文/曹程锦(许兴华数学/选编)
(西安市西北工大附中 曹程锦)
众所周知的,证明不等式的方法多种多样,技巧层出不穷,笔者试图给出一个较为巧妙的思想方法——递推法,递推是通过有限认识无限的一种技术,通过可以操作的有限把握无法触及的无限,显然,数学归纳法是典型的递推技术的应用。递推不是对问题进行直接攻击,而是借助于一种关系使问题转化获解。因而,有时有限也可通过无限来处理。本文旨在系统介绍此法在证明一些较为复杂的数列不等式问题中的应用,注重分析问题,解决问题的思维过程,渗透思想方法,提高解决问题的能力。应用举例如下:
评注:加强要求是强化的一方面,将问题一般化也是强化的一方面,可谓“遇强则弱”.、“欲伸则屈”。同时对原命题进行弱化或加强是重要的数学思维方法,即体现了数学的哲学辩证思维观点.
(许兴华数学)
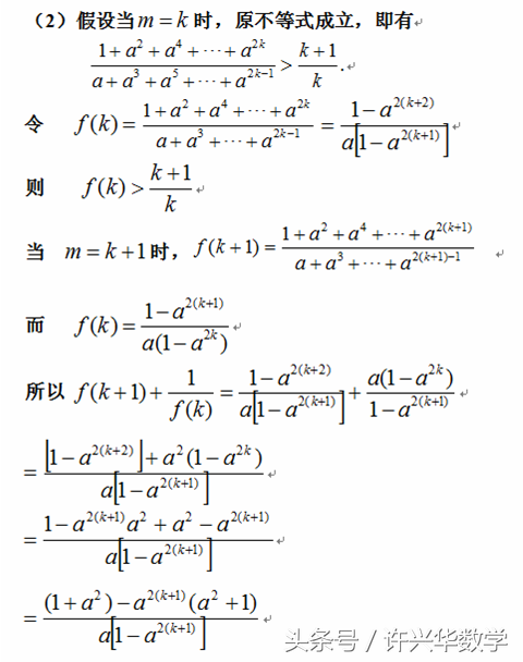
在直觉猜测尝试数学归纳法直接证明失败的基础上,用映射观点改变原不等式的代数结构(两边取对数,改为和的线性结构),使用数学归纳法去证明:
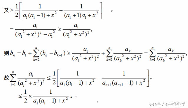
显然上式
评注:本题的证明过程主要在于抓住要证结论的代数结构特征,从而可以从构造函数入手,这是解决本题的关键所在,本题的证明可通过连续两次使用数学归纳法来实现。同时,通过类比进行直觉猜测是常用的数学探索性思维方法,方法类比迁移的成功则是数学内在统一性的体现。直觉猜想和逻辑通常构成数学创造和发现的两翼,它们的作用是互补的,它们只能比翼齐飞,猜想是通向创造的康庄大道而逻辑则捍卫了数学理性的尊严。
(许兴华数学)
关于这一点,读者简单演算便知,限于篇幅,不再赘述。
本文研讨方法主要体现为数列不等式问题依托它的函数背景来讨论,通过深入研讨函数性质并结合数学归纳法或者是间接的构造递推式、使用递推结构解决数列的有关问题,而递推法是离散数学的主流性方法,有较高的理论和应用价值,在图论、数论、代数数列、组合数论、组合几何等多领域中均有渗透,数学归纳法的实质即是递推法,递推法——堪称数列不等式的“御用保镖”!
欢迎关注今日头条号"许兴华数学":
许兴华数学(东方IC图片)
版权声明:我们致力于保护作者版权,注重分享,被刊用文章【数学归纳法证明数列(从考题谈方法)】因无法核实真实出处,未能及时与作者取得联系,或有版权异议的,请联系管理员,我们会立即处理! 部分文章是来自自研大数据AI进行生成,内容摘自(百度百科,百度知道,头条百科,中国民法典,刑法,牛津词典,新华词典,汉语词典,国家院校,科普平台)等数据,内容仅供学习参考,不准确地方联系删除处理!;
工作时间:8:00-18:00
客服电话
电子邮件
beimuxi@protonmail.com
扫码二维码
获取最新动态
