文章来源:公众号【机器学习炼丹术】
在SVM中,将约束问题转化成非约束问题采用到了拉格朗日乘子法。这个文章就讲一下拉格朗日乘子法与KKT约束是怎么回事。本人不是数学科班出身,但是也只能硬着头皮讲一讲了。
现在我们要解决这样一个问题:这个函数距离原点最近的距离是多少。
先画出函数图像:
然后想求出最短距离:
这里的思路就是,做一个以原点为中心的圆形:
不断扩大圆形的半径,直到圆与蓝色的曲线相切:
现在。第一次与相交的点就是距离原点最近的那个点:
这个,圆形与曲线相切,且切线既是圆形的切线,也是曲线的相切。
这时候,这个切线的垂线其实也就是我们所说的梯度,也叫做等高线的法线,看下面两个图可能会好理解一些:
那么这个梯度怎么计算呢?先看圆形的梯度:
再看曲线的梯度计算的梯度:
在相切的时候,两者的梯度方向都在同一条直线上,可以称之为,成比例,这里用比例系数来表示:
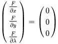
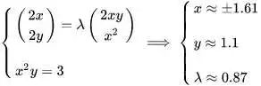
所以我们汇总一下所有的已知信息,得到下面的方程组:
可以求解得到:
这个就是拉格朗日乘子法的直观理解。
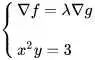
我们要解决的问题:
我们会将约束问题通过拉格朗日乘子法转换成非约束问题:
【为什么可以这样呢?】如果求极值,偏导数为0。先对上面的公式进行求偏导数:
这两个等式与这个等价,唯一的不同就是一个是正数一个是负数:
当然,对于这个条件,我们也可以写成,所以,可以得到这样的一个方程组:
之前的拉格朗日的约束条件是等值的,现在可以通过KKT条件推广到不等式。因为限制条件往往是不大于,小于这样的不等式,所以KKT才是拉格朗日化约束问题为非约束问题的关键。
对于不等式问题,就是有两种情况:
可行解在g(x)<0;可行解在g(x)=0。可行解在g(x)<0,就表示这个约束条件并没有起到约束效果,有跟没有是一个效果(下图中的左图);可行解g(x)=0,就表示这个约束条件起到作用了,这就表示g(x)与f(x)相切,也就是下图中右边的图。
【g(x)<0的情况】这种情况下,就是没有限制条件下的情况,其实就是没有约束条件的限制,也就是的情况,所以我们的等式就是直接求解:
【g(x)=0的情况】如果是g(x)=0的情况,那也就是约束条件起到作用了,也就意味着。在这种情况下,存在着:并且两个函数的扩张的方向相反,所以表明两个g(x)和f(x)的梯度一个是正数,一个是负数。所以这个表示。
所以综上所述,在这种情况下,我们所有的条件综合起来可以得到,其中就是最优解:
这三个就是KKT条件。
版权声明:我们致力于保护作者版权,注重分享,被刊用文章【拉格朗日乘数法证明(通俗易懂)】因无法核实真实出处,未能及时与作者取得联系,或有版权异议的,请联系管理员,我们会立即处理! 部分文章是来自自研大数据AI进行生成,内容摘自(百度百科,百度知道,头条百科,中国民法典,刑法,牛津词典,新华词典,汉语词典,国家院校,科普平台)等数据,内容仅供学习参考,不准确地方联系删除处理!;
工作时间:8:00-18:00
客服电话
电子邮件
beimuxi@protonmail.com
扫码二维码
获取最新动态
