圆锥曲线是高中解析几何的重点和难点,运算量之大,相信所有经历过的学生都有感触,而正因为代数运算之繁琐,更使得代数思维在圆锥曲线这个舞台上,有了极大的发挥空间。
最早研究圆锥曲线的集大成者是古希腊数学家阿波罗尼奥斯(约公元前262~190年),阿波罗尼奥斯在其著作《圆锥曲线论》中将圆锥曲线的性质几乎网罗殆尽。当然,那个时候还没有平面直角坐标系,更没有解析几何的概念,但其著作中已经有了坐标制的思想,直到1800多年后的17世纪,笛卡尔建立坐标系,创立解析几何后,对圆锥曲线的研究才有了进一步的扩展。
阿波罗尼奥斯(约公元前262~190年)
高中阶段对圆锥曲线的学习,还处于非常基础的阶段,圆锥曲线的性质可以列出数百条,本文仅对高考考点中涉及的椭圆的部分性质进行汇总。(双曲线及抛物线的性质另文详述,欢迎大家持续关注)
注:以下仅讨论焦点在x轴上的椭圆性质。
1.第一定义
平面内与两定点F1、F2的距离的和为常数2a的动点P的轨迹叫做椭圆,其中2a>|F1F2|。此为课本上的标准定义,不再详述。
2.第二定义
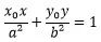
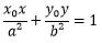
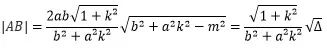
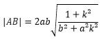
平面内到定点F(±c,0)的距离和到定直线l:x=±a²/c的距离之比为常数e=c/a(0 对第二定义给出证明: 以右焦点和右准线为例: 上述定义即可作为判定定理也可作为性质定理。 1.椭圆标准方程 不再详述。 2.椭圆参数方程 其中θ为参数,θ的几何意义如下图: 以椭圆长轴和短轴为直径分别做圆,针对椭圆上任一点M,分别向大圆与小圆做垂线,垂足分别为A,B,则ABO三点共线,∠AOx即为参数θ。 1.椭圆切线定理 椭圆的任意一条切线与切点处的两条焦半径所成的角相等。 如图,F1、F2为椭圆两焦点,AB为椭圆切线,P为切点,则∠APF1=∠BPF2。PT为P点法线,则PT为焦点三角形PF1F2的一条角平分线。 证明从略,该性质在高考中应用较少,但其揭示了椭圆的一条光学性质,该性质在高中数学课本上也有提及,即从椭圆的一个焦点发出的光线,经椭圆反射后,在另一个焦点汇聚 2.椭圆切线方程 过椭圆上一点P(x0,y0)的切线方程为: 以下用求导方法给出证明: 上述证明过程用到了隐函数求导,高中范围不涉及该知识点,有兴趣的同学可以尝试用二次函数判别式推导。 3.椭圆切点弦方程 过椭圆外一点,做椭圆的两条切线,切点为A,B,则过A,B的切点弦方程为: 过椭圆中心的弦被称为椭圆的直径。长轴是椭圆最长的直径,短轴为椭圆最短的直径。 1.椭圆直径性质 椭圆上的点与椭圆直径两端点连线的斜率(如果存在的话)之积是定值,定值为e²-1。 特别的:椭圆上任意点到长轴(或短轴)两端点连线斜率之积是定值e²-1。 2.椭圆直径长 椭圆直径长公式为: 其中k为直径所在直线斜率。该公式请同学们自行推导。 特别的:当k=0时,上式结果为2a,即为长轴;当k趋于无穷大时,上式结果为2b,即为短轴。 1.焦半径长 焦半径长:|PF1|=a+ex |PF2|=a-ex(F1,F2分别为左右焦点) 通过准线定义证明,过程略。 2.焦半径性质 以焦半径为直径的圆与以长轴为直径的圆内切。 证:设以PF1为直径的圆的圆心为O1,则圆O1半径为r1=(a+ex)/2, 以长轴为直径的圆的圆心为坐标原点O,圆O半径为r=a, 两圆心距离|OO1|=(a-ex)/2=r-r1, 故以PF1为直径的圆与以长轴为直径的圆内切。 同理可证,PF2同样成立。 3.焦点弦长公式 焦点弦长公式为: 其中k为焦点弦所在直线斜率。该公式请同学们自行推导。 特别的:当k=0时,上式结果为2a,即为长轴;当k趋于无穷大时,上式结果即为通径长:2b^2/a 4.焦点三角形 焦点三角形面积公式: 证明从略。 1.判别式 直线方程y=kx+m与椭圆方程联立后的,关于x的二次方程的判别式: 2.一般弦长公式 椭圆一般弦长公式: 上述公式推导过程从略,显然,当m=0时,公式退化为直径公式,m=±kc,即直线过焦点时,公式退化为焦点弦公式。 文|高见远,转载请注明出处。椭圆方程
切线
直径
焦半径
其他
版权声明:我们致力于保护作者版权,注重分享,被刊用文章【椭圆第三定义证明(代数思维系列)】因无法核实真实出处,未能及时与作者取得联系,或有版权异议的,请联系管理员,我们会立即处理! 部分文章是来自自研大数据AI进行生成,内容摘自(百度百科,百度知道,头条百科,中国民法典,刑法,牛津词典,新华词典,汉语词典,国家院校,科普平台)等数据,内容仅供学习参考,不准确地方联系删除处理!;
工作时间:8:00-18:00
客服电话
电子邮件
beimuxi@protonmail.com
扫码二维码
获取最新动态
