
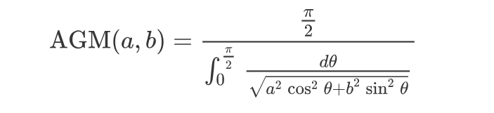
然后,高斯发现了如下定理

这个表达式看起来还挺“美”的,如何证明呢?只是计算平均,最后的表达式中竟然会出现π,三角函数,还有积分,高斯为什么会想到这些看起来毫无关联的东西呢???
先回答第一个问题。
定理的证明
(这部分比较专业,有点复杂,不想了解证明细节的话可以跳过直接看第三部分,小编对这个证明的一些思考。)
我们知道,一旦正数a和b确定,则AGM(a,b)也就确定了。AGM(a,b)其实就是关于a和b的一个二元函数。显然,这个二元函数具有以下性质:
(0).非负性:AGM(a,b)>0
(1).对称性:AGM(a,b)=AGM(b,a)
(2).单调性:若a1≥a2>0,则AGM(a1,b)≥AGM(a2,b)
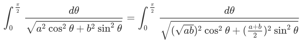
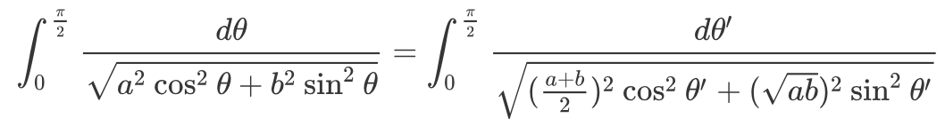
(3).不变性:AGM(a,b)=AGM(√ab,(a+b)/2)
(4).齐次性:对任意正数k,都有AGM(ka,kb)=k*AGM(a,b)
(5).其他性质(小编暂时没想出来)
非负性和对称性显然,单调性也不用说,最为关键的是不变性。这是AGM(a,b)的核心性质。想一想,为什么AGM(a,b)=AGM(√ab,(a+b)/2)?
很简单,因为以a,b为计算起点,第一步计算以后就得到√ab和(a+b)/2,然后是第二步,第三步,最后收敛到的AGM(a,b)既是a和b的算术-几何平均,当然也是每一步得到的an和bn的算术-几何平均。
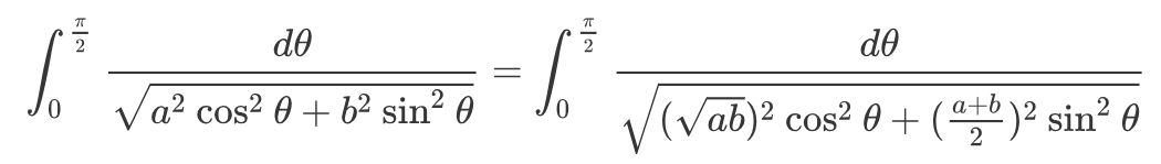
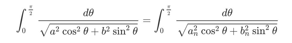
现在回过头来看AGM(a,b)的表达式。如果我们能够证明,

那么由数学归纳法,对任意n都有

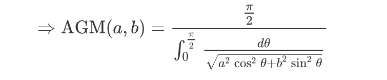
则令n趋于无穷,有an和bn趋于AGM(a,b),从而


现在问题就清晰了,只要证明

即可!
维基百科上面给了一个极其“简单”的证明:
对

只需作变量代换

则

得证!
。。。
。。。
还是别管这个证明方法,脚踏实地,一步步来吧。
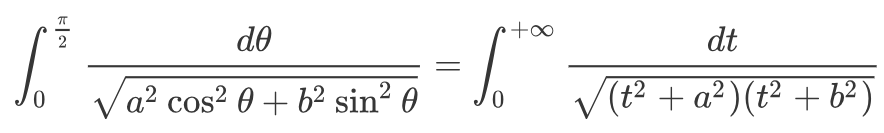
碰到积不出来的三角函数的积分,一般思路是变量代换,将三角函数去掉,变成关于新变量的一些有理或无理函数的积分,比如常见的万能代换。有时候这个过程会也反过来。
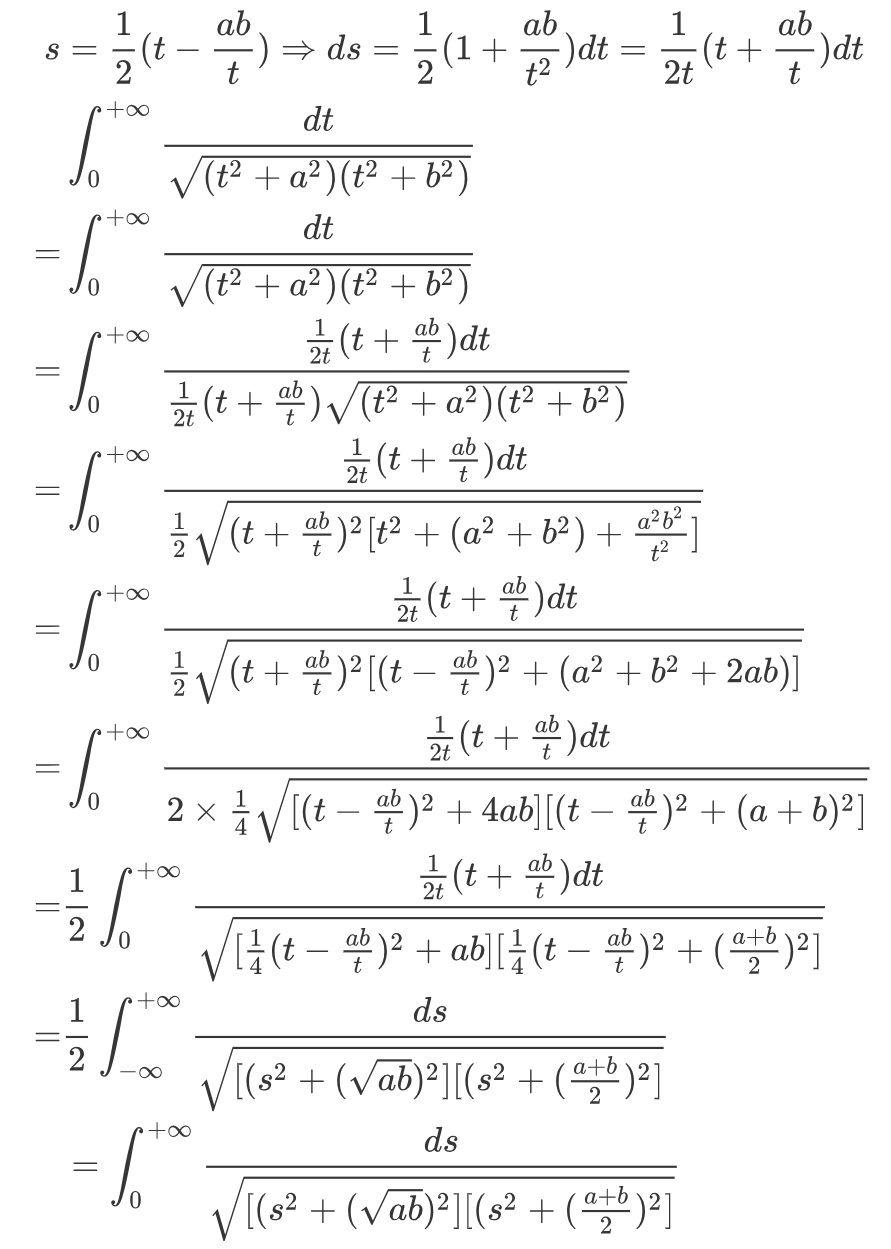
第一步,作变量代换t=b tanθ,则

看起来更工整了,而且惊喜的是,a和b的对称性非常明显!之前的表达式中,a和b前面的系数一个是正弦,一个是余弦,看起来不那么对称。而新的表达式中,a和b的地位完全等同,完美地符合了“对称性”的要求。这就是在暗示我们,方向没错,这个代换有前途,可以继续。
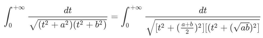
于是问题就变成了证明

将左边右边展开,通过“两面夹”和试凑法,多次尝试,最后可发现:
作变量代换

证明完毕。
虽然过程稍显复杂,但其实并没有什么技术上的难度。说到底,这只是证明,而不是求解。
事实上,证明还可以更简单。由齐次性可知AGM(a,b)=a*AGM(1,b/a)。所以我们只需要研究1和其他数的算术几何平均,那么就知道任意两个数的算术几何平均了。。也就是,证明AGM(1,k)=AGM(√k,(1+k)/2)即可。
本来是求包含两个变量的函数,现在只包含一个变量,大大大大减小了难度。
这样又该如何证明呢?这个小问题留给你们了!
思考
第二个问题,我想除了高斯,谁也不知道。毕竟斯人已逝,而且高斯常说,“当一幢建筑物完成时,应该把脚手架拆除干净”。有数学家形容高斯“就像一只狐狸,用尾巴扫砂子来掩盖自己的足迹”。谁也不知道这个天才的思维轨迹。
小编不自量力,在此稍作揣摩,见笑大方了。
第一,看本质。高斯会分析这个算术-几何平均AGM(a,b)应该具有哪些性质。就是上面的几点,对称性,非负性,不变性,齐次性等等。当然,以高斯的眼光,肯定还能看到其他我没想到的性质。
第二,找规律。高斯当然会计算一些数的算术-几何平均。由齐次性,他只需要计算1和其他数的算术几何平均,比如说,
AGM(1,2)=1.4567910310469068692...
AGM(1,3)=1.8636167832448965424...
AGM(1,4)=2.2430285802876025701...
...
似乎没什么规律。杂乱无章,但“没有规律”也是一种规律,杂乱无章的数字,不由地让人想到,这是不是某个数的平方根,立方根?这个很容易检验。然后发现都不是。那会不会是超越数?最常见的超越数是π和e,那么结果会不是和这两个数有关?
第三,看前人。我想,高斯可能受到欧拉的启发。
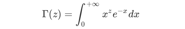
1728年,数学爱好者哥德巴赫希望把阶乘推广到任意实数上,比如说,我们知道3!=1×2×3=6,5!=1×2×3×4×5=120,哥德巴赫想,1.4!=?π!=?这个数学爱好者对此一筹莫展,于是写信请教欧拉。欧拉经过研究,于1729年完美地解决了这个问题,他通过积分定义了一个新函数:

一举将阶乘函数推广到可以计算任意复数z的阶乘。这就是著名的伽马函数。
极其巧合的是,当时欧拉也是22岁。

欧拉
(备注:后来,出于某种考量,人们把被积函数中的x^z改成x^(z-1),成为现在经典的伽马函数。文章这里写的是欧拉一开始的形式)
所以高斯也会尝试,用积分来定义这个他找不到初等形式的AGM(a,b)。
这样,高斯可能拿e试了试,发现不行,然后再试试会不会跟π有关。想到π,也就想到了三角函数。再联系函数所具有的性质,经过直觉和试探,最后高斯终于发现了AGM(a,b)的表达式。