2016年4月8日在英国上映了一部名叫《知无涯者》的电影。电影讲述了印度数学家斯里尼瓦瑟·拉马努金(1887.12.22~1920.4.26),
短暂而传奇的一生。拉马努金出生贫寒,没有受过专门的数学训练,但天资聪颖,完全靠自学。直到1913年,得到英国数学家哈代的赏识,他的数学才华大放异彩。但他不同于传统意义上数学家,他的成果往往是凭直觉得到,只有结论,而没有证明。他短暂的一生发现了3900条数学公式和命题,许多结果完全是新颖的、原始的和非传统的,但被后续证明他的结论都是正确的。
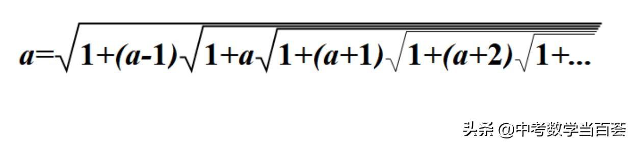
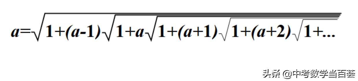
本文要介绍的这个恒等式,就是拉马努金流传最广的成果之一。先看这个恒等式的一边:
我相信大多数人能按照这个式子的规律接着写下去,但会发现这是无穷尽的,并且很好奇这个式子的结果到底是多少?
拉马努金说,这个式子的结果等于3。
他对形如上式的无穷二次根式,进行深入研究得到这个结果,并且将此发表在《印度数学会刊》上征集证明,数月内无人能应。
下面我们以今天中学生的认知来看其中的数学逻辑:
3=√9。。。。。一层根号
=√1+8
=√1+2x4
=√1+2√16。。。。二层根号
=√1+2√1+15
=√1+2√1+3x5
=√1+2√1+3√25。。三层根号
=√1+2√1+3√1+24
=√1+2√1+3√1+4x6
=√1+2√1+3√1+4√36。四层根号
。。。。。。
由此不难发现:将3拆分后,含n层根号时,3=
√1+2√1+。。。n√(n+2)²
。。。n层根号
验证一下,n=10时(由外向内数,含10层根号),壮观景象:
第10层根号里的数:
12²=144;
第9层根号里的数:
11²=121;
第8层根号里的数:
10²=100;
。。。
第3层根号里的数:
5²=25;
第2层根号里的数:
4²=144;
第1层根号里的数:
3²=9;
√9=3
理所当然是个恒等式。
问题来了,正整数3可以象这样用二次根式进行无穷拆分,那么其他正整数呢?他是怎么想到了呢?
平方差公式是初中代数中的最基本的公式之一:
a²-1=(a-1)(a+1);
变形得
a²=1+(a-1)(a+1);
即
a=√1+(a-1)(a+1)。
建立一个关于a的函数:
F(a)=a=√1+(a-1)(a+1),则
F(a+1)=a+1
=√1+(a+1-1)(a+1+1)
=√1+a(a+2)
=√1+aF(a+2),
F(a+2)=a+2
=√1+(a+2-1)(a+2+1)
=√1+(a+1)(a+3)
=√1+(a+1)F(a+3),
F(a+3)=a+3
=√1+(a+3-1)(a+3+1)
=√1+(a+2)(a+4)
=√1+(a+2)F(a+4),
...
F(a+n)=a+n
=√1+(a+n-1)(a+n+1)
=√1+(a+n-1)F(a+n+1),
...
通过层层嵌套,得到
F(a)=√1+(a-1)F(a+1)
=√1+(a-1)√1+aF(a+2)
=√1+(a-1)√1+a√1+(a+1)F(a+3)
...
=√1+(a-1)√1+a√1+(a+1)√1+(a+2)√1+。。。
即
其中,a为正整数。
当a=2时,得到
当a=3时,得到
当a=4时,得到
由此,可以把任意一个正整数,用二次根式有规律地无穷展开。
所以拉马努金恒等式,更一般的形式是:
利用平方差公式和函数嵌套(复合函数)的思想,可以来说明他的正确性。虽然初中不提函数嵌套(复合函数)这种说法,但“整体思想”已经具备其雏形,所以上述证明过程,数学程度稍好的同学也可以看懂。
拉马努金没有受过正规的高等数学教育,但他靠自学沉湎于数论,尤其钟爱涉及π、质数等数学常数的求和公式和整数分拆。特别是他对数的直觉(数感)常常令人称奇,以至于亦师亦友的哈代感叹说:“我们学习数学,拉马努金则发现并创造了数学。”
版权声明:我们致力于保护作者版权,注重分享,被刊用文章【组合恒等式证明(拉马努金恒等式)】因无法核实真实出处,未能及时与作者取得联系,或有版权异议的,请联系管理员,我们会立即处理! 部分文章是来自自研大数据AI进行生成,内容摘自(百度百科,百度知道,头条百科,中国民法典,刑法,牛津词典,新华词典,汉语词典,国家院校,科普平台)等数据,内容仅供学习参考,不准确地方联系删除处理!;
工作时间:8:00-18:00
客服电话
电子邮件
beimuxi@protonmail.com
扫码二维码
获取最新动态
