迈克尔逊-莫雷实验解决了绝对非运动和光速恒定这两个问题。为狭义相对论的诞生做足了准备,迈克尔逊-莫雷实验(1887年)是一个残酷的实验。所谓残酷的实验,意思是说,这个实验决定了一个科学理论的生死。当时,这个实验验证的是以太理论。不过同样重要的是,他们的实验导出了爱因斯坦革命性新理论的数学基础。
迈克尔逊-莫雷实验的想法在于断定地球通过以太海的运动情形。不过问题在于怎么做?如果是两艘船在海上航行,两者都可以断定彼此的相对运动。可是,如果只是一艘船在平静的海上航行,那么这艘船就没有参考点来测定自己前进的状态。若是以前,水手会从船边放一个测速仪在海面上,然后再测船相对于测速仪的运动。迈克尔逊和莫雷的方法一样,只是他们丢在船边的不是测速仪,而是一束光线罢了。
如果是地球动而以太海静止,那么地球在以太海中的运动必然会造成以太风(etherbreeze)。这样的话,如果有一束光在以太风中逆向前进,那么这束光的速度必然比横向穿越以太海的光束慢。迈克尔逊一莫雷实验的核心要旨就在这里。
每一个飞行员都知道,如果来回飞行的行程里面有一趟逆风,那么(即使另一趟是顺风)如果要飞行一样远的距离,这趟飞行耗费的时间会比横越同样的风要久。同理,如果以太海理论正确,那么一束光先是在以太风中逆流而上,然后再折回顺流而下,回到起点,所耗费的时间必然比横向来回穿越以太风的光束长。
实验过程迈克尔逊和莫雷制造了一部干涉仪来检测这种速度的差异。这种干涉仪工作的原理是,一个光源对着一面半反射镜(和从外面看像镜子,从里面看是透明的太阳眼镜很像)射出一束光。半反射镜把这一束光分为透射光与反射光,两者互成正角行进一段相同的距离然后折回。折回之后,经由同一面半反射镜再恢复为原来的光,然后射进干涉仪里面。我们只要观察这两股光聚合之后在干涉仪里面产生的干涉形态,就可以断定两者速度的差值。
但是,在做完这个实验之后,我们却测不到两者的速度有何不同。将干涉仪方位调整九十度,使原来逆以太风的光变为横越以太风,原来横越以太风的光转为逆以太风,然后再测量两者的速度,结果发现两者速度依然一样。换句话说,迈克尔逊一莫雷实验没有办法证明以太的存在。这样,物理学家若无法找到合理的解释,便不得不面对两种令人不安的选择,一个是,地球不动(而哥白尼错误),再一个是,以太不存在。但是两者都令人难以接受。
这种无解一直要到1892年,一个爱尔兰人名唤菲茨杰拉德( Georg Francis Fitz Gerald)提出一个惊人的解释之后,才算有了一个比较好的假说。
菲茨杰拉德说,也许以太风的压力会压缩物质,好比有弹性的物体在水中前进会在前进的方向上变短一样。果真如此的话,那么干涉仪上正对以太风的指针,必然比不正对的指针短了一些。所以光在以太风中进行而后再折回如果速度减慢,干涉仪也就测不出来,因为这个时候光行走的距离也缩短了。事实上,干涉仪上面指向以太风的指针变短的量,如果与光速减慢以后通过这支指针的量相当,那么实验中的两束光将同时回到千涉仪。因为,速度快的光束走了比较长的距离,速度慢的光束走了比较短的距离。
菲茨杰拉德
菲茨杰拉德的假说比起其他假说有一个很有利的地方,那就是,他的假说不可能反证(亦即证明为假)。他只说到运动方向上一种单维度的收缩,这种收缩随速度的增加而增加。不过要点在于所有的东西都会收缩。我们并不能观察检测到,这可以说是最开始的尺缩效应。
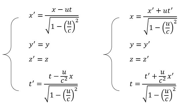
菲茨杰拉德提出这个假说之后,时隔一年荷兰物理学家洛伦兹(HendrikAntoon Lorentz)证明了菲茨杰拉德的假说。不过,洛伦兹是用严格的数学语言来表达他的发现的,这个假说于是开始为人接受。我们现在想想这个都假说充满了幻想气质。关于菲茨杰拉德-洛伦兹收缩,洛伦兹定出来的公式后来就叫作洛伦兹变换。讲到这里,舞台已经布置好了,布景全部就绪。检测以太失败,迈克尔逊-莫雷实验,光速恒定,菲茨杰拉德-洛伦兹收缩,洛伦兹变换。怎么办?
凡此一切事实,20世纪初一直困扰着物理学家,这个时候就需要一位跨时代的物理学家站出来打破人们固有的常识,洛伦兹可以说离狭义相对论就差一步,就是大胆的摒弃绝对时空观,很显然他并没有做到。所以爱因斯坦的时代就此开始了。
接下来的事,就交给他吧
版权声明:我们致力于保护作者版权,注重分享,被刊用文章【光速恒定证明(光速恒定是怎样测量的)】因无法核实真实出处,未能及时与作者取得联系,或有版权异议的,请联系管理员,我们会立即处理! 部分文章是来自自研大数据AI进行生成,内容摘自(百度百科,百度知道,头条百科,中国民法典,刑法,牛津词典,新华词典,汉语词典,国家院校,科普平台)等数据,内容仅供学习参考,不准确地方联系删除处理!;
工作时间:8:00-18:00
客服电话
电子邮件
beimuxi@protonmail.com
扫码二维码
获取最新动态
