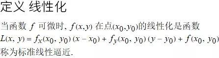
二元或多元函数的线性化和微分类似一元函数的线性逼近. 先来回顾下一元的公式.
用更简单的二元函数来代替函数 f(x,y).
也就是 z=L(x,y) 是曲面f(x,y) 在点 (x0,y0) 的切平面. 观察下面动画来查看函数 f(x,y) = -x^2−y^2 在点 (0,0) 的线性化逼近.
从上图可以看到二元函数的线性化切平面逼近与一元函数的切线线性化逼近是非常类似的.
现在考虑逼近的精确度是如何衡量的, 这里受到三个因素的影响:
x 和 x0 的接近程度
y 和 y0 的接近程度
函数 f 在点 (x0,y0)附近的弯曲程度(可以用二阶导数衡量)
用微分来预测变化
转发既是支持, 我们会努力走得更远!
版权声明:我们致力于保护作者版权,注重分享,被刊用文章【证明二元函数可微(线性化和全微分)】因无法核实真实出处,未能及时与作者取得联系,或有版权异议的,请联系管理员,我们会立即处理! 部分文章是来自自研大数据AI进行生成,内容摘自(百度百科,百度知道,头条百科,中国民法典,刑法,牛津词典,新华词典,汉语词典,国家院校,科普平台)等数据,内容仅供学习参考,不准确地方联系删除处理!;
工作时间:8:00-18:00
客服电话
电子邮件
beimuxi@protonmail.com
扫码二维码
获取最新动态
