宙不一样的景色。对自然数这个称谓应该有了不一样的体会,确实是“自然数”,没有比e更自然的了,pi都轮不上啊!
再从一个实际系统体会一下e。举个例子,RLC电路。RLC电路,微积分中有,信号与系统有,电路原理也有,是一个非常经典的电路。RLC可以用微分方程描述。
通过上面的分析,你应该知道,没有第二个解了!只有微分方程描述
解的分析根据R的值,有不同的阻尼,但是最终还是以指数形式区域0,LC决定了振荡频率,R决定了阻尼大小。
如果R=0,无阻尼,只有振荡。物理上看,能量在电容电能和电感磁能之间来回变换。注意,只是能量的形式在变换,能量本身不变。别扯电磁辐射先!永远如此震荡下去。
如果L或C=0,无振荡,只有按指数区域0。物理上看,能量从电能变成热能消耗掉。因为整个电路中没有来回倒腾了,所以内部没有振荡。
总体上来讲,LC构成了系统内部的两个池子,能量在这系统内部来回流转,流转速度按三角函数来。如果加进了R,系统能量有了对外输出,按e指速度流出系统。
再总结一下,整个宇宙就是能量的流淌,任何形式的系统,对能量的流淌都会产生惯性,在时域用方程描述,就会是微分方程。其解必然是e指的某个形式。
这种惯性,从微观上来讲,可以用统计分析。将能量想象成微小粒子,符合热运动的统计学规律。这里不展开了,留着自己细品!
这里还有一个小尾巴,凭什么能量在系统内部流转是三角振荡,对外流淌就是e指收敛?hoho,欧拉出来走两步看看,明白了吧。为啥?
三角函数就是指数函数,指数函数就是三角函数。形而下一点,为啥级数只有泰勒级数和傅里叶级数?因为初等函数是好函数,好函数就是幂函数和三角函数和指数函数三种。而三角函数和指数函数本质上就是一个函数!一个函数!一个函数!所以你翻遍微积分也找不出第三个级数展开(除了泰勒和傅里叶)。而且傅里叶级数里有e!通过此文的分析,你应该能体会到,如果没有e,那才怪了!对不对
信号与系统会花一整本书的时间来讨论这个e,傅里叶和欧拉,我上一篇就说了,他们是真理的领路人!你可以这么看,欧拉引出了e,傅里叶让你熟悉了e。
一元函数微积分,从极限开始,到导数,到微分、积分,最后到微分方程,一路下来。我们从微和积的统一矛盾开始,辩证法开始,讨论微分和积分,到最后,发现了宇宙的惯性e。算是终点了。也就是说,一元函数微积分,通过e呈现了曲线(对应傅里叶级数的复数表示形式)这个中心矛盾点,通过微和积两个辩证角度考察了曲线。宇宙就是按照e的复指数函数运行的,宇宙能量的重量就是2.718...kg!
一元函数微积分,归结起来,就是上面一段话。要打通任督二脉还是得靠自己不断的推导定理,做题,看书,特别是与其他课程融会贯通。最终领悟真谛!当你回头看微积分里的罗尔定理,洛必达法则,牛顿莱布尼兹公式,都觉得自然无比,都是理所当然的时候,就是真正领悟微积分的时候了。
多元函数微积分,将揭示宇宙运行的另一个规律——守恒律!任你能量千变万化,千淌万流,都逃不出我掌心。
还记得那两个令我慎得慌的端点吗?嗯,会出现的,黑白无常啊。还会碰到更多,更有意思的东西,如实数算不算矢量,梯度散度旋度的物理意义,有没有超距作用,为啥矢量外积不满足交换律,为啥矢量有外积和内积,宇宙到底有边没边。hoho,相比之下,一元微积分是不是非常简单了?
版权声明:我们致力于保护作者版权,注重分享,被刊用文章【怎么证明多元函数连续(微积分笔记)】因无法核实真实出处,未能及时与作者取得联系,或有版权异议的,请联系管理员,我们会立即处理! 部分文章是来自自研大数据AI进行生成,内容摘自(百度百科,百度知道,头条百科,中国民法典,刑法,牛津词典,新华词典,汉语词典,国家院校,科普平台)等数据,内容仅供学习参考,不准确地方联系删除处理!;
工作时间:8:00-18:00
客服电话
电子邮件
beimuxi@protonmail.com
扫码二维码
获取最新动态
