上海自从高中教改后,每个学校讲的进度和课程安排完全不一样,部分区重点和普高还在讲解立体几何,部分八校已经讲解到数列。
数列做为上海高考一直以来的压轴题,真的是出尽了风头。这里面数列求通项是一个难点,今天我们就把求数列通项的九种技巧讲解一下。
若题设中含有或通过变形整理可得递推关系an+1=an+f(n),其中{f(n)}是可求和数列,则可考虑利用累加法求数列的通项公式。
题目1
解析1
若题设中含有或通过变形整理可得递推关系an+1=f(n)an,其中{f(n)}是可求积数列,则可考虑利用累乘法求数列的通项公式。
题目2
解析2
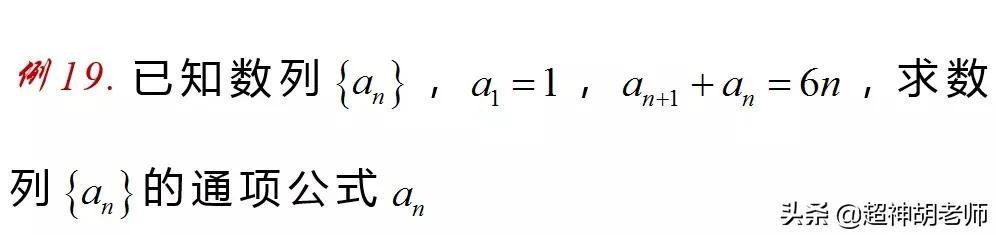
如果有以下关系可以用待定系数法
Tips:待定的时候,要注意左右两边待定的是同一个函数,但是具体要根据下数列下角标走的,最后构成的是等比数列。
题目4
解析4
题目5
解析5
题目6
解析6
题目7
解析7
前提数列是正项数列,才可以左右同时取对数。另外所取对数的底数,取决于系数
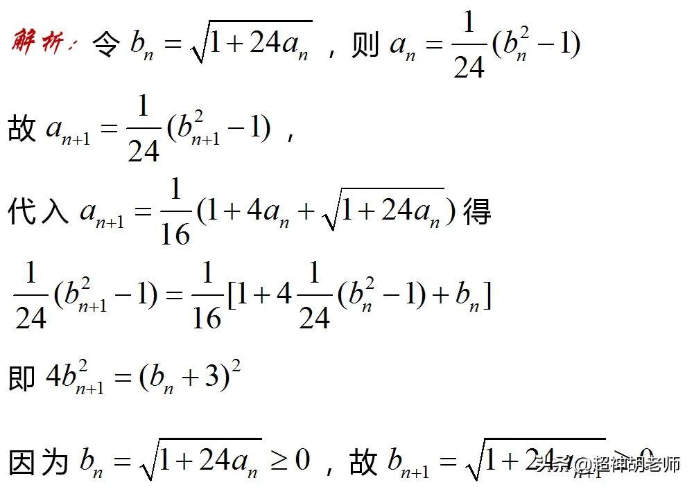
题目8
解析8
题目9
解析9
题目9
解析9
题目10
解析10
题目10
解析10
题目11
解析11
题目12
解析12
题目13
解析13
题目14
解析14
题目15
解析15
题目16
这是上海特有的一种方式,方法就是通过递推,找出部分项,然后猜测验证的过程。
格致中学高三月考题
我是超神胡老师,一个喜欢分享自己观点的数学老师,喜欢我的文章记得点赞,关注,评论三连。爱你们[爱慕][爱慕][爱慕]
版权声明:我们致力于保护作者版权,注重分享,被刊用文章【数学归纳法证明数列(数列求通项的十种技巧)】因无法核实真实出处,未能及时与作者取得联系,或有版权异议的,请联系管理员,我们会立即处理! 部分文章是来自自研大数据AI进行生成,内容摘自(百度百科,百度知道,头条百科,中国民法典,刑法,牛津词典,新华词典,汉语词典,国家院校,科普平台)等数据,内容仅供学习参考,不准确地方联系删除处理!;
工作时间:8:00-18:00
客服电话
电子邮件
beimuxi@protonmail.com
扫码二维码
获取最新动态
