圆是一个很简单很对称的图形,它是平面中到圆心的距离为定值的所有点组成的图形。椭圆是对圆定义的一个扩展,它是平面中到两个点的距离之和为定值的所有点组成的图形,这两个点被称为焦点、两个点之间的距离称为焦距。当两个焦点重合时,椭圆也就变成了圆。
假设有一条绳子,它的两个端点是固定的,绳子长度超过两个固定点的距离,拿一枝笔将绳子拉直,用这支笔绕一周画出来的图形轨迹就是椭圆,两个固定端点就是椭圆的焦点。
椭圆是一个平面图形,对于平面图形我们通常会想办法建立坐标系来进行表示。椭圆定义中没有指定两个焦点的位置和方向,因此椭圆的大小、位置和方向都是可以变化的。由于椭圆是一个对称的图形,同时满足轴对称和中心对称,因此,为了简单起见,通常选取原点作为椭圆的对称中心,两个坐标轴作为椭圆的对称轴,那么此时椭圆焦点应该是坐标轴上两个对称的点。
给定以上条件之后,椭圆方程的求解就不难了。下面我会给出焦点在x轴上的椭圆方程的推导。
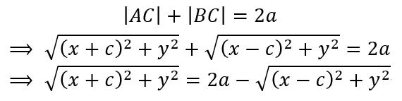
以x轴上两点A(-c, 0)、B(c, 0)作为焦点,求到两个焦点的距离为2a的椭圆方程。
假设椭圆上任意一点的坐标为C(x, y), 那么
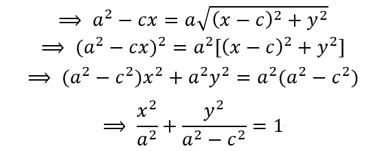
两边平方并化简
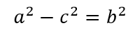
根据椭圆的定义,a>c,那么
那么可假设
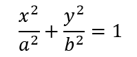
此时椭圆方程可化简为
这就是焦点在x轴对称点上的椭圆标准方程。
本文由小朱与数学原创,欢迎关注,带你一起长知识!
版权声明:我们致力于保护作者版权,注重分享,被刊用文章【椭圆第三定义证明(椭圆的定义及其方程推导)】因无法核实真实出处,未能及时与作者取得联系,或有版权异议的,请联系管理员,我们会立即处理! 部分文章是来自自研大数据AI进行生成,内容摘自(百度百科,百度知道,头条百科,中国民法典,刑法,牛津词典,新华词典,汉语词典,国家院校,科普平台)等数据,内容仅供学习参考,不准确地方联系删除处理!;
工作时间:8:00-18:00
客服电话
电子邮件
beimuxi@protonmail.com
扫码二维码
获取最新动态
