大雪。大雪已过。
“有梅无雪不精神,有雪无诗俗了人。”突然有种想写诗的冲动。
嗯,诗呢?
今天来到火锅店,口水馋到掉一片。七分肉肉三分素,不海吃一顿不舒服……
好诗。百般享受,无非是为了掩饰对寂寞的忍受。人生苦短,数学万难,挣扎已不知从何而起,唯有大快朵颐,方能忘乎所以、逍遥自在。
题目短小而精巧,这才是数学题该有的样子。不像某些题目,似乎说了许多,又似乎什么也没说,装饰华丽的外表下是一大堆无关紧要的废话。
解决向量问题,常见的方法有基底法和坐标法,辅助于几何意义(平行、垂直、圆、三角形的四星等)可以事半功倍。
另外,复数与平面向量有着千丝万缕的关系,因此,平面向量的许多操作手法可以类比到复数(本次南开中学月考的第7题便是如此)。
坐标法是处理向量问题的基本方法,大多数题采用建系的方式都能圆满解决,本题也不例外。建系应使得向量的坐标简单为依据,尽可能让更多的向量落在坐标轴上。
通过建系可以很明确地判定点B在定圆A上(如上图),点C在动圆M上,观察可得│OC│≤│OM│+R,而R=1,且│OM│≤│OA│+│AM│=2,故│OC│≤3。
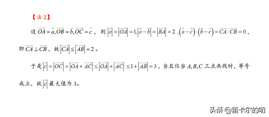
由于本题的几何意义十分明显,不建系反而更加快捷,法2便是如此。
法2,首先利用垂直得到直角边不大于斜边,然后利用绝对值三角不等式放缩求出结论。这里充分体现了向量运算的优越性。
需要注意的是,两个向量的数量积等于0是两个向量垂直的充要条件,切忌误认为两个向量本身为零向量,这是极易犯错的地方。
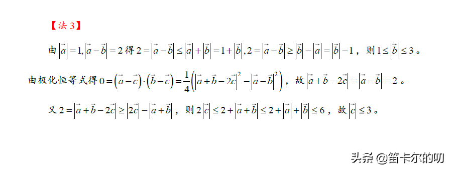
法3,首先利用绝对值三角不等式求得│b│的范围(事实上只需最大值),然后利用极化恒等式(见脑洞)将向量的数量积转化为模,最后借助绝对值三角不等式求出结论。
法1常规而朴素,却未必看得起;法2直截了当,又未必学得来;法3,一番操作猛如虎,临场发挥却未必靠谱。你选哪种?
照单全收,只有小孩子才会选择。
只怕那是噩梦般的开始,理想与现实总是存在着强烈的反差,贪,最终欲罢不能。
1.极化恒等式:
2.平行四边形模式与三角形模式:
版权声明:我们致力于保护作者版权,注重分享,被刊用文章【绝对值三角不等式证明(第二百二十六夜)】因无法核实真实出处,未能及时与作者取得联系,或有版权异议的,请联系管理员,我们会立即处理! 部分文章是来自自研大数据AI进行生成,内容摘自(百度百科,百度知道,头条百科,中国民法典,刑法,牛津词典,新华词典,汉语词典,国家院校,科普平台)等数据,内容仅供学习参考,不准确地方联系删除处理!;
工作时间:8:00-18:00
客服电话
电子邮件
beimuxi@protonmail.com
扫码二维码
获取最新动态
