你听说过极限吗?你知道什么是极限吗?
你以为的极限弄不好只是别人的起点——韩寒
容易受伤的小心脏
好啦!好啦!别斗图了,言归正传!
极限是高等数学中非常重要的概念,极限的思想贯穿高等数学始终。连续的定义、导数的定义、定积分的概念,还有无穷级数的敛散性等,都要用到极限的思想,因此可以说极限的思想是高等数学的灵魂。
知识关系图
不仅如此,极限还是数学界的文艺青年,很多成语和诗文中都包含极限的思想,如"望穿秋水"、"大江东去浪涛尽"、"孤帆远影碧空尽"等等。
“孤帆远影碧空尽,唯见长江天际流”——李白
诗句中极限思想
李白的这句诗就是数学概念和文学意境的碰撞,诗的意境正好契合极限的概念。极限是对孤帆远影的现实精确化、形式化的解释。你可以想象一下:当朋友的小船在烟波浩渺的江面上越走越远,直至消失在天际的尽头,只剩下滚滚的江水在天边孤独的奔流。整个过程正好体现了无限远处的逼近是0,量变引起质变。
早在春秋战国时期就出现了极限思想的萌芽,庄子在《庄子.天下篇》中记载
"一尺之锤,日取其半,万世不竭——庄子"
这正是古人对极限的一种思考,同时也是“无穷小量”一个实例。
庄子
刘徽是我国古代魏晋时期伟大的数学家,中国古典数学理论的奠基人。他在数学方法和数学理论上作出了杰出的贡献 。 他独创性的提出了“ 割圆术 ”,即利用圆的内接正多边形去逼近圆的面积, 他是这样说的:
“割之弥细,所失弥少,割之又割,以至于不割,则与圆周合体而无所失矣”
割圆术
刘徽的这句话包含了“用已知逼近未知 , 用近似逼近精确”的重要极限思想。利用上面的方法,他在计算了3072边形的面积后,计算出了圆周率 π=3.1416.
多边形面积逼近圆的面积
古希腊人的“穷竭法”也蕴含了极限思想,这种方法是由古希腊数学家欧多克斯提出,他用这种方法计算复杂几何图形的面积和体积,其思想和刘徽的割圆术具有异曲同工之妙。穷竭是极限思想的几何先驱,也是定积分概念的雏形。
穷竭法计算复杂图形面积
1、数列极限
定义 按一定次序排列的一列数
这一列数叫做数列,如果当n无限增大时,数列{xn}无限接近某个确定的常数A,则称A为数列{xn}的极限。
数列的变化过程
由图像可以看出数列变化的趋势,可得此数列极限为0。
数列变化过程
这一题中数列的数在1的上下来回摆动,但变化趋势是与1的距离越来越小,因此数列极限为1。
数列可以看作自变量为正整数的函数,只有当n无限增大时,数列无限接近某个确定的常数A,才能说数列极限是存在的,此时数列收敛于A;否则若数列极限不存在,则称该数列发散。
判断数列极限是否存在,首先可以把数列的前几项写出来,这样有助于我们发现数列变化的规律。当数列极限是无穷大及数列极限不唯一时,都称数列是发散的。
2、函数的极限
函数的极限要比数列的极限复杂一些,从自变量的趋近方式上来看,自变量可以趋近无穷,也可以是某个常数。无论哪种趋近方式在语言上都可概括为两个“无限接近”,即当自变量无限接近某个常数时(可以是∞),函数值无限接近某个确定的 常数A,则称常数A为函数f(x)在这种趋近方式下的极限。
例 考察函数y=1/x,当x→∞时函数的变化趋势。
反比例函数
由图像可以看出
因此,可得
注 x→∞意味着同时考虑x→+∞和x→-∞,只有两者都存在且相等时,才可以说 x→∞函数极限存在。
例 分别讨论x→+∞、x→-∞和x→∞时,反正切函数y=arctanx的极限。
反正切函数
由图像可以看出
因此,x→∞时,反正切函数y=arctanx的极限不存在。
3、极限的ε-δ定义
极限的定义可以概括为两个“无限接近”,但从数学的角度,这种叙述是严格的。
德国数学家威尔斯特拉斯在为中学生授课时,为了让自己的学生更好地理解微积分中最重要的极限概念,创造性的给出了极限的ε-δ,极大的促进了数学分析的精确化。至今本科阶段的高等数学及数学分析教课书中一直都在沿用他给出的极限的ε-δ定义。
维尔斯特拉斯
ε-δ定义是从静态的观点出发,把变量解释成一个字母(该字母表示某区间内的数),给出了严格定量的极限概念:
数列极限的ε-N定义:设有数列{an},A有限的常数,若对任意ε>0,总存在正整数N,当n>N时,有|an-A|<ε,则称数列{an}的极限为A。
函数极限的ε-δ定义:设函数 f(x) 在点 a 的某空心领域 U(a,δ′) 内有定义,A为有限阐述,若对任意的 ε>0,总存在某个正数δ(<δ′),使得当0<|x-a|<δ时,都有|f(x)-A|<δ,则称函数 f(x )当x→时极限存在,且以A为极限。
极限的ε-δ语言系统使用静态的有限量刻画动态的无限量,排除了微积分中的各种错误提法,建立了极限概念清晰而明确的定义,为分析严密华做出了不可磨灭的贡献,为实分析和复分析打下了坚实的基础。
例 有小兔一对,若第二个月它们成年,第三个月生下小兔一对,以后每月生产一对小兔。而所生小兔亦在第二个月成年,第三个月生产另一对小兔,以后亦每月生产小兔一对,试问一年后共有小兔几对?以后每月的增长速度怎么样?
问题假设
1. 假定每产一对小兔必一雌一雄;
2. 均无死亡。
兔子繁殖示意图
观察一下数列之间有什么样的关系?
兔子数列
可以看到一年以后兔子的数量有233对。
以上数列正好满足递推关系:
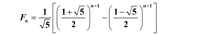
这正是有名的斐波那契(Fibonacci)数列,即从第三项开始,每一项正好是前两项之和。
Fibonacci数列的通项
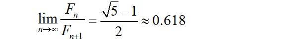
与Fibonacci 数列紧密相关的一个重要极限
这正好是“黄金分割”,这说明在以上假设成立的条件下,多年后成年兔子与仔兔数量均以每月61.8%速度增长。
斐波那契数列与黄金分割
有关极限的应用的例子还有很多有趣的实例,如数的分杈、证券投资的艾略特“波浪理论”等,在后续文章中会逐渐呈现
极限的思想贯穿高等数学始终,只有彻底的搞懂极限的概念,能用极限的思想去思考问题、分析问题、解决问题,才能在高等数学今后的学习中不感到迷茫。极限的计算还有很多的技巧,比如利用极限和连续的关系直接带入求极限;利用两个重要极限求极限;利用等价无穷小替换求极限;利用洛必达法则求极限等等,有关极限的运算技巧会在后续文中更新,敬请期待!
版权声明:我们致力于保护作者版权,注重分享,被刊用文章【高数极限定义证明(高等数学学不好)】因无法核实真实出处,未能及时与作者取得联系,或有版权异议的,请联系管理员,我们会立即处理! 部分文章是来自自研大数据AI进行生成,内容摘自(百度百科,百度知道,头条百科,中国民法典,刑法,牛津词典,新华词典,汉语词典,国家院校,科普平台)等数据,内容仅供学习参考,不准确地方联系删除处理!;
工作时间:8:00-18:00
客服电话
电子邮件
beimuxi@protonmail.com
扫码二维码
获取最新动态
